阅读下面有关“△ABC的三个顶点的坐标分别是A(5,1),B(7,-3),C(2,-8),求它的外接圆的方程”的三种解法,并回答问题。
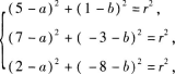
解法一:设所求外接圆的方程是(x-a)2+(y-b)2=r2,A,B,C三点坐标均满足圆的方程,于是建立三元二次方程组,即

通过解方程,求出外接圆方程。
解法二:利用圆心到三个顶点的距离相等的几何性质,列出二元二次方程组,进而化简为二元一次方程,求出圆心坐标,得到外接圆方程。
解法三:利用△ABC的中垂线联立二元一次方程,求出外接圆的圆心坐标,求出方程。
问题:
(1)分析三种解法的各自特点;(8分)
(2)结合此案例,以优化课堂教学环节为出发点,谈谈如何处理好初高中数学教学的衔接工作。(12分)
正确答案及解析
正确答案
解析
(1)第一种解法是一个知识综合使用的方法,是消元法的直接应用。只要学生从本质上理解了消元法,就可以很自然地运用。
第二种解法运用了圆心到圆弧的距离相等的原理,简化了方程,起到了事半功倍的效果。
第三种解法对知识要求更高,需要学生理解中垂线的性质及应用,把它与该题相结合,更好地达到解题的目的。
这三种解法,表面上是不同的,但实质是一样的,只需通过简单的恒等变形,都可归结为第三种方法。
(2)以优化课堂教学环节为出发点,对于初高中数学教学的衔接工作,给出以下几点建议:
①立足于课标和教材,尊重学生实际,实行层次教学。高一数学中有许多难理解和掌握的知识点,如集合、映射等,对高一新生来讲确实困难较大。因此,在教学中,应从高一学生实际出发,采取低起点、小梯度、多训练、分层次的方法,将教学目标分解成若干递进层次逐层落实。在速度上,放慢起始进度,逐步加快教学节奏;在知识导入上,多由实例和已知引入;在知识落实上,先落实“死”课本,后变通延伸用活课本;在难点知识讲解上,从学生理解和掌握的实际出发,对教材作必要的层次处理和知识铺垫,并对知识的理解要点和应用注意点做必要总结及举例说明。
②重视新旧知识的联系与区别,建立知识网络。初高中数学有很多衔接知识点,如函数概念、平面几何与立体几何相关知识等,到高中,它们有的加深了,有的研究范围扩大了,有些在初中成立的结论到高中可能不成立了。因此,在讲授新知识时,要有意引导学生联系旧知识,复习和区别旧知识,特别注重对那些易错易混的知识加以分析、比较和区别,这样可达到温故知新、温故而探新的效果。
③重视展示知识的形成过程和方法探索过程,培养学生的创造能力。高中数学较初中抽象性强,应用灵活,这就要求学生对知识理解要透,应用要活,不能只停留在对知识结论的死记硬套上,这就要求教师应向学生展示新知识和新解法的产生背景、形成和探索过程,不仅使学生掌握知识和方法的本质,提高应用的灵活性,而且还使学生学会如何质疑和解疑的思想方法,促进创造性思维能力的提高。
④重视培养学生自我反思、自我总结的良好习惯,提高学习的自觉性。高中数学概括性强,题目灵活多变,只靠课上听懂是不够的,需要课后进行认真消化,认真总结归纳,这就要求学生应具备善于自我反思和自我总结的能力。为此,我们在教学中,要抓住时机积极培养,在单元结束时,帮助学生进行自我章节小结,在解题后,积极引导学生反思:思解题思路和步骤,思一题多解和一题多变,思解题方法和解题规律的总结。由此培养学生善于进行自我反思的习惯,扩大知识和方法的应用范围,提高学习效率。
⑤重视专题教学。利用专题教学,集中精力攻克难点、强化重点和弥补弱点,系统归纳总结某一类问题的前后知识、应用形式、解决方法和解题规律,并借此机会对学生进行学法的指点,有意渗透数学思想方法。
你可能感兴趣的试题
有“泥土诗人”之称的诗人是()。
-
- A.臧克家
- B.田间
- C.艾青
- D.许地山
- 查看答案
将下列各项按所表示年龄大小顺序排列,正确的顺序应是( )。
①不惑②垂髫③花甲④加冠⑤而立⑥古稀⑦半百
-
- A.②④①⑦⑤③⑥
- B.④②③⑥①⑦⑤
- C.⑥⑤③②④⑦①
- D.②④⑤①⑦③⑥
- 查看答案
明朝初年强化君主专制的措施是()。
-
- A.增设军机处
- B.采用三省六部制
- C.废除丞相.权分六部
- D.设中书省为全国最高行政机构
- 查看答案
钱穆在评论中国古代某制度时说,它“可以培植全国人民对政治之兴味……可以团结全国各地域于一个中央之统治”,这一制度是()。
-
- A.郡县制
- B.察举制
- C.科举制
- D.行省制
- 查看答案
1931年,一位给人们带来光明的科学家重病的消息牵动着世界人民的心,几十名记者为他守夜。每隔一个小时就对外发布一次消息:“灯”还亮着。这位科学家是( )。
-
- A.瓦特
- B.法拉第
- C.爱迪生
- D.爱因斯坦
- 查看答案