从所给的四个选项中,选择最合适的一个填入问号处,使之呈现一定的规律性:

【解析】观察图形,题干和选项图形均由一个正方形和一个三角形组成,区别在于三角形的位置和三角形的顶点指向的方向,组成相似,考虑位置规律。观察发现,三角形的底边依次顺时针移动了一格,故根据第五幅图可以知道,第六幅图三角形的底边应该在正方形最上面一条边的右半部分,故排除CD项。进一步观察每幅图形可以发现,图中三角形顶点的位置可以看出,五幅图中三角形顶点所处的位置在内部组成了一个小正方形,如下图:

观察发现,三角形的顶点在小正方形上依次顺时针移动,故根据第五幅图可知,所选图形顶点应该处在小正方形左下角,B项符合。
左图为给定的立体图形,将其从任一面剖开,右边哪一项不可能是该立体图形的截面?

第一步,明确设问内容。
选择不能由该多面体截出的选项。
第二步,分析选项。
A项:可以通过斜切下方长方体得到,排除;
B项:可以通过横切下方长方体得到,排除;
C项:可以通过竖切得到,排除;
D项:无法同时截出圆与矩形。
因此,选择D选项。
在所给的四个选项中,选择最合适的一个填入问号处,使之呈现一定的规律性:

第一步,观察特征。
内外结构明显,出现十字交叉,考虑圆内点。
第二步,一条式,从左到右找规律。
圆内点个数依次为1、2、3、4、5,问号处应该选择圆内点个数为6的图形,只有B项符合。
因此,选择B选项。
“十三五”时期,山东省在对外开放、区域协调发展、基础设施建设等方面取得显著成就。下列相关表述错误的是:
第一步,本题考查时政。
第二步,2018年11月30日首发的“齐鲁号”欧亚班列“兖州北——满洲里——波兰华沙——德国汉堡”是山东省开通中欧班列以来首条驶入欧洲腹地、到达西欧的线路,这条线路的开行标志着“齐鲁号”欧亚班列串起了亚欧大陆东西两端,山东货物可以从“家门口”搭乘班列直达西欧市场。而波兰并不是最西端,德国在波兰西部。已开通的“齐鲁号”欧亚班列如下图所示:

因此,选择B选项。
下列经济状况与国家的应对措施对应正确的是:
第一步,本题考查宏观经济。
第二步,经济下行是指衡量经济增长的各项指标都在不断的降低,比如GDP、PPI、CPI等,也就是经济从一个增长趋势变成一个下降趋势。经济下行始于2008年全球经济金融危机导致全球经济下行的担忧的加剧,自此,“保经济增长”成为了主基调。赤字财政指国家制定赤字财政政策,实行赤字财政计划。在制定国家预算时,国家有意将当年预算支出安排得大于当年预算收入,这样的话就相当于向市场上发放的钱数增多,有利于刺激消费,促进经济增长,属于扩张性的财政政策,可以缓解经济下行的情况。
因此,选择C选项。
下列哪一诗句的主题与其他三项不同?
第一步,本题考查人文历史并选错误项。
第二步,“野鹿呦呦叫着呼唤同伴,在那野外吃艾蒿。我有许多好的宾客,鼓瑟吹笙邀请他。”这首诗出自汉末政治家、文学家曹操以乐府古题创作的作品《短歌行》中的第一首诗。这首诗以沉稳顿挫的笔调抒写了诗人求贤如渴的思想和统一天下的雄心壮志,主题与其他三项不同。ACD选项都表达了男女之情,但B选项表达的是求贤的渴望。
因此,选择B选项。
下列表述没有体现习近平生态文明思想的是:
第一步,本题考查时政并选错误项。
第二步,党的十八大报告明确提出,推进生态文明建设,要坚持节约优先、保护优先、自然恢复为主的方针。而不是坚持发展优先、保护为主的方针。
因此,选择B选项。
下列行为符合我国法律规定的是:
第一步,本题考查《反不正当竞争法》。
第二步,根据《反不正当竞争法》第12条规定,经营者利用网络从事生产经营活动,应当遵守本法的各项规定。经营者不得利用技术手段,通过影响用户选择或者其他方式,实施下列妨碍、破坏其他经营者合法提供的网络产品或者服务正常运行的行为:(一)未经其他经营者同意,在其合法提供的网络产品或者服务中,插入链接、强制进行目标跳转;(二)误导、欺骗、强迫用户修改、关闭、卸载其他经营者合法提供的网络产品或者服务;(三)恶意对其他经营者合法提供的网络产品或者服务实施不兼容;(四)其他妨碍、破坏其他经营者合法提供的网络产品或者服务正常运行的行为。快递公司经丙百货公司同意,不属于反不正当竞争法里规定的内容,符合我国法律规定。
因此,选择C选项。
小王和小张系工友,因琐事发生纠纷后互殴,小王将小张打成轻伤,公安机关立案后双方达成和解协议,小张也表示了谅解,下列说法错误的是:
第一步,本题考查刑事诉讼法并选错误项。
第二步,根据《刑事诉讼法》第112条,人民法院、人民检察院或者公安机关对于报案、控告、举报和自首的材料,应当按照管辖范围,迅速进行审查,认为有犯罪事实需要追究刑事责任的时候,应当立案。认为没有犯罪事实,或者犯罪事实显著轻微,不需要追究刑事责任的时候,不予立案,并且将不立案的原因通知控告人。根据我国刑事诉讼法的规定,刑事案件不同于民事案件,公安机关进行立案后不得撤诉。检察院提起公诉的刑事案件,是国家代表被害人追究被告人的刑事责任,需要案件撤销的,应当是人民检察院撤销立案。
因此,选择D选项。
下图中①代表金砖国家,③代表联合国安理会常任理事国,则关于②所代表的国家说法正确的是:

