非甜玉米对甜玉米为显性,受常染色体上一对基因控制。现选择亲本为非甜玉米的个体自由交配,所得子一代中非甜:甜=48:1,则亲本纯合子比例为( )。
- A.2/7
- B.3/7
- C.4/7
- D.5/7
正确答案及解析
正确答案
D
解析
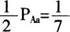
设甜玉米的基因为a,非甜玉米的基因为A。亲本为非甜玉米的个体自由交配,所得子一代中非甜:甜=48:1,即甜玉米的基因型频率为1/49,则a的频率为1/7,A的频率为6/7。因为亲本中只有非甜玉米,则亲本的基因型为AA和Aa两种,由于a的频率争等于Aa的频率的1/2,即

并且A的频率等于AA的频率与1/2Aa的频率的和,即

所以亲本纯合子AA的频率为5/7。
包含此试题的试卷
你可能感兴趣的试题
“有为才有位,有位更有为”,这一看法给我们的启示是( )
-
- A.实践决定认识,认识对发展具有推动作用
- B.实现人生价值必须先要实现人的自我价值
- C.人生真正价值在于社会价值与自我价值的统一
- D.要发挥主观能动性,要不断积累自我价值
- 查看答案
历史唯物主义认为人的价值在于( )
-
- A.个人的自我创造和自我实现
- B.个人的自我选择和自由发展
- C.个人主体性的增强和摆脱社会的制约
- D.个人对社会的贡献和社会对个人的尊重
- 查看答案
对立统一规律揭示了事物发展的( )。
-
- A.辩证形式
- B.趋势和道路
- C.不同状态
- D.源泉和动力
- 查看答案
矛盾的普遍性与特殊性的关系是( )
-
- A.一般与个别的关系
- B.整体与局部的关系
- C.绝对与相对的关系
- D.可以相互转化的关系
- 查看答案
在认识过程中具有更为重要意义的飞跃是指()
-
- A.从外在形象到内在本质的飞跃
- B.从个性认识到共性认识的飞跃
- C.从肯定阶段到否定阶段的飞跃
- D.从理性认识到实践的飞跃
- 查看答案