
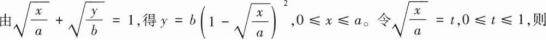
和两坐标轴所围成的面积是

- A.见图A
- B.见图B
- C.见图C
- D.见图D
正确答案及解析
正确答案
D
解析


你可能感兴趣的试题
《义务教育数学课程标准(2011年版)》强调,课程内容要反映社会的需要、数学的特点,要符合学生的认知规律。课程内容的组织要重视过程,处理好()的关系。
-
- A.预设与生成
- B.抽象与具体
- C.数学与实际生活
- D.过程与结果
- 查看答案
设α是某一方程组的解向量,k为某一常数,则kα也为该方程组的解向量。( )
- 查看答案

-
- A.0
- B.1
- C.2
- D.3
- 查看答案
案例:
在有理数运算的课堂教学片段中,某学生的板演如下:

针对该学生的解答,教师进行了如下教学:
师:请仔细检查你的演算过程,看是否正确无误?
生:好像正确吧。

请分析例题1、例题2中每一步运算的依据。(10分)
- 查看答案
初中数学课程是一门国家课程,其主要内容包括课程目标、教学内容、教学过程和( )等
-
- A.评价手段
- B.教学方法
- C.教学手段
- D.教学实践
- 查看答案