第一步,本题考查地理国情。
第二步,金砖国家包括巴西、印度、中国、俄罗斯和南非。联合国安理会常任理事国包括中国、俄罗斯、英国、法国与美国。②代表既属于金砖国家,又属于联合国安理会常任理事国,即中国与俄罗斯,两国领土接壤。
因此,选择A选项。
宋徽宗酷爱书法和绘画,以下哪幅画他不可能鉴赏过:
第一步,本题考查中国古代书画作品并选错误项。
第二步,宋徽宗赵佶,号宣和主人,宋朝第八位皇帝,著名书画家。《富春山居图》是元代画家黄公望创作的纸本水墨画,被誉为“画中之兰亭”,是中国十大传世名画之一。在中国朝代发展顺序中,宋在元之前,所以宋徽宗不可能鉴赏过《富春山居图》。
因此,选择A选项。
下列鉴别物质的方法错误的是:
第一步,本题考查化学常识并选错误项。
第二步,烧碱就是氢氧化钠,纯碱就是碳酸钠,这两种都是碱性物质,这两种溶液都遇到酚酞变红,因此无法用酚酞试液进行区分。C项错误。
因此,选择C选项。
促进技术创新、产业升级,实现经济高质量发展,离不开人才的________作用,但是,有的地方并没有认真思考自身实际条件对吸引人才、发挥人才积极作用的影响,恨不得引进一批人才后立刻就让当地经济社会发生翻天覆地的变化,在引进人才工作上出现________的问题。
依次填入画横线部分最恰当的一项是:
第一步,突破口在第二空。填入词语修饰“问题”。根据前文“恨不得引进一批人才后立刻就让当地经济社会发生翻天覆地的变化”可知,填入词语应表达“贪图眼前利益,引进人才时急于求成”的含义。A项“拔苗助长”指把苗拔起来,帮助其成长,比喻违反事物的发展规律,急于求成,反而坏事。文段并未提及地方在帮助人才成长时出现问题,不符合语境,排除A项。B项“一拥而上“指一下子全都挤上去,形容周围的人同时向一个目标猛挤过去;D项“因噎废食”比喻要做的事情由于出了点小毛病或怕出问题就索性不去干。B项和D项均不符合语境,排除。C项“急功近利”意思是急于求成,贪图眼前的成效和利益,符合文意。答案锁定C项。
第二步,验证第一空。填入词语修饰人才的作用。C项“支撑”意思是顶住物体使不倒塌,符合文意。
因此,选择C选项。
一项新的研究表明,包括狩猎和徒步旅行在内的人类活动正在促使世界各地的哺乳动物在夜间变得更加________,表现出夜行性增强的趋势。因为只有在这个时候它们才不太可能碰到人类,这种转变所造成的后果尚不清楚,但科学家怀疑,这可能会________到一些动物种群的生存。
依次填入画横线部分最恰当的一项是:
第一步,分析第一空。根据“人类活动正在促使世界各地的哺乳动物在夜间变得更加________,表现出夜行性增强的趋势”可知,文中要表达的意思是哺乳动物夜间出行次数较多。A项“敏感”指感觉敏锐,对外界事物可很快判断或反应过来,强调的是“快”;D项“冲动”多指做事鲁莽,不考虑后果,与文中“因为只有在这个时候它们才不太可能碰到人类”文意不符。故二者均不符合文意,排除A项和D项。B项“亢奋”指极度兴奋;C项“活跃”指行动活泼而积极。二者均符合文意,保留B项、C项。新版章节练习,考前压卷,更多优质题库+考生笔记分享,实时更新,用金考典软件考,下载链接 www.
第二步,分析第二空。该空搭配“生存”。B项“侵犯”指非法干涉别人,损害其权利,与“生存”搭配不当,排除B项。C项“威胁”指使遭遇危险,符合语境。
因此,选择C选项。
在互联网已经进入下半场的背景下,技术成为驱动企业发展的________,人工智能不仅是下一代信息技术的核心和焦点,也是最有可能改变人类生活的技术。当前,不少企业尤其是行业龙头企业已经在着手进行研发、应用人工智能,想在这一次的科技革命中抢占先机,从而________拥有新的核心竞争力,________自己的行业地位。
依次填入画横线部分最恰当的一项是:
第一步,分析第一空。该空与“驱动企业发展”相对应,B项“支柱”比喻中坚力量,不符合语境,排除B项。
第二步,分析第二空。根据“抢占先机”可知,该空填入的词语形容赶在别人前面拥有核心竞争力。A项“持续”指延续不断,不符合语境,排除A项。C项“迅速”强调速度快,并无先于他人之意,排除C项。D项“率先”意思是带头,符合语境,答案锁定D项。
第三步,验证第三空。“巩固行业地位”为常见固定用法,符合语境。
因此,选择D选项。
当前,以数字化的知识和信息作为关键生产要素的数字经济蓬勃发展,新技术、新业态、新模式________。各国纷纷将发展数字经济作为推动实体经济提质增效、________核心竞争力的重要举措,推动数字经济取得的创新成果________于实体经济各个领域,围绕新一轮科技和产业制高点展开积极竞合。
依次填入画横线部分最恰当的一项是:
第一步,分析第一空。根据“数字经济蓬勃发展”可知,该空应体现“新技术、新业态、新模式不断出现”之意。A项“层出不穷”指接连不断地出现,没有穷尽;C项“方心未艾”指事物正在发展,尚未达到止境;D项“纷至沓来”形容接连不断的到来。三者均符合语境。B项“乏善可陈”指说不出有什么优点,没有什么好称道的,不符合语境,排除B项。
第二步,分析第三空。该空搭配“创新成果”。A项“融合”指结合在一起,符合语境。C项“实践”和D项“落实”均与“创新成果”搭配不当,排除C项和D项。答案锁定A选项。
第三步,验证第二空。“重塑”指重新塑造,符合语境。
因此,选择A选项。
所谓“做对的事情”,就是要把握________,清晰利弊,在做事之前要仔细考虑,分析判断,着眼于长远,理清________,找出关键点。而“把事情做对”则将关注重点引向了________,强调做事情方法要正确,二者缺一不可。
依次填入画横线部分最恰当的一项是:
第一步,突破口在第三空。根据“将关注重点引向了________,强调做事情方法要正确”可知,文中要表达的意思是关注“做事情的过程”。B项“过程”语义相符。A项“源头”、C项“结果”和D项“目的”均不能体现出做事方法。答案锁定B项。
第二步,验证第一空和第二空。第一空“把握方向”符合文意。第二空“来龙去脉”本指山脉的走势和去向,现比喻一件事的前因后果,“理清来龙去脉”搭配恰当,符合文意。
因此,选择B选项。
发热是临床上常见的症状。关于发热,下列说法正确的是:
第一步,本题考查生物医学。
第二步,发热时,体内的免疫细胞和免疫因子的活性提高,当体温在37.5-38.5℃时,机体免疫活动非常活跃,在某种程度上增强了身体的免疫力。
因此,选择B选项。
一把剪刀、一个镊子、一支毛笔、一碗糨糊、一盏台灯······在图书馆的古籍中心,古籍修复师们年复一年重复着手中的工作。在需要修复的珍贵古籍面前,他们始终________。
填入画横线部分最恰当的一项是:
第一步,分析语境。根据“修复的珍贵古籍”可知,文中要表达的意思是持有谨慎小心的态度。
第二步,辨析选项。A项“不苟言笑”形容态度庄重严肃;C项“精益求精”指好了还求更好;D项“视若珍宝”形容十分珍爱,将其当成无价之宝。A项、C项和D项均无“谨慎小心”的含义,不符合语境,排除。B项“如履薄冰”比喻行事极为谨慎,存有戒心,符合文意。
因此,选择B选项。
侦探小说的长久流行,部分原因是读者对世理人情中的阴暗面________的好奇心。安宁与平静只是一种表象,只要稍微留心,便能觉察到看似________的日常中处处有大大小小的危机。平凡生活的危机就是侦探小说最广泛和丰富的素材来源。
依次填入画横线部分最恰当的一项是:
第一步,分析第一空。由前文“侦探小说的长久流行”可知,读者对于世理人情中的阴暗面存在着“长久”的好奇心。A项“与生俱来”表示个人的特别、不可替代性,一生下来就是如此;C项“自然而然”指不经外力作用而如此。二者均没有体现出“长久”之意,排除A项、C项。B项“历久弥新”指经历长久的时间而更加鲜活,更加有活力,更显价值;D项“经久不衰”形容某事或某人经历很长时间仍旧保持较高的旺盛状态。二者均符合文意,保留B项、D项。
第二步,分析第二空。该空搭配“日常”。根据横线前后“安宁与平静只是表象”“平凡生活”可知,看似“平静、平凡”的日常中处处有大大小小的危机。B项“百无聊赖”指生活空虚,精神没有寄托,不符合文意,排除。D项“一成不变”指一经形成,不再改变,符合文意。
因此,选择D选项。
