某投资者将其商铺出租经营,租期20 年,预计第一年的净租金收入为8 万元,且每年递增6%,年租金均发生在年末。若折现率为6%,该商铺净租金收入的现值为( )万元。
- A.91.76
- B.142.40
- C.150.94
- D.160.00
正确答案及解析
正确答案
C
解析
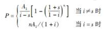
等比序列是一种等比例增加或减少的现金流量序列,即这种现金流量序列的收入或支出每年以一个固定的比例发生变化。计算等比序列现值系数的公式为:

式中,P 表示现值;A 表示连续出现在各计息周期末的等额支付金额,简称年值;i 表示折现率为;s 表示每一时间间隔收入等比变化值;n 表示计息周期数。本题中,i=s,则该商铺净租金收入的现值为:P=20 错误8/(1+6%)=150.94(万元)。
包含此试题的试卷
你可能感兴趣的试题
房地产投资的形式,通常可分为直接投资和间接投资两类,其中间接投资的形式主要有( )。
-
- A.购买物业用于出租经营
- B.购买住房抵押支持证券
- C.购买房地产企业债券
- D.投资房地产企业股票
- 查看答案
相对于房地产开发投资,关于房地产置业投资的说法,正确的有( )。
-
- A.置业投资是面向已具备了使用条件或正在使用中的房地产
- B.置业投资包括进行场地平整及道路等基础设施建设的投资
- C.置业投资对象可以是市场上存量房地产
- D.置业投资可以是将购入的房地产用于自身居住或生产经营
- 查看答案
按照物业用途类型划分,房地产投资分为( )。
-
- A.酒店与休闲娱乐设施投资
- B.房地产开发投资
- C.政府投资
- D.商用物业投资
- 查看答案
按资产投资的类型划分,REITs的形式不包括( )。
-
- A.抵押型
- B.权益型
- C.盈利型
- D.混合型
- 查看答案
( )等级的绿色建筑均应进行全装修。
-
- A.一星级
- B.二星级
- C.三星级
- D.基本级
- 查看答案