已知一个厂商的生产函数Q=1/11(4KL - L2一K2),其中K和L分别表示资本和劳动,且要素市场价格分别为v和ω。产品的市场价格为P,而该企业仅是一个价格接受者。假设企业处在长期生产中,w=1,v=4, 企业的最优生产方式是什么?企业的长期成本函数是什么?
正确答案及解析
正确答案
解析
企业处于长期生产时,成本最小化问题为:

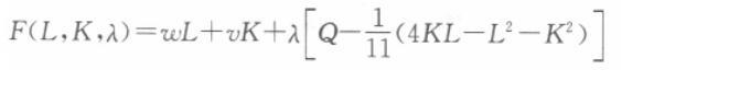
拉格朗日函数为:

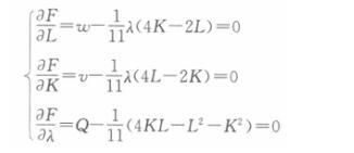
一阶条件为:

由前两式可得:(2w+v)L=(2v+w)K,当ω=1,v=4时,2L= 3K。代人生产函数可得:

从而可得企业的长期成本函数为:

已知一个厂商的生产函数Q=1/11(4KL - L2一K2),其中K和L分别表示资本和劳动,且要素市场价格分别为v和ω。产品的市场价格为P,而该企业仅是一个价格接受者。假设企业处在长期生产中,w=1,v=4, 企业的最优生产方式是什么?企业的长期成本函数是什么?
企业处于长期生产时,成本最小化问题为:

拉格朗日函数为:

一阶条件为:

由前两式可得:(2w+v)L=(2v+w)K,当ω=1,v=4时,2L= 3K。代人生产函数可得:

从而可得企业的长期成本函数为:
