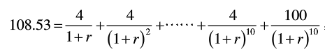
某债券面值100元,每半年付息一次,利息4元,债券期限为5年,若一投资者在该债券发行时以108.53元购得,其实际的年收益率是()。
- A.5.88%
- B.6.09%
- C.6.25%
- D.6.41%
正确答案及解析
正确答案
B
解析
半年收益率计算公式为:
得出:r=3%,则实际年收益率=(1+r)2-1=6.09%。
你可能感兴趣的试题
设随机变量X~N(3,22),且P(X>a)=P(X<a),则常数a为( )。
-
- A.0
- B.2
- C.3
- D.4
- 查看答案


-
- A.见图A
- B.见图B
- C.见图C
- D.见图D
- 查看答案
股指期货套期保值是规避股票市场系统性风险的有效工具,但套期保值过程本身也有(),需要投资者高度关注。I.法律风险II.市场风险III.结算风险IV.交易对手风险
-
- A.II、III
- B.I、IV
- C.II、IV
- D.I、III、IV
- 查看答案
李某将进行一项投资,有两个投资项目可供选择,项目A和项目B的现金流如下表,下列选项正确的有()

I.若利率为5%,则项目A的现值为1129.25元II.若利率为5%,则项目B的现值为2172.4元III.若利率为10%,则项目A不可取IV.若利率为10%,则项目B不可取
-
- A.I、II、III
- B.I、II、III、IV
- C.II、IV
- D.I、III
- 查看答案
通常影响估值的主要因素有()I.分红率II.无风险利率III.股票风险溢价IV.盈利增长速度
-
- A.I、II、III、IV
- B.I、III、IV
- C.II、III
- D.I、IV
- 查看答案