已知一个厂商的生产函数Q=1/11(4KL - L2一K2),其中K和L分别表示资本和劳动,且要素市场价格分别为v和ω。产品的市场价格为P,而该企业仅是一个价格接受者。假设该厂商产品的市场需求函数Q=a-0.5P。若劳动力市场是完全竞争的,求该厂商对劳动的需求函数。
正确答案及解析
正确答案
解析
在短期,

由(1)知L的需求函数为:

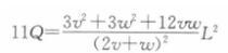
将(2ω十v)L=(2v+w)K代人生产函数可得:

已知一个厂商的生产函数Q=1/11(4KL - L2一K2),其中K和L分别表示资本和劳动,且要素市场价格分别为v和ω。产品的市场价格为P,而该企业仅是一个价格接受者。假设该厂商产品的市场需求函数Q=a-0.5P。若劳动力市场是完全竞争的,求该厂商对劳动的需求函数。
在短期,

由(1)知L的需求函数为:

将(2ω十v)L=(2v+w)K代人生产函数可得:
