下面是一次考试中小明同学所做的一道题的解析过程,请据此回答问题。

问题:
(1)判断小明的答案是否正确,为什么?
(2)试分析小明为什么会出现这样的错误;
(3)教师应该如何讲解来避免这样的错误。
正确答案及解析
正确答案
解析
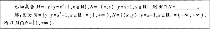
(1)小明的答案是错误的。因为集合N是一个点集,不是数集,即集合Ⅳ表示直线y=x+1上所有的点,而不是(-∞,+∞)。所以集合M∩N=空集。(2)出现错误的原因是小明没有注意到构成两个集合的元素是不同的,即集合M是数集,而集合N是点集,两个集合是性质完全不同的集合,不能做运算。(3)集合的概念是高中数学最基础的概念,集合知识是为后续学习做准备的基础知识,因此这部分知识放在高中数学课程的最开始学习。教师在讲解集合知识的时候,着重讲解集合的性质,即确定性、互异性和唯一性,讲解集合间的运算,即集合的交、并、补运算。特别需要教师强调的是构成集合元素的特征。用描述法表示集合时,集合的代表元需要特别注意,不同的代表元可能表示不同的集合。例如,集合M={x|y=f(x)},N={y|y=f(x)},P={(x,y)|y=f(x)},集合M和集合N都是数集,其中集合M表示函数f(x)的定义域,集合N表示函数f(x)的值域,而集合P是点集,表示函数f(x)的图像上的所有点。教师在讲课时要讲清楚这些内容。
你可能感兴趣的试题
有“泥土诗人”之称的诗人是()。
-
- A.臧克家
- B.田间
- C.艾青
- D.许地山
- 查看答案
明朝初年强化君主专制的措施是()。
-
- A.增设军机处
- B.采用三省六部制
- C.废除丞相.权分六部
- D.设中书省为全国最高行政机构
- 查看答案
钱穆在评论中国古代某制度时说,它“可以培植全国人民对政治之兴味……可以团结全国各地域于一个中央之统治”,这一制度是()。
-
- A.郡县制
- B.察举制
- C.科举制
- D.行省制
- 查看答案
将下列各项按所表示年龄大小顺序排列,正确的顺序应是( )。
①不惑②垂髫③花甲④加冠⑤而立⑥古稀⑦半百
-
- A.②④①⑦⑤③⑥
- B.④②③⑥①⑦⑤
- C.⑥⑤③②④⑦①
- D.②④⑤①⑦③⑥
- 查看答案
1931年,一位给人们带来光明的科学家重病的消息牵动着世界人民的心,几十名记者为他守夜。每隔一个小时就对外发布一次消息:“灯”还亮着。这位科学家是( )。
-
- A.瓦特
- B.法拉第
- C.爱迪生
- D.爱因斯坦
- 查看答案