某教师针对《二项式定理》设计了一节习题课,下面是两位同学所做的一道例题的解
题过程,据此回答问题。

问题:
(1)给出案例中例题的正确解法;
(2)请指出案例中两个学生解题中的错误,并分析产生错误的原因;
(3)结合案例,谈谈在教学“二项式定理”内容时应该注意哪些问题。
正确答案及解析
正确答案
解析
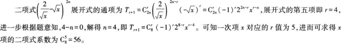
(1)案例中例题的正确解法如下。

(2)学生小赵解法中的问题:
①二项展开式的通项存在错误;
②根据题意r的取值错误。
产生错误的原因:对二项展开式的通项不理解,导致记不清。
学生小宋解法中的问题:
①虽然小宋的通项结果与正解相同,但题目二项式是
相乘,其解题过程中的n与题目中的n不是同一个变量;
②二项式系数求错。
产生错误的原因:审题不清,对二项展开式通项公式的记忆过于死板;某一项的系数与某一项的二项式系数两种概念混淆不清。
(3)在教学“二项式定理”时应该注意以下几点:
①在教学二项式定理、二项展开式的通项概念时要使学生明确二项式系数以及公式中r和n的含义;

③教师要明确二项展开式的某一项的系数与某一项的二项式系数的区别;
④教师在教学这部分内容时要结合专项习题进行讲解,使学生更进一步地明确并记忆二项式定理的潜在知识点。
你可能感兴趣的试题
有“泥土诗人”之称的诗人是()。
-
- A.臧克家
- B.田间
- C.艾青
- D.许地山
- 查看答案
明朝初年强化君主专制的措施是()。
-
- A.增设军机处
- B.采用三省六部制
- C.废除丞相.权分六部
- D.设中书省为全国最高行政机构
- 查看答案
钱穆在评论中国古代某制度时说,它“可以培植全国人民对政治之兴味……可以团结全国各地域于一个中央之统治”,这一制度是()。
-
- A.郡县制
- B.察举制
- C.科举制
- D.行省制
- 查看答案
将下列各项按所表示年龄大小顺序排列,正确的顺序应是( )。
①不惑②垂髫③花甲④加冠⑤而立⑥古稀⑦半百
-
- A.②④①⑦⑤③⑥
- B.④②③⑥①⑦⑤
- C.⑥⑤③②④⑦①
- D.②④⑤①⑦③⑥
- 查看答案
1931年,一位给人们带来光明的科学家重病的消息牵动着世界人民的心,几十名记者为他守夜。每隔一个小时就对外发布一次消息:“灯”还亮着。这位科学家是( )。
-
- A.瓦特
- B.法拉第
- C.爱迪生
- D.爱因斯坦
- 查看答案