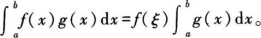
设f(x),g(x)在[a,b]上连续且g(x)不变号,证明至少存在一点ξ∈[a,b],使
正确答案及解析
正确答案
解析

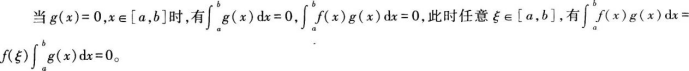
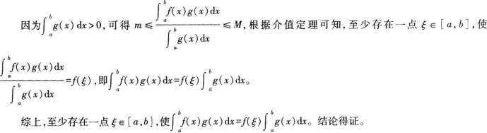
当g(x)≠O时,因为g(x)在[a,b]上不变号,所以必有对任意x∈[a,b],g(x)>0或g(x)<0。不妨设x∈[a,b]时,g(x)>0。根据最大值最小值定理知f(x)在[a,b]上连续,则必取到最小值m和最大值M,所以对任意x∈[a,b],都有m≤f(x)≤肘,进而有,mg(x)≤f(x)g(x)≤Mg(x),可以推出


你可能感兴趣的试题
有“泥土诗人”之称的诗人是()。
-
- A.臧克家
- B.田间
- C.艾青
- D.许地山
- 查看答案
将下列各项按所表示年龄大小顺序排列,正确的顺序应是( )。
①不惑②垂髫③花甲④加冠⑤而立⑥古稀⑦半百
-
- A.②④①⑦⑤③⑥
- B.④②③⑥①⑦⑤
- C.⑥⑤③②④⑦①
- D.②④⑤①⑦③⑥
- 查看答案
明朝初年强化君主专制的措施是()。
-
- A.增设军机处
- B.采用三省六部制
- C.废除丞相.权分六部
- D.设中书省为全国最高行政机构
- 查看答案
钱穆在评论中国古代某制度时说,它“可以培植全国人民对政治之兴味……可以团结全国各地域于一个中央之统治”,这一制度是()。
-
- A.郡县制
- B.察举制
- C.科举制
- D.行省制
- 查看答案
1931年,一位给人们带来光明的科学家重病的消息牵动着世界人民的心,几十名记者为他守夜。每隔一个小时就对外发布一次消息:“灯”还亮着。这位科学家是( )。
-
- A.瓦特
- B.法拉第
- C.爱迪生
- D.爱因斯坦
- 查看答案