设随机变量X,Y相互独立,且X~N(μ,σ2),Y在[a,b]区间上服从均匀分布,则D(X-2Y)=( )

- A.见图A
- B.见图B
- C.见图C
- D.见图D
正确答案及解析
正确答案
A
解析
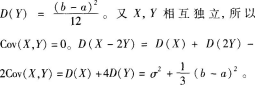
y在[a,b]区间上服从均匀分布,所以

你可能感兴趣的试题
有“泥土诗人”之称的诗人是()。
-
- A.臧克家
- B.田间
- C.艾青
- D.许地山
- 查看答案
《义务教育数学课程标准(2011年版)》强调,课程内容要反映社会的需要、数学的特点,要符合学生的认知规律。课程内容的组织要重视过程,处理好()的关系。
-
- A.预设与生成
- B.抽象与具体
- C.数学与实际生活
- D.过程与结果
- 查看答案
明朝初年强化君主专制的措施是()。
-
- A.增设军机处
- B.采用三省六部制
- C.废除丞相.权分六部
- D.设中书省为全国最高行政机构
- 查看答案
设α是某一方程组的解向量,k为某一常数,则kα也为该方程组的解向量。( )
- 查看答案
钱穆在评论中国古代某制度时说,它“可以培植全国人民对政治之兴味……可以团结全国各地域于一个中央之统治”,这一制度是()。
-
- A.郡县制
- B.察举制
- C.科举制
- D.行省制
- 查看答案