题目详情

已知x1,x2是方程x2-ax-1=0的两个实根,则x12x22=

  • A.a2+2
  • B.a2+1
  • C.a2-1
  • D.a2-2
  • E.a+2

正确答案及解析

正确答案
A
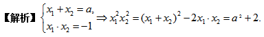
解析

管理类联考综合,历年真题,2015年考研《管理类联考综合》真题

包含此试题的试卷

你可能感兴趣的试题

问答题

数学二,模拟考试,全国硕士研究生入学考试《数学2》模拟试卷7

查看答案
问答题

数学二,模拟考试,全国硕士研究生入学考试《数学2》模拟试卷7

查看答案
问答题

数学二,模拟考试,全国硕士研究生入学考试《数学2》模拟试卷7

查看答案
问答题

数学二,模拟考试,全国硕士研究生入学考试《数学2》模拟试卷7

查看答案
问答题

数学二,模拟考试,全国硕士研究生入学考试《数学2》模拟试卷7

查看答案

相关题库更多 +