戏曲电影是丰富人们精神文化生活的重要方式,更是用新的科技手段传播中华传统文艺________的措施。但我们要把握电影环境的新变化,找准戏曲电影的________观众,培育更适宜于其生存发展的优质土壤,只要根据新的社会环境对症下药,戏曲电影的第二春不久定会到来。
依次填入画横线部分最恰当的一项是:
第一步,分析第一空。所填词搭配“措施”。A项“有的放矢”比喻说话或做事有明确的目的,有针对性,通常作谓语,修饰“措施”不恰当,且文段没有体现“有针对性”的语义,排除。B项“行之有效”指实行起来有成效,常与“措施”搭配,符合语境。C项“独具匠心”指具有与众不同的巧妙的构思;D项“得天独厚”指人的资质或自然环境特别好。两者均与“措施”搭配不当,排除C项和D项。答案锁定B选项。
第二步,验证第二空。“目标观众”符合语境。
因此,选择B选项。
街头艺术是一座开放的城市重要的一部分。一方面,街头艺术是城市的品味和气质,它比鳞次栉比的高楼大厦更温润人心,另一方面,文艺应让所有人都能够________,街头也应该成为表现艺术的“基层”。我们的文化自信、主旋律和正能量,不仅仅表达在严谨的大舞台,亦可以展现在________的小天地。
依次填入画横线部分最恰当的一项是:
第一步,分析第一空。所填词照应“表现艺术的‘基层’”,体现文艺能够贴近大众。B项“欣赏”指享受美好的事物,领略其中的情趣;D项“接触”指挨上;碰着。两者均符合语境。A项“认同”指认为跟自己有共同之处而感到亲切;C项“理解”指了解。两者置于此处体现的是文艺的高要求,不符合语境,排除A项和C项。
第二步,分析第二空。所填词与“严谨”语义相反相对。“严谨”形容态度严肃谨慎;细致、周全、完善,追求完美。B项“活泼”指生动自然,不呆板,可以与“严谨”构成反向照应,符合语境。D项“温馨”指温和芳香,温暖,语义不符,排除D项。
因此,选择B选项。
文学研究一直离不开两个维度:一个倾向于艺术的、内部结构的审美研究;另一个倾向于社会的、外部关系的意义揭示。两者原本可以________,互为补充,但在不同时代,由于对文学本体的追问,以及文学的主体性和文学的社会价值性上思考不同,使两者关系变得复杂,甚至紧张和________。
依次填入画横线部分最恰当的一项是:
第一步,分析第一空。根据上下文“两者原本可以”“互为补充”可知,“逗号”在这里表示前后词汇语义并列,所以第一空填入词汇应该和“互为补充”意思相似。A项“珠联璧合”比喻杰出的人才或美好的事物聚集在一起的美好样子,符合文意。B项“相得益彰”指两个人或两件事物互相配合,双方的能力和作用更能显示出来,符合文意。C项“互通有无”意思是拿出自己多余的东西给对方,与之进行交换,以得到自己所缺少的东西,但文中是补充而非交换,不符合文意,排除。D项“并行不悖”指同时进行而互相不违背,侧重“并行”而无相互补充之意,不符合文意,排除。
第二步,分析第二空。根据上文“变得复杂,甚至紧张和……”可知,第二空填入词语应比“复杂”语义更重,和“紧张”意思相近。A项“僵持”指双方相持不下,不能避让也无法进展,无法与上文形成语义递进,排除。B项“对立”更突出两者的相互敌对和冲突,语义更重,符合文意。
因此,选择B选项。
或许是农业文明的缘故,中国人的衣食住用里,一直透着对自然的敏感。漆器是最典型的一种。这些器物,小至盘碗碟盒、大至桌椅箱柜,几乎可以覆盖我们日常生活的所有方面,可见漆器的巨大包容性,可以含纳不同品类的事物,漆器上雕饰的图案,除了山水人物,出现最多的当是各种花卉,让我们在吃穿住用间,视野可以穿越纷杂的俗世,与山林田野相通。在故宫博物院所藏17707件漆器里,几乎找不出几件上面没有花卉图案的漆器,即使以龙螭鸟禽、亭台殿阁为主题,也一样是花团锦簇。所以,在这些漆器上,花卉几乎是通用的语言。
这段文字意在说明:
第一步,分析语境。根据文段,可知论述的是“漆器”,从“出现最多的当然是花卉”可知,花卉是传统漆器重要的创作主题。“在故宫博物院……”这句则是举例论证。文段最后一句话就是作者的主要意图,“通用的语言”就是“创作主题”。
第二步,辨析选项。B项论述的主题不是“漆器”,故排除;C项“有助于了解中国古人的日常生活”和D项“反映了创作者的审美情趣”,均与论述主旨无关。A项符合作者意图。
因此,选择A选项。
彩色摄影是饱含缤纷色彩的造型语言,黑白摄影是经典的、表达独特艺术思考的视觉化工具,它们之间不存在哪个更好、表现力更强的问题。无论是使用经验,还是作品所呈现的视觉效果,这两者都是完全不同的事物。今天的黑白摄影,即使不再是摄影艺术性和技术性的代表,也并不是什么过时的事物。黑白摄影仍具有自身独特的语言和能力,发挥着自己的特色,展现着新的可能,依然是解决、分析、阐述艺术问题的方法手段和需要研究探索的课题。
这段文字意在说明,黑白摄影:
第一步,分析文段。文段由彩色和黑白摄影的对比引出话题“黑白摄影”,然后提出黑白摄影并不过时的观点,最后具体论述了黑白摄影没有过时的观点。文段属于“分—总—分”结构,倒数第二句是文段的主旨句。
第二步,对比选项。B项是文段主旨句的同义替换项,符合文段意图。A项“不具有可比性”与文意相悖,文段认为二者是完全不同的事物,不存在哪个更好、表现力更强的问题。C项属于无中生有的选项。D项“艺术评价标准”文段并未提及,属于无中生有。
因此,选择B选项。
随着越来越多的国家投入到军用机器人的研究与开发中去,世界已在不知不觉中滑进了一场机器人军备竞赛,毋庸置疑,军事机器人相比于士兵,在功能、体能、效能方面具有极大优势。它可以同时承担多项复杂任务,作战更加持久,在程序设定完成后能够高效精准地达成目标,失误率较低,特别是完全自主机器人,与人类战士相比,具有持续作战时间长、反应能力快、生存能力强等优势,将会进一步增加战争的强度。然而________________:参战的自主机器人到底是不是战斗员?又应当承担何种战争责任?
填入画横线部分最恰当的一项是:
第一步,分析横线处的上下文语境。文段首句为背景铺垫,提出了军事机器人有优势这个话题。第二句具体阐述了军事机器人的作用和优点等。第三句话以转折词“然而”进行连接,所以整体的感情色彩和文意应该和前文是相反相对的。根据冒号可知,后面两个反问为填入句子的解释说明。由两个反问句的内容“机器人到底是不是战斗员”“又应当承担何种战争责任”可知,谈及的是伦理层面的问题。
第二步,对比选项。A项“引人深思”只能对应上第一个反问句,无法概括完整意思;B项属于对机器人的肯定,和前文形成不了相反相对的关系;C项“军备竞赛”和冒号后内容无对应关系。
因此,选择D选项。
研制超材料就是按照特定的规则组合,搭配出不同电磁响应属性的人工复合材料。这些材料的属性除由材料本身决定外,还与其结构的形状、尺寸、排列和组合方式等紧密相关。通过改变超材料关键位置的结构和尺寸,人们就可以像搭积木一般实现对光波、雷达波、无线电波、声波乃至地震波的任意弯曲和精细“裁减”。比如,研究人员借助超材料薄层能让光线绕过物体的属性,开始研究使物体无影无踪的“隐身斗篷”。
这段文字主要介绍了超材料的:
第一步,分析文段。文段首先讲述研制超材料的做法,并简单介绍超材料属性还与复合材料的其他性能相关,第三句具体讲述改变超材料的结构和尺寸后,可以让其实现超功能,尾句通过举例,论证超材料具有的特殊性能。因此文段主要讲述超材料的研制方法,即研制原理。
第二步,对比选项。A项是对文段主旨句的同义替换。
因此,选择A选项。
早期人们对质量的认识并不清晰,质量管理专家给出的质量定义也不统一。比较有代表性的定义是“质量是产品符合规定要求的程度”,这是从生产角度来定义的质量,即强调产品要达到规定要求或标准。20世纪60年代美国质量管理专家提出,质量是产品的适应性,强调产品要适合用户的使用需要,任何产品如果不能满足顾客需要,不管它多么符合产品标准,也不是好的质量,这是人们首次从用户的角度认识和定义质量。________________,这是质量观的一次重大转变。
填入画横线部分最恰当的一项是:
第一步,分析横线处的上下文语境。前文介绍了质量的两个不同定义:其一是从生产角度来定义质量,强调产品要达到规定要求或标准;其二是从用户的角度定义质量,即从需求方的角度出发,强调产品要适合用户的使用需要。横线所填句子是对上文的总结,表示这是质量观的一次重大转变,即从生产方到用户的转变。
