已知R3的两组基α1=(1,0,-1)T,α2=(2,1,1)T,α3=(1,1,1)T与β1=(0,1,1)T,β2=(-1,1,0)T,β3=(1,2,1)T。
(1)求基α1,α2,α3到基β1,β2,β3,的过渡矩阵;
(2)求y=(9,6,5)T在这两组基下的坐标;
(3)求向量ó,使它在这两组基下有相同的坐标。
正确答案及解析
正确答案
解析
(1)设从基a1,a2,a3,到基β1,β2,β3的过渡矩阵为C,则(β1,β2,β3)=(a1,a2,a3)C,则
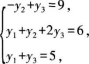
(2)设γ在基a1,a2,a3下的坐标为(y1,y2,y3)T,则有y1β1+y2β2+y3β3=γ,即
解得Y1=0,Y2=-4,Y3=5。设γ在基a1,a2,a3下的坐标为(X1,X2,X3)T,按坐标变换公式X=CY,
有
故γ在这两组基下的坐标分别为(1,2,4)T和(0,-4,5)T。
(3)设
即
则有
所以,仅有零向量在这两组基下有相同的坐标。
你可能感兴趣的试题
有“泥土诗人”之称的诗人是()。
-
- A.臧克家
- B.田间
- C.艾青
- D.许地山
- 查看答案
将下列各项按所表示年龄大小顺序排列,正确的顺序应是( )。
①不惑②垂髫③花甲④加冠⑤而立⑥古稀⑦半百
-
- A.②④①⑦⑤③⑥
- B.④②③⑥①⑦⑤
- C.⑥⑤③②④⑦①
- D.②④⑤①⑦③⑥
- 查看答案
1931年,一位给人们带来光明的科学家重病的消息牵动着世界人民的心,几十名记者为他守夜。每隔一个小时就对外发布一次消息:“灯”还亮着。这位科学家是( )。
-
- A.瓦特
- B.法拉第
- C.爱迪生
- D.爱因斯坦
- 查看答案
明朝初年强化君主专制的措施是()。
-
- A.增设军机处
- B.采用三省六部制
- C.废除丞相.权分六部
- D.设中书省为全国最高行政机构
- 查看答案
钱穆在评论中国古代某制度时说,它“可以培植全国人民对政治之兴味……可以团结全国各地域于一个中央之统治”,这一制度是()。
-
- A.郡县制
- B.察举制
- C.科举制
- D.行省制
- 查看答案