资本市场线在以预期收益和标准差为坐标轴的平面上,表示风险资产的最优组合与一种无风险资产再组合的组合线。下列各项中属于资本市场线方程中的参数的是( )
(1)市场组合的期望收益率
(2)无风险利率
(3)市场组合的标准差
(4)风险资产之间的协方差
- A.(1)(2)(3)
- B.(2)(3)(4)
- C.(1)(2)(4)
- D.(1)(2)(3)(4)
正确答案及解析
正确答案
A
解析
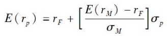
资本市场的方程为;

其中,E(rβ)为有效组合P的期望收益率;QP为有效组合P的标准;E(rm)为市场组合M的期望收益率:σM为市场组合m的标准差:rf为无风险证券收益率
你可能感兴趣的试题
设随机变量X~N(3,22),且P(X>a)=P(X<a),则常数a为( )。
-
- A.0
- B.2
- C.3
- D.4
- 查看答案


-
- A.见图A
- B.见图B
- C.见图C
- D.见图D
- 查看答案
股指期货套期保值是规避股票市场系统性风险的有效工具,但套期保值过程本身也有(),需要投资者高度关注。I.法律风险II.市场风险III.结算风险IV.交易对手风险
-
- A.II、III
- B.I、IV
- C.II、IV
- D.I、III、IV
- 查看答案
李某将进行一项投资,有两个投资项目可供选择,项目A和项目B的现金流如下表,下列选项正确的有()

I.若利率为5%,则项目A的现值为1129.25元II.若利率为5%,则项目B的现值为2172.4元III.若利率为10%,则项目A不可取IV.若利率为10%,则项目B不可取
-
- A.I、II、III
- B.I、II、III、IV
- C.II、IV
- D.I、III
- 查看答案
通常影响估值的主要因素有()I.分红率II.无风险利率III.股票风险溢价IV.盈利增长速度
-
- A.I、II、III、IV
- B.I、III、IV
- C.II、III
- D.I、IV
- 查看答案