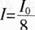
一束光强为,I0的自然光,相继通过三个偏振片P1、P2、P3后,P1和P3偏振化方向相互垂直。出射光的光强为
若以入射光线为轴,旋转P2,要使出射光的光强为零,P2要转过的角度是( )。
- A.300
- B.450
- C.600
- D.900
正确答案及解析
正确答案
B
解析
自然光相继通过三个偏振片
故本题选B。
你可能感兴趣的试题
《义务教育数学课程标准(2011年版)》强调,课程内容要反映社会的需要、数学的特点,要符合学生的认知规律。课程内容的组织要重视过程,处理好()的关系。
-
- A.预设与生成
- B.抽象与具体
- C.数学与实际生活
- D.过程与结果
- 查看答案
设α是某一方程组的解向量,k为某一常数,则kα也为该方程组的解向量。( )
- 查看答案

-
- A.0
- B.1
- C.2
- D.3
- 查看答案
案例:
在有理数运算的课堂教学片段中,某学生的板演如下:

针对该学生的解答,教师进行了如下教学:
师:请仔细检查你的演算过程,看是否正确无误?
生:好像正确吧。

请分析例题1、例题2中每一步运算的依据。(10分)
- 查看答案
初中数学课程是一门国家课程,其主要内容包括课程目标、教学内容、教学过程和( )等
-
- A.评价手段
- B.教学方法
- C.教学手段
- D.教学实践
- 查看答案