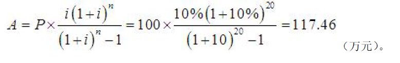
张某用1000 万元购买了一间商铺用于出租经营,其要求的投资收益率为10%,经营期为20 年,如果每年经营净收益相等,则该投资者的年投资回报为( )万元。
- A.17.46
- B.100.00
- C.117.46
- D.672.75
正确答案及解析
正确答案
C
解析
由题意可知,本题是关于等额序列支付的年值和资金回收系数的计算。根据计算得:

包含此试题的试卷
你可能感兴趣的试题
房地产投资的形式,通常可分为直接投资和间接投资两类,其中间接投资的形式主要有( )。
-
- A.购买物业用于出租经营
- B.购买住房抵押支持证券
- C.购买房地产企业债券
- D.投资房地产企业股票
- 查看答案
相对于房地产开发投资,关于房地产置业投资的说法,正确的有( )。
-
- A.置业投资是面向已具备了使用条件或正在使用中的房地产
- B.置业投资包括进行场地平整及道路等基础设施建设的投资
- C.置业投资对象可以是市场上存量房地产
- D.置业投资可以是将购入的房地产用于自身居住或生产经营
- 查看答案
按照物业用途类型划分,房地产投资分为( )。
-
- A.酒店与休闲娱乐设施投资
- B.房地产开发投资
- C.政府投资
- D.商用物业投资
- 查看答案
按资产投资的类型划分,REITs的形式不包括( )。
-
- A.抵押型
- B.权益型
- C.盈利型
- D.混合型
- 查看答案
( )等级的绿色建筑均应进行全装修。
-
- A.一星级
- B.二星级
- C.三星级
- D.基本级
- 查看答案