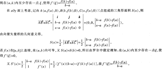
试分别叙述罗尔中值定理和拉格朗日中值定理。若以S(x)记由(a,∫(a)),(b,∫(b)),(x,∫(x))
三点组成的三角形面积,试对S(x)应用罗尔中值定理证明拉格朗日中值定理。
正确答案及解析
正确答案
解析
罗尔中值定理:若函数∫(x)满足如下条件:
(1)∫(x)在闭区间[a,b]上连续;
(2)∫(x)在开区间(a,b)内可导;
(3)∫(a)=f(b),
则在(a,b)内至少存在一点ξ,使得∫′(ξ)=0。
拉格朗日中值定理:若函数∫(x)满足如下条件:
(1)∫(x)在闭区间[a,b]上连续;
(2)∫(x)在开区间(a,b)内可导,


你可能感兴趣的试题
有“泥土诗人”之称的诗人是()。
-
- A.臧克家
- B.田间
- C.艾青
- D.许地山
- 查看答案
明朝初年强化君主专制的措施是()。
-
- A.增设军机处
- B.采用三省六部制
- C.废除丞相.权分六部
- D.设中书省为全国最高行政机构
- 查看答案
钱穆在评论中国古代某制度时说,它“可以培植全国人民对政治之兴味……可以团结全国各地域于一个中央之统治”,这一制度是()。
-
- A.郡县制
- B.察举制
- C.科举制
- D.行省制
- 查看答案
将下列各项按所表示年龄大小顺序排列,正确的顺序应是( )。
①不惑②垂髫③花甲④加冠⑤而立⑥古稀⑦半百
-
- A.②④①⑦⑤③⑥
- B.④②③⑥①⑦⑤
- C.⑥⑤③②④⑦①
- D.②④⑤①⑦③⑥
- 查看答案
1931年,一位给人们带来光明的科学家重病的消息牵动着世界人民的心,几十名记者为他守夜。每隔一个小时就对外发布一次消息:“灯”还亮着。这位科学家是( )。
-
- A.瓦特
- B.法拉第
- C.爱迪生
- D.爱因斯坦
- 查看答案