有一个正方形花池,周围用尺寸25厘米的方砖铺了一条宽1.5米的小路,共用方砖1776块,花池的面积是多少平方米?( )
- A.111
- B.289
- C.400
- D.104
正确答案及解析
正确答案
B
解析
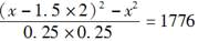
依题意,设花池边长x米,则(
,解得x=17(米),则花池面积=17×17=289(平方米)。
包含此试题的试卷
你可能感兴趣的试题
根据《中华人民共和国中国人民银行法》的规定,我国货币政策的最终目标是( ),并以此促进经济增长。
-
- A.保持货币币值稳定
- B.实现充分就业
- C.保持物价稳定
- D.保持利率稳定
- 查看答案
箱子里面有红、白两种玻璃球,红球数比白球数的3倍多两个,每次从箱子里取出7个白球、15个红球。如果经过若干次以后,箱子里只剩下3个白球、53个红球,那么,箱子里原有红球比白球多多少个?
-
- A.102
- B.104
- C.106
- D.108
- 查看答案
市场经济体制下,财政具有的职能有( )。
-
- A.资源配置职能
- B.收入分配职能
- C.经济稳定和发展职能
- D.综合平衡职能
- E.货币发行职能
- 查看答案
以下对政府部门的储蓄,表述正确的是( )。
-
- A.政府部门的储蓄可以是正值,也可以是负值
- B.政府部门的储蓄包括私人储蓄和企业储蓄
- C.政府部门的储蓄一定是正值
- D.政府部门的储蓄一定是负值
- 查看答案
将自然数1~100分别写在完全相同的100张卡片上,然后打乱卡片,先后随机取出4张,问这4张先后取出的卡片上的数字呈增序的几率是多少?()

-
- A.见图A
- B.见图B
- C.见图C
- D.见图D
- 查看答案