第二步,对比选项。D项符合上述语境,与上文话题一致。
因此,选择D选项。
日前,被称为“互联网原住民”的年轻人正在成为影视剧等文化产品的消费主体,他们的喜好左右着市场方向和创作方向。从积极的方面来说,这有利于文创产品供应和需求之间形成有效对接,以需求拉动生产,激活市场潜力,但另一方面,过度依赖市场需求也可能导致创作方的中长期迷失。新一代年轻人兴趣多元,关注力持续度不高,由此构成的市场需求很多情况下并不具备中长期生命力,创作者和制作方如果一味跟进年轻人多变的兴趣,难免顾此失彼、陷入被动。因此,创作者和制作方更应该仔细研究这些兴趣背后的社会基础和真实有效的需求。
这段文字着重指出文创产业存在的哪一问题?
第一步,分析文段。第一句明确提出,文化产品的市场方向和创作方向受到消费主体喜好的左右这一现象。接下来分别从积极和消极两个方面谈这个现象所产生的影响。最后通过结论词提出作者对于这一问题的建议,即创作者和制作方更应该研究喜好(兴趣)背后的社会基础和真实需求。由此可知,本文着重指出文化产业存在的问题是过度、盲目迎合受众喜好,本文核心的话题就是“受众喜好”。
第二步,对比选项。A项符合文意,当选。B项“中长期规划”、C项“供应能力”和D项“创新”文段均未提到,是无关选项,均可排除。
因此,选择A选项。
当人脑在发育阶段接触到视觉刺激,也就是通过眼睛看到外界事物时视皮层上的神经元会被激活,也就是说这些神经元会对不同的图像特征如颜色、形状、亮度、朝向、距离等进行加工。如果人正处于视觉功能的发育关键期,而视觉神经元未被充分激活,未来在看到某些图像特征时就不会产生反应或反应比较弱,导致看不见或看不清。
这段文字最适合作为下列哪个观点的论据?
第一步,分析文段。文段采用了正反论证的方式。先是正面提出当人脑在发育阶段接触到视觉刺激时,视皮层上的神经元就会被激活。接着从反面加强了论述,说到如果人们在视觉功能的发育关键期,视觉神经元未被充分激活,那么可能导致“看不清”或“看不见”某些图像特征。文段主要论述不能错过视觉功能的发育关键期。
第二步,对比选项。D项“错过发育关键期”“丧失部分人体机能”均是文段的主要话题,符合文意。
因此,选择D选项。
①故宫中共有铁、铜、鎏金铜大缸308口,这些都是明清两代为防火而设置的储水缸
②作为明清两代的皇宫,故宫一直注重防火
③同时,金水河也是故宫自古以来的消防水源
④目前,这些古代流传下来的防火传统仍然适用
⑤“冬凿冰、夏注水、春除草、秋清叶”是故宫的防火传统
⑥每口缸大约可储水3000升,时刻保持满盈状态
将以上6个句子重新排列,语序正确的是:
第一步,对比选项,确定首句。②句论述的是“作为明清两代的皇宫,故宫一直注重防火”,属于概括性阐述,可能成为首句。⑤句内容是“‘冬凿冰、夏注水、春除草、秋清叶’是故宫的防火传统”,具体论述故宫如何防火。②与⑤相比较,②更适合做首句,排除B项和C项。
第二步,对比A项和D项。③句论述的是“同时,金水河也是故宫自古以来的消防水源”,“同时”能够告知我们,这句话和前文某句话构成并列关系。④句论述的是“目前,这些古代流传下来的防火传统仍然适用”,明显是概括总结性陈述。联系③句又可知,③句也是防火传统中的一种,则③句应该在④句之前。所以排除A项。
因此,选择D选项。
距今200万~100万年前,在类人猿向现代智人进化期间,人类祖先的大脑就进化出了支持合作的功能,以支持狩猎活动。这使人类祖先前额皮层里的记忆与思考中心变得比其他灵长类动物的更发达。随着群体变得比个体更强大,大脑不断进化出管理更大群体的能力,群体之间的竞争就变得比个体之间的竞争更重要,同时拥有更多合作性个体的群体发展得更好,这一进化使得利他意识、伦理观、良知和尊严意识发展起来。
这段文字意在说明:
第一步,分析文段。文段先介绍了人类祖先的大脑进化出了支持合作的功能以支持狩猎活动,其后介绍了这一进化使得人类大脑中记忆与思考中心更发达,而且随着群体更强大,群体之间竞争、合作更重要,大脑也随之进化出管理更大群体的能力。文段最后通过代词“这一进化”重点强调这一进化演变出的“利他意识、伦理观、良知和尊严意识”等美德。文段为“分—总”结构,代词指代后的内容为文段的重点。
第二步,对比选项。B项是文段重点的同义替换。
因此,选择B选项。
南朝文学批评家钟嵘在《诗品》中评论晋人刘琨的作品“善为凄戾之词,自有清拔之气。琨既体良才,又罹厄运,故善叙丧乱,多感恨之词”。这是用刘琨罹逢厄运的经历,来解释其诗作何以多感慨悲愤之词。当代的文学评论家更是自觉地运用这种方法考察作品。某位研究清末小说《孽海花》的学者曾说,要理解这部作品,就要“知人论世”,有必要探索曾朴的生活、思想历程与创作过程。可知,“知人论世”是他研究《孽海花》的重要方法。
这段文字意在说明:
第一步,分析文段。文段先是介绍了“南朝文学批评家钟嵘用‘知人论世’的方法研究晋人刘琨的作品”。接着介绍了当代的文学评论家也通过“知人论世”方法来考察文学作品,后面还用例子来加强论证了这一观点。故文段重点强调“知人论世”无论古今都是重要的文学作品研究方法。
第二步,对比选项。A项是对文段重点的同义替换,符合作者意图。
因此,选择A选项。
在游戏的世界里,人们不用承担现实生活中同样行为造成的后果,游戏输了可以点击“再来一次”一键复活。因此游戏提供了一种低成本低风险的自我实现方式。当个体在现实生活中受挫,游戏可以成为一种短暂的对现实世界的逃避。在游戏里建立社交关系,不断升级,提供了持续的挑战和个体存在的意义。
最适合做这段文字标题的是:
第一步,分析文段。文段首先介绍了在游戏世界人们不用承担后果,随后通过“因此”引出主旨,指出“游戏提供了一种低成本低风险的自我实现方式”,后文接着对文段主旨进行了进一步的解释。文段为“分—总—分”结构,主旨为游戏是一种低成本低风险的自我实现方式。
第二步,对比选项。D项为文段主旨的同义替换,适合做这段文字的标题。
因此,选择D选项。
随着我国科技对经济社会发展贡献率的增大,以及科技介入生活程度的加深,普通人与科技的关系也变得更加密切。科普走进生活,越来越成为人们的普遍期待。而这又对科普创新提出了更高的要求。科普创新当然首先是要及时更新科普的理念和内容,把日新月异的科技发展成果通俗易懂地告诉民众。同时,它也意味着科普形式和手段的创新。增添文艺的元素,则是其题中应有之义。________________。老一辈科学工作者十分善于借用文学艺术的力量。例如,当我们翻阅竺可桢先生《说飓风》《说云》等科普文章时,就会被其准确而又生动的文字所折服。
填入画横部分最恰当的一项是:
第一步,分析横线处上下文语境。文段首先指出科普走进生活的时代背景,接着引出“科普创新的话题”,并针对“如何进行科普创新”展开论述。横线前提到“增添文艺的元素,则是其题中应有之义”,且下文通过“老一辈科学家善借文学艺术的力量展开科普工作”进行举例论证。因此,横线处填入句子应体现出“科普工作需要融合文学艺术”之意。
第二步,对比选项。C项符合上述语境。
因此,选择C选项。
对于古希腊人来说,各种形式和内容的比赛活动无所不在,凡是有竞赛的地方就有规则的存在。体育比赛有严格和严密的竞赛规则,裁判员在赛场上依据规则来进行判罚,只有如此才能产生没有任何争议的优胜者。这些活动的背后,如何用好的规则引导竞争,规范竞争,使人向善,使社会更为公正,是古希腊思想家们热衷探讨的话题。
这段文字意在说明:
第一步,分析文段。文段先指出对于古希腊人来说,有竞赛的地方就有规则的存在,接着举了体育比赛的例子进行论证,最后再次重申观点,强调规则对于竞争的重要性。文段为“总—分—总”结构,首尾句是重点,强调规则对于竞争的重要性。
第二步,对比选项。A项是文段重点的同义替换,符合文段意图。
因此,选择A选项。
甲地在乙地的正东方,在丙地的正南方。甲乙之间距离为2.1千米。小张从甲地骑车直线前往丙地,回程时以相同速度直线前往乙地再直线返回甲地,回程时的路程比去程长
。问甲丙之间的距离在以下哪个范围内?
第一步,本题考查几何问题。
第二步,如图所示:

