某投资者签订了一份期限为9个月的沪深300指数远期合约,该合约签订时沪深300指数为2000点,年股息连续收益率为3%,无风险连续利率为6%,则该远期合约的理论点位为()。
- A.2015.5
- B.2045.5
- C.2455.5
- D.2055
正确答案及解析
正确答案
B
解析
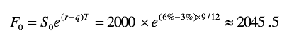
合约签订时该远期合约的理论点位FO为:

你可能感兴趣的试题
设随机变量X~N(3,22),且P(X>a)=P(X<a),则常数a为( )。
-
- A.0
- B.2
- C.3
- D.4
- 查看答案


-
- A.见图A
- B.见图B
- C.见图C
- D.见图D
- 查看答案
股指期货套期保值是规避股票市场系统性风险的有效工具,但套期保值过程本身也有(),需要投资者高度关注。I.法律风险II.市场风险III.结算风险IV.交易对手风险
-
- A.II、III
- B.I、IV
- C.II、IV
- D.I、III、IV
- 查看答案
李某将进行一项投资,有两个投资项目可供选择,项目A和项目B的现金流如下表,下列选项正确的有()

I.若利率为5%,则项目A的现值为1129.25元II.若利率为5%,则项目B的现值为2172.4元III.若利率为10%,则项目A不可取IV.若利率为10%,则项目B不可取
-
- A.I、II、III
- B.I、II、III、IV
- C.II、IV
- D.I、III
- 查看答案
通常影响估值的主要因素有()I.分红率II.无风险利率III.股票风险溢价IV.盈利增长速度
-
- A.I、II、III、IV
- B.I、III、IV
- C.II、III
- D.I、IV
- 查看答案