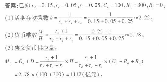
某商业银行体系共持有准备金300亿元,公众持有的通货数量为100亿元,中央银行对活期存款和非个人定期存款规定的法定准备率分别为15%和10%.据测算,流通中现金漏损率(现金/活期存款)为25%,商业银行的超额准备率为5%,而非个人定期存款比率为50%:试求: (1)活期存款乘数。 (2)货币乘数(指狭义货币M1)。 (3)狭义货币供应量M1。
正确答案及解析
正确答案
解析

某商业银行体系共持有准备金300亿元,公众持有的通货数量为100亿元,中央银行对活期存款和非个人定期存款规定的法定准备率分别为15%和10%.据测算,流通中现金漏损率(现金/活期存款)为25%,商业银行的超额准备率为5%,而非个人定期存款比率为50%:试求: (1)活期存款乘数。 (2)货币乘数(指狭义货币M1)。 (3)狭义货币供应量M1。