根据勾股定理可知,a2+2.12=c2①,根据回程比去程长
可知,2.1+c=
a,化简得c=
a-2.1,代入①式,解得a=7.2千米。
因此,选择D选项。
甲、乙、丙三人投资成立一家公司,初期共投入700万元。公司估值上涨50%时三人进行了二期投资,甲投入了与其初期投资相同的金额,乙投入了其初期投资金额的2倍,丙投入了其初期投资金额的
,二期总投入刚好也是700万元,此时甲、乙、丙三人的持股比例为5:14:16,那么初期投资乙比甲投入:
第一步,本题考查基础应用题。
第二步,设甲、乙、丙初期投资分别为a、b、c万元,列表如下:

根据甲、乙、丙三人持股比例为5∶14∶16,即2.5a∶3.5b∶2c=5∶14∶16,解得a:b:c=2:4:8,即甲、乙、丙初期投资比例为1∶2∶4,甲投资700×
=100、乙投资700×
=200,乙比甲多投资100万元。
因此,选择A选项。
进入某比赛四强的选手通过抽签方式随机分成2组进行半决赛,已知小王在面对任何对手时获胜的概率都是60%,小张在面对任何对手时获胜的概率都是40%。问小王和小张均在半决赛中获胜的概率为:

第一步,本题考查概率问题。
第二步,设另外两位选手分别为甲、乙,半决赛分组共有
=3种情况:
①小王、小张半决赛相遇,小王、小张不可能均获胜,概率为0;
②小王与甲同组、小张与乙同组,两人均在半决赛获胜的概率为
×60%×40%=
;
③小王与乙同组、小张与甲同组,两人均在半决赛获胜的概率为
×60%×40%=
。
小王和小张均在半决赛中获胜的概率为0+
+
=
。
因此,选择D选项。
一个正方形跑道如下图所示。甲从A出发沿顺时针方向匀速跑步,其到达AB中点时,之前一直在A保持静止状态的乙也出发,沿顺时针方向以与甲相同的速度跑步。问以下哪个坐标图最能准确地描述跑步时间(横轴T值)和甲、乙之间直线距离(纵轴L值)之间的关系?


第一步,本题考查函数问题。
第二步,如图所示,赋值正方形ABCD的边长为20,设甲、乙的速度均为1。分段讨论:

(1)当0<T≤10时,乙在A地保持静止,甲所走的距离1×T=T即为甲乙之间的距离,对应图形为匀速变化的直线。
(2)当10<T≤20时,在这段时间甲从E到B,乙从A到E,由于速度相同,故甲乙之间的距离恒为10,对应图形为平行于T轴的直线。
(3)当20<T<30时,在这段时间甲从B到F,乙从E到B,可用描点法进行枚举:
T=21时,甲从B到H,BH=1,乙从E到G,EG=1,则BG=10-1=9,则甲乙之间距离GH=
;
同理,当T=22时,甲、乙继续前进的距离均为1,则甲乙之间距离为
;
当T=23时,甲、乙继续前进的距离均为1,则甲乙之间距离为
;
当T=24时,甲、乙继续前进的距离均为1,则甲乙之间距离为
。
观察可得:
,随着时间T越来越大,甲乙之间距离越来越小,且递减趋势逐渐变小,排除ABD项。
因此,选择C选项。
X千克甲盐水和Y千克乙盐水中的含盐量相同。将X千克乙盐水与X千克甲盐水混合,并蒸发掉X千克水之后,得到的溶液浓度是乙盐水的Z倍。问乙盐水的浓度是甲盐水的多少倍?

