题目详情
全站导航
首页
试卷
试题
资讯
试卷导航
建筑工程
职业资格
公务员
财会类
医卫类
外语类
计算机类
学历类
试题导航
建筑工程
职业资格
公务员
财会类
医卫类
外语类
计算机类
学历类
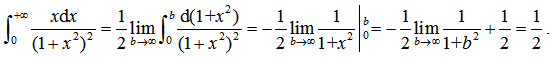
广义积分
=
查看答案
纠错
正确答案及解析
正确答案
解析
你可能感兴趣的试题
单选题
在社会规范学习与道德品质发展的研究中,班都拉(ABandura)等心理学家的研究重点是
A.道德认识
B.道德情感
C.道德意志
D.道德行为
查看答案
单选题
雅各宾派也被称为()
A.沼泽派
B.平等派
C.忿激派
D.山岳派
查看答案
问答题
查看答案
问答题
查看答案
问答题
查看答案
相关题库
更多 +
政治
数学二
管理类联考综合
中医综合
西医综合
学硕教育学
研究生历史
学硕心理学
专硕心理学
经济学
题目纠错
提交
取消