2021年1—4月份,全国商品房销售面积50305万平方米,同比增长48.1%,比2019年1—4月份增长19.5%。其中,住宅销售面积增长51.1%,办公楼销售面积增长20.0%,商业营业用房销售面积增长16.3%。全国商品房销售额53609亿元,增长68.2%,比2019年1—4月份增长37.0%。其中,住宅销售额增长73.2%,办公楼销售额增长31.9%,商业营业用房销售额增长20.3%。
2021年1—4月份,东部地区商品房销售面积21524万平方米,同比增长56.4%;销售额31741亿元,增长80.1%。中部地区商品房销售面积13691万平方米,增长52.4%;销售额10468亿元,增长71.2%。西部地区商品房销售面积13582万平方米,增长34.7%;销售额10133亿元,增长41.6%。东北地区商品房销售面积1508万平方米,增长31.8%;销售额1267亿元,增长31.3%。
2021年4月末,商品房待售面积51436万平方米,比3月末减少422万平方米。其中,住宅待售面积减少423万平方米,办公楼待售面积减少15万平方米,商业营业用房待售面积增加60万平方米。
2021年1—4月份,东部地区商品房销售额约比西部地区多多少倍?
- A.2.1
- B.2.4
- C.3.1
- D.3.4
正确答案及解析
正确答案
解析
第一步,本题考查增长率计算。
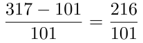
第二步,定位第二段文字材料“2021年1—4月份,东部地区商品房销售额31741亿元,增长80.1%。西部地区商品房销销售额10133亿元,增长41.6%”。
第三步,根据增长率=(现期量-基期量)÷基期量,分子减法计算考虑截位舍相同,选项首位相同但第二位不同,分母从左向右截取前三位,得
,直除首两位商21。
因此,选择A选项。
包含此试题的试卷
你可能感兴趣的试题
《三国演义》开篇称:“天下大势,分久必合,合久必分。”但是这句话未必准确,因为( )。
-
- A.事物的发展需以条件为前提
- B.事物的本质不以时间为转移
- C.事物的质变是从量变开始的
- D.矛盾双方是可以相互转化的
- 查看答案
从所给的四个选项中,选择最合适的一个填入问号处,使之呈现一定的规律性:

-
- A.如上图所示
- B.如上图所示
- C.如上图所示
- D.如上图所示
- 查看答案
下列哪一项不属于《宪法》规定的公民的基本权利?( )
-
- A.环境权
- B.平等权
- C.出版自由
- D.受教育权
- 查看答案
体验营销是指企业采用让目标顾客观摩、聆听、尝试、试用等方式,使其亲身体验企业提供的产品或服务,让顾客实际感知产品或服务的品质或性能,从而促使顾客认知、喜好并购买的一种营销方式。
根据上述定义,下列采用了体验营销方式的是( )。
-
- A.某美容公司举办了一场以“亲子教育”为主题的消费者联谊会,把“为消费者着想”的经营理念传递给潜在的客户
- B.某服装公司邀请批发商参加其产品推广介绍会,在会上安排了表演、小竞赛、新产品试用等活动
- C.某公司为维护行业领军地位,多次举办全国性的行业讨论会,邀请其部分消费者参与研讨
- D.某化妆品公司先打开国外市场,树立国际品牌形象,然后在国内以电视购物的方式传播销售,逐步占领国内市场
- 查看答案
对县级以上各级人民代表大会代表批准或者决定逮捕必须经过( )。
-
- A.上级检察院批准
- B.上级人民代表大会同意
- C.本级人代会主席团或者人民代表大会常务委员会许可
- D.本级人民政府同意
- 查看答案