第一步,本题考查溶液问题。
第二步,设甲盐水浓度为m,乙盐水的浓度为n。浓度=溶质/溶液,根据题意“将X千克乙盐水与X千克甲盐水混合,并蒸发掉X千克水之后,得到的溶液浓度是乙盐水的Z倍”,可得
,化简得n+m=Zn,解得
,故乙盐水的浓度是甲盐水的
倍。
因此,选择B选项。
某围场的形状为边长100米的等边三角形,在场地正中修建一座信号塔,塔顶安装有效覆盖半径为
米的信号发射器。如要信号覆盖整个围场的地面,则信号塔的高度最高为多少米?

解析:第一步,本题考查几何问题,属于立体几何类。
第二步,等边三角形重心、内心、外心、垂心重合于一点,此点称为等边三角形的中心。围场的正中心即等边三角形各边中线的交点。如图所示,根据一个角是30°的直角三角形的三边比例(1:
:2)可知三个顶点每个顶点到中心O的距离都是
米。

第三步,信号塔最高点到最低点PO与OA、OB、OC都可以构成直角三角形。在直角三角形POA中,PA=
,OA=
,根据勾股定理可知PO2=PA2-OA2=(
)2-(
)2=700,则PO=
(米)。

因此,选择B选项。
某种商品有小箱和大箱两种包装,一大箱这种商品有400件,张和王同时开始制造这种商品,制造一小箱和一大箱这种商品后,张比王多做50件。如果王此时的效率提高100%,并与张再共同制造一大箱这种商品,则王制造的总件数比张多50件。问一小箱这种商品有多少件?
第一步,本题考查工程问题。
第二步,设小王原来的效率为x,小张原来的效率为y,提升后小王的效率为2x。原来小张比小王多做50件,而最后小王做的总数比小张多50件,说明第二次小王比小张多做100件。可列方程组:2x+y=400;2x-y=100,解得x=125,y=150。
第三步,设第一次用时为t,150t-125t=50,解得t=2,那么一小箱商品有(150+125)×2-400=150(件)。
因此,选择C选项。
某种商品第一天原价销售,第二天开始每天的销售价格比上一天下降原价的10%。在最后一天前,每天的销量比上一天提高100%。最后一天的销量与第三天相同。总共6天全部卖完。如果这种商品的成本为原价60%,问销售这种商品的总利润是总成本的:
第一步,本题考查经济利润问题。
第二步,赋值原价是10,第一天的销量为1,则售价每天下降10×10%=1,成本为10×60%=6。

这6天的总利润为4+6+8+8+0-4=22,总成本为6×(1+2+4+8+16+4)=210,那么总利润是总成本的
≈10.5%,介于10%—20%之间。
因此,选择B选项。
将15名实习生名额随机分配给12个部门,每个部门至少分配1人。问有部门获取的名额是3的概率是有部门获取的名额是4的概率的多少倍?
第一步,本题考查概率问题。
第二步,先给每个部门分1人,还剩3人。要想有4人组,则剩余的3人分到同一个部门,有12种情况。要想有3人组,则剩余的3人中有2人分到同一组,另外1个人分到其他组,有12×11=132(种)情况。因为总情况数固定,故有部门获得名额是3的概率是名额4的132÷12=11倍。
因此,选择C选项。
将5个相同的圆锥体零件表面涂上红、黄、蓝三种颜色。要求同一个零件的底面只能用一种颜色,同一个零件的斜面也只能用一种颜色,且5个零件的颜色彼此不完全相同,问总共有多少种不同的涂色方式?
第一步,本题考查排列组合问题。
第二步,每个圆锥体有底面、斜面(即侧面展开面)两个面需要涂色,每个面都可以在3种颜色里任选一种,则每个圆锥体有
=9种。“彼此不完全相同”,意指任选2个零件,不是完全一样的涂色方法(例如可以底面一个颜色但斜面不同),那么即在9种涂色方式中选择5种作为零件涂色方式即可,共有
=126种。
因此,选择B选项。
左图是给定的立体图形,下面选项哪个是该立体图形的外表面展开图?

第一步,观察特征。
要求选择立体图形的外表面展开图。
第二步,比对相邻边。

对图中的大矩形A、直角梯形B、直角梯形C、小矩形D进行标记,则直角梯形C的上底应与矩形D中的短边相连,而选项A、D中直角梯形C的上底与矩形D的长边相连,排除;进一步观察,发现大矩形A的一个顶点应与直角梯形B的锐角相连,而选项A、B中大矩形A的一个顶点应与直角梯形B的钝角相连,排除。
因此,选择C选项。
把下面的六个图形分为两类,使每一类图形都有各自的共同特征或规律,分类正确的一项是:

