题目详情

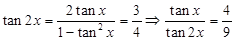
已知中学数学学科知识与教学能力,专项训练,数学学科知识,则中学数学学科知识与教学能力,专项训练,数学学科知识的值为_____。

正确答案及解析

正确答案
解析

中学数学学科知识与教学能力,专项训练,中学数学学科知识与教学能力中学数学学科知识与教学能力,专项训练,中学数学学科知识与教学能力

你可能感兴趣的试题

单选题

有“泥土诗人”之称的诗人是()。

  • A.臧克家
  • B.田间
  • C.艾青
  • D.许地山
查看答案
单选题

将下列各项按所表示年龄大小顺序排列,正确的顺序应是( )。

①不惑②垂髫③花甲④加冠⑤而立⑥古稀⑦半百

  • A.②④①⑦⑤③⑥
  • B.④②③⑥①⑦⑤
  • C.⑥⑤③②④⑦①
  • D.②④⑤①⑦③⑥
查看答案
单选题

1931年,一位给人们带来光明的科学家重病的消息牵动着世界人民的心,几十名记者为他守夜。每隔一个小时就对外发布一次消息:“灯”还亮着。这位科学家是( )。

  • A.瓦特
  • B.法拉第
  • C.爱迪生
  • D.爱因斯坦
查看答案
单选题

钱穆在评论中国古代某制度时说,它“可以培植全国人民对政治之兴味……可以团结全国各地域于一个中央之统治”,这一制度是()。

  • A.郡县制
  • B.察举制
  • C.科举制
  • D.行省制
查看答案
单选题

明朝初年强化君主专制的措施是()。

  • A.增设军机处
  • B.采用三省六部制
  • C.废除丞相.权分六部
  • D.设中书省为全国最高行政机构
查看答案

相关题库更多 +