关于三角形关系的描述,初中有“大角对大边”,高中有“正弦定理”,这个研究过程的思路主要表现为( )。
- A.从理论到实际
- B.从一般到特殊
- C.从定性到定量
- D.从有限到无限
正确答案及解析
正确答案
C
解析
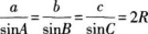
“大角对大边”是定性地描述三角形的边和角的关系,而“正弦定理”——在△ABC中角A,B,C所对的边分别是a,b,c,三角形外接圆的半径为R,则有
——是定量地给出了三角形的边和角的关系,所以这个研究过程的思路主要表现为从定性到定量。故本题选C。
你可能感兴趣的试题
有“泥土诗人”之称的诗人是()。
-
- A.臧克家
- B.田间
- C.艾青
- D.许地山
- 查看答案
《义务教育数学课程标准(2011年版)》强调,课程内容要反映社会的需要、数学的特点,要符合学生的认知规律。课程内容的组织要重视过程,处理好()的关系。
-
- A.预设与生成
- B.抽象与具体
- C.数学与实际生活
- D.过程与结果
- 查看答案
设α是某一方程组的解向量,k为某一常数,则kα也为该方程组的解向量。( )
- 查看答案

-
- A.0
- B.1
- C.2
- D.3
- 查看答案
案例:
在有理数运算的课堂教学片段中,某学生的板演如下:

针对该学生的解答,教师进行了如下教学:
师:请仔细检查你的演算过程,看是否正确无误?
生:好像正确吧。

请分析例题1、例题2中每一步运算的依据。(10分)
- 查看答案