第一步,观察特征。
图形均为六面体展开图,考虑六面体。
第二步,根据规律进行分组。
图形①②⑤折叠而成的六面体中3个黑色面两两之间均是相邻关系,图形③④⑥折叠而成的六面体中3个黑色面之中有一组相对面,分为两组。
因此,选择C选项。
见微知著是指见到一点儿苗头,就能知道它的发展趋向或问题的实质,下列最能体现见微知著的是:
第一步,根据提问方式,确定为选是题。
第二步,找关键信息。
见到一点儿苗头知道它的发展趋向或问题的实质。
第三步,辨析选项。
A项:从一片树叶的凋落,知道秋天的到来,比喻通过个别的细微迹象,可以看到整个形势的发展趋向与结果,符合“见到一点儿苗头就知道它的发展趋向或问题的实质”,符合定义。
B项:一个小小的蚂蚁洞,可以使千里长堤毁于一旦,比喻小事不注意会造成大乱子,不符合“见到一点儿苗头就知道它的发展趋向或问题的实质”,不符合定义。
C项:到了每年天气最冷的时候,就知道其他植物大多都凋零,只有松柏挺拔、不落,没有涉及到“见到一点儿苗头就知道它的发展趋向或问题的实质”,不符合定义。
D项:路途遥远,方能知道马儿力气的大小;指经历的事情多了,时间长了,才可识别人心的善恶好歹,没有涉及到“见到一点儿苗头就知道它的发展趋向或问题的实质”,不符合定义。
因此,选择A选项。
一个论证是一组陈述,其中的一个或多个陈述(即前提)被用来为另外一个陈述(即结论)提供支持的理由。
根据上述定义,下列属于论证的是:
第一步,根据提问方式,确定为选是题。
第二步,找关键信息。
①一个或多个陈述(即前提);
②另外一个陈述(即结论);
③提供支持的理由。
第三步,辨析选项。
A项:“食物的基因改造存在风险”,此为结论句,“会把意料之外的改变引入到为人类提供食物的生物DNA中”为前提,对结论具有支持的作用,符合定义;
B项:两个“相信”后面的语句为并列关系,不符合定义;
C项:均是事件描述,无结论句,不符合定义;
D项:“固体都保持各自的形状和体积”与“液体则占有一定的体积”为并列关系,“但其形状与盛装容器的形状有关”发生转折,均为结论句,题干缺少前提,不符合定义。
因此,选择A选项。
衬托是为了突出主要事物,用类似的事物或反面的、有差别的事物作陪衬的一种修辞方法。对比是指用相反或相似的两种事物互相比照,以共同表现某种思想或意境的一种修辞方法。二者的区别在于衬托是以次要事物为陪衬来突出主要事物,而对比中体现的两种事物不分主次。
根据上述定义,下列同时使用了上述两种修辞方法的是:
第一步,根据提问方式,确定为选是题。
第二步,找关键信息。
多定义,考查“衬托”和“对比”,“衬托”的关键信息为:
①突出主要事物;
②用类似的事物或反面的、有差别的事物作陪衬;
③以次要事物为陪衬来突出主要事物。
“对比”的关键信息为:
①用相反或相似的两种事物互相比照;
②以共同表现某种思想或意境;
③体现的两种事物不分主次。
第三步,辨析选项。
A项:封建贵族“朱门酒肉臭”的奢华生活和穷苦百姓“路有冻死骨”的悲惨命运,符合“相反的两种事物互相比照”,形容贫富悬殊的社会现象,属于“共同表现某种思想或意境”,符合“对比”,没有主次之分,没有“突出主要事物”,不符合“衬托”,排除;
B项:“桃花潭水深千尺”中的“千尺”运用了夸张的手法,同时,将友情比喻为深千尺的桃花潭水,也运用了比喻的修辞手法,不涉及“相反或相似的两种事物互相比照”,不符合“对比”和“衬托”,不符合定义;
C项:“蝉噪林逾静”是将“噪”和“静”两个相反事物互相比照,“鸟鸣山更幽”是将“鸣”和“幽”两个相反事物互相比照,运用了“对比”,同时以“蝉噪”突出“林静”,以“鸟鸣”突出“山幽”,运用了“衬托”,符合定义;
D项:“千里黄云白日曛,北风吹雁雪纷纷”指的是满天黄云,太阳被笼罩得昏昏沉沉,北风吹来,大雁在纷飞的雪花中向南飞去,运用了夸张的修辞,不涉及“相反或相似的两种事物互相比照”,不符合“对比”和“衬托”,不符合定义。
因此,选择C选项。
类比论证是根据两个对象在某些属性上的相同或相似,推论两者在其他属性上也有相同或相似。其逻辑形式为:对象A具有a、b、c、d的属性。对象B具有a、b、c的属性。所以对象B具有d的属性。
根据上述定义,下列属于类比论证的是:
第一步,看提问方式,本题属于选是题。
第二步,找关键信息。
①根据两个对象在某些属性上的相同或相似;
②推论两者在其他属性上也有相同或相似。
第三步,辨析选项。
A项:通过两个人都有志气,不以高官厚禄为荣,推出所有有志气的人都不以高官厚禄为荣,从个例推理出一般性结论,属于归纳推理,没有涉及二者的其他特性,不符合“推论两者在其他属性上也有相同或相似”,不符合定义;
B项:根据光和声都具有直线传播、折射、反射等现象,符合“根据两个对象在某些属性上的相同或相似”,推出光和声一样,也具有波动性,符合“推论两者在其他属性上也有相同或相似”,符合定义;
C项:强调白求恩与不负责任的人品格的区别,而不是共性,不符合“根据两个对象在某些属性上的相同或相似”,不符合定义;
D项:根据银和铜电阻率的区别,得出银更适宜做导电材料,是根据二者的区别,不符合“根据两个对象在某些属性上的相同或相似”,且推出银更适宜,没有涉及二者的其他特性,不符合“推论两者在其他属性上也有相同或相似”,不符合定义。
因此,选择B选项。
比例原则是指行政机关实施行政行为应兼顾行政目标的实现和适当性手段的选择,保障公共利益和相对人权益的均衡,如为实现行政目标可能对相对人权益造成某种不利影响时,应将这种不利影响限制在尽可能小的范围和限度内,保持二者处于适度的比例。
根据上述定义,行政机关的下列行为最符合比例原则的是:
第一步,看提问方式,本题属于选是题。
第二步,找关键信息。
①兼顾行政目标的实现和适当性手段的选择;
②保障公共利益和相对人权益的均衡;
③将不利影响限制在尽可能小的范围和限度。
第三步,辨析选项。
A项:夫妻发生口角,被公安局处以罚款500元的处罚,处罚相对较重,没有体现“保障公共利益和相对人权益的均衡”,排除;
B项:执法员殴打超载冲卡企图逃逸的司机,是不合规的执法行为,没有体现“保障公共利益和相对人权益的均衡”,该执法方式可能导致矛盾激化,不符合“将不利影响限制在尽可能小的范围和限度”,排除;
C项:私自加盖至十二层的部分属于违章建筑,但规划局要求其把楼房全部拆除,处罚相对较重,没有体现“保障公共利益和相对人权益的均衡”,排除;
D项:市政府叫停化工项目,是为了避免对附近的风景区和居民生活区造成污染,体现了“保障公共利益和相对人权益的均衡”,且论证后及时叫停,符合“将不利影响限制在尽可能小的范围和限度”,符合定义。
因此,选择D选项。
桂:广西
第一步,确定题干逻辑关系。
“桂”是“广西”的简称,二者属于全同关系。
第二步,辨析选项。
A项:“皖”是安徽的简称,不是“江西”的简称,排除;
B项:“映山红”是“杜鹃花”的别名,二者属于全同关系,与题干逻辑关系一致,符合;
C项:“河流”与“湖泊”是两种不同的水体,二者属于并列关系中的反对关系,排除;
D项:“圣女果”指小西红柿,是“西红柿”的一种,二者属于包容关系中的种属关系,排除。
因此,选择B选项。
