题目详情

中学数学学科知识与教学能力,章节练习,基础复习,高级中学练习,B是3阶非零矩阵,且AB=0,则a=( )。

  • A.-1
  • B.0
  • C.2
  • D.1

正确答案及解析

正确答案
D
解析

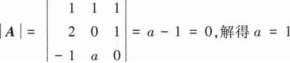
(方法一)因为AB=0,所以B的列向量都是齐次线性方程组Ax=0的解,又是非零矩阵,所以齐次线性方程组Ax=0一定有非零解,于是中学数学学科知识与教学能力,章节练习,基础复习,高级中学练习=a-1=0,a=1。故本题选D。

(方法二)因为AB=0.所以有r(A)+r(B)≤3.又B≠0,所以r(B)≥1.于是r(A)<3.从而行列式中学数学学科知识与教学能力,章节练习,基础复习,高级中学练习。故本题选D。

你可能感兴趣的试题

单选题

有“泥土诗人”之称的诗人是()。

  • A.臧克家
  • B.田间
  • C.艾青
  • D.许地山
查看答案
单选题

将下列各项按所表示年龄大小顺序排列,正确的顺序应是( )。

①不惑②垂髫③花甲④加冠⑤而立⑥古稀⑦半百

  • A.②④①⑦⑤③⑥
  • B.④②③⑥①⑦⑤
  • C.⑥⑤③②④⑦①
  • D.②④⑤①⑦③⑥
查看答案
单选题

《义务教育数学课程标准(2011年版)》强调,课程内容要反映社会的需要、数学的特点,要符合学生的认知规律。课程内容的组织要重视过程,处理好()的关系。

  • A.预设与生成
  • B.抽象与具体
  • C.数学与实际生活
  • D.过程与结果
查看答案
单选题

明朝初年强化君主专制的措施是()。

  • A.增设军机处
  • B.采用三省六部制
  • C.废除丞相,权分六部
  • D.设中书省为全国最高行政机构
查看答案
单选题

1931年,一位给人们带来光明的科学家重病的消息牵动着世界人民的心,几十名记者为他守夜。每隔一个小时就对外发布一次消息:“灯”还亮着。这位科学家是( )。

  • A.瓦特
  • B.法拉第
  • C.爱迪生
  • D.爱因斯坦
查看答案

相关题库更多 +