若x∈[0,+∞),则下列不等式恒成立的是( )

- A.见图A
- B.见图B
- C.见图C
- D.见图D
正确答案及解析
正确答案
C
解析
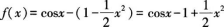
设
则g(戈)=f’(x)=-sinx+x,所以g'(x)=-cosx+1≧0,所以当x∈[0,+∞)时,g(x)为增函数,所以g(x)=f'(x)≥g(0)=0。同理,f(x)≥f(0)=0,所以
故选C。
你可能感兴趣的试题
有“泥土诗人”之称的诗人是()。
-
- A.臧克家
- B.田间
- C.艾青
- D.许地山
- 查看答案
将下列各项按所表示年龄大小顺序排列,正确的顺序应是( )。
①不惑②垂髫③花甲④加冠⑤而立⑥古稀⑦半百
-
- A.②④①⑦⑤③⑥
- B.④②③⑥①⑦⑤
- C.⑥⑤③②④⑦①
- D.②④⑤①⑦③⑥
- 查看答案
《义务教育数学课程标准(2011年版)》强调,课程内容要反映社会的需要、数学的特点,要符合学生的认知规律。课程内容的组织要重视过程,处理好()的关系。
-
- A.预设与生成
- B.抽象与具体
- C.数学与实际生活
- D.过程与结果
- 查看答案
明朝初年强化君主专制的措施是()。
-
- A.增设军机处
- B.采用三省六部制
- C.废除丞相,权分六部
- D.设中书省为全国最高行政机构
- 查看答案
1931年,一位给人们带来光明的科学家重病的消息牵动着世界人民的心,几十名记者为他守夜。每隔一个小时就对外发布一次消息:“灯”还亮着。这位科学家是( )。
-
- A.瓦特
- B.法拉第
- C.爱迪生
- D.爱因斯坦
- 查看答案