水生动物:卵生动物
第一步,确定题干逻辑关系。
有的“水生动物”是“卵生动物”,有的“卵生动物”是“水生动物”,二者属于交叉关系。
第二步,辨析选项。
A项:“腔肠动物”与“软体动物”都属于无脊椎动物,二者属于并列关系中的反对关系,排除;
B项:“甲壳纲动物”属于“节肢动物”门的一纲,二者属于包容关系中的种属关系,排除;
C项:有的“飞行动物”是“哺乳动物”,有的“哺乳动物”是“飞行动物”,二者属于交叉关系,与题干逻辑关系一致,符合;
D项:“脊柱动物”与“无脊椎动物”属于并列关系中的矛盾关系,排除。
因此,选择C选项。
诗∶赋∶词
第一步,确定题干逻辑关系。
三者均为中国古代文学体裁,并且先有“诗”,再有“赋”,最后有“词”,三者属于时间顺承的对应关系。
第二步,辨析选项。
A项:“纸”“丝绸”“竹简”三者均为中国古代书写文字的载体,但是三种载体应该先有竹简、然后有丝绸,最后有纸,与题干逻辑关系不同,排除;
B项:“昆曲”与“京剧”为两种不同的剧种,二者之间为并列下的反对关系,都属于“戏剧”,与“戏剧”之间均为包容关系中的种属关系,与题干逻辑关系不一致,排除;
C项:“油画”“水墨画”和“工笔画”是三种绘画形式,其中,“水墨画”和“工笔画”为国画的两个分支,均为中国传统的绘画形式,“油画”起源于欧洲的蛋彩画,不属于中国传统的绘画形式,也不存在前后演变关系,与题干逻辑关系不一致,排除;
D项:“甲骨文”“隶书”“楷书”均为中国古代文字,并且,先有“甲骨文”,然后有“隶书”,最后有“楷书”,三者属于时间顺承的对应关系,与题干逻辑关系一致,符合。
因此,选择D选项。
油田∶钻探∶石油
第一步,确定题干逻辑关系。
在“油田”“钻探”“石油”,“油田”是场所,“钻探”和“石油”属于动宾关系。
第二步,辨析选项。
A项:“房产”“交易”需要“证书”,“证书”和“房产”“交易”是必要条件关系,排除。
B项:在“车站”“驾驶”列车,“车站”是场所,而“乘客”在“车站”乘坐列车,“乘客”与“驾驶”没有明显逻辑关系,排除;
C项:在“渔场”“捕捞”“海鲜”,“渔场”是场所,“捕捞”和“海鲜”属于动宾关系,与题干逻辑关系一致,符合;
D项:“搭建”和“轮船”属于动宾关系,但“灯塔”不是其地点,排除。
因此,选择C选项。
铁∶铜∶镁
第一步,确定题干逻辑关系。
“铁”“铜”“镁”都是金属,属于并列关系中的反对关系。
第二步,辨析选项。
A项:“棒球”“排球”“台球”都是球类运动,属于并列关系中的反对关系,与题干逻辑关系一致,符合;
B项:“高跟鞋”“高帮鞋”“增高鞋”两两之间属于交叉关系,排除;
C项:“高筋粉”是“面粉”的一种,两者属于包容关系中的种属关系,排除;
D项:“羊肉”和“牛肉”都可以作为“腊肉”的原材料,均和“腊肉”为原材料对应关系,排除。
因此,选择A选项。
策划:编排:直播
第一步,确定题干逻辑关系。
先“策划”,再“编排”,最后“直播”,三者属于时间顺承对应关系。
第二步,辨析选项。
A项:先“研发”,再“测试”,最后“上线”,词语顺序与题干不一致,排除;
B项:先“育苗”,再“移栽”,最后“收割”,三者属于时间顺承对应关系,与题干逻辑关系一致,符合;
C项:“学车”和“考证”是针对驾照的流程,“年检”是针对机动车的流程,三者没有时间顺承对应关系,排除;
D项:先“选房”,再“装修”,最后“入住”,词语顺序与题干不一致,排除。
因此,选择B选项。
老鹰∶树枝∶天空
第一步,确定题干的逻辑关系。
“树枝”是“老鹰”的栖息地点,二者属于地点对应关系,“天空”是“老鹰”的活动地点,二者属于地点对应关系,“树枝”和“天空”属于并列关系。
第二步,辨析选项。
A项:“蜂箱”是“蜜蜂”的栖息地点,二者属于地点对应关系,“花丛”是“蜜蜂”的活动地点,二者属于地点对应关系,与题干逻辑关系一致,符合;
B项:“蟒蛇”栖居于热带、亚热带低山丛林中,可以生活在“山涧”或“森林”中,与后两词均属于地点对应关系,但没有栖息地点与活动地点之分,排除;
C项:“蚊子”可以生活在“沟渠”或“野外”,与后两词均属于地点对应关系,但没有栖息地点与活动地点之分,排除;
D项:“鲈鱼”可以生活在“江河”或“海洋”中,与后两词均属于地点对应关系,但没有栖息地点与活动地点之分,排除。
因此,选择A选项。
粘土∶陶瓷杯∶器具
第一步,确定题干逻辑关系。
“粘土”是制作“陶瓷杯”的原材料,二者属于原材料对应关系,“陶瓷杯”是“器具”,二者属于包容关系中的种属关系。
第二步,辨析选项。
A项:“门窗”是“房屋”的组成部分,二者属于包容关系中的组成关系,排除;
B项:“蚕丝”是制作“旗袍”的原材料,二者属于原材料对应关系,“旗袍”是“服饰”,二者属于包容关系中的种属关系,与题干逻辑关系一致,符合;
C项:“纸张”是“扉页”的原材料,二者属于原材料对应关系,但“扉页”是“图书”的组成部分,二者属于包容关系中的组成关系,排除;
D项:“牛肉”是“肉馅”的原材料,二者属于原材料对应关系,“肉馅”是“饺子”的组成部分,二者属于包容关系中的组成关系,排除。
因此,选择B选项。
天然气:气体:燃料
第一步,确定题干逻辑关系。
“天然气”是“气体”,二者属于包容关系中的种属关系,“天然气”是一种“燃料”,二者属于包容关系中的种属关系。
第二步,辨析选项。
A项:“读后感”是阅读书籍后的“感想”,二者属于包容关系中的种属关系,“读后感”与“散文”无明显逻辑关系,排除;
B项:“量角器”和“圆规”均属于制图工具,二者属于并列关系,排除;
C项:“金银花”是“花卉”,二者属于包容关系中的种属关系,“金银花”是一味“中药”,二者属于包容关系中的种属关系,与题干逻辑关系一致,符合;
D项:“互联网”是“网络”与“网络”之间所串连成的庞大“网络”,二者属于包容关系中的种属关系,“网站”是在“互联网”上拥有域名或地址并提供一定网络服务的主机,是存储文件的空间,二者属于对应关系,排除。
因此,选择C选项。
食品:蔬菜:绿色食品
第一步,确定题干逻辑关系。
“蔬菜”与“绿色食品”都是“食品”,后两词与第一词属于包容关系中的种属关系,有的“蔬菜”是“绿色食品”,有的“绿色食品”是“蔬菜”,二者属于交叉关系。
第二步,辨析选项。
A项:“历史片”与“科幻片”属于并列关系,排除;
B项:“海口市”与“海南省”都是“中国”的组成部分,后两词与第一词均属于包容关系中的组成关系,“海口市”与“海南省”属于包容关系中的组成关系,排除;
C项:“交通图”与“单色地图”都是“地图”,后两词与第一词属于包容关系中的种属关系,有的“交通图”是“单色地图”,有的“单色地图”是“交通地图”,二者属于交叉关系,与题干逻辑关系一致,符合;
D项:“绿孔雀”与“蓝孔雀”属于并列关系,排除。
因此,选择C选项。
运动会长跑成绩公布后,小张说:“我的排名在前五名,小夏的名次不好,小王是最后过终点的。”小夏说:“我的长跑成绩一直都在这个水平,我紧跟着小王的后面跑过终点。”小王说:“小张和小夏的成绩都比我好。”三个人中最多一个人说假话。
据此,可以推出:
第一步,确定题型。
题干有若干论断和真假限定,确定为真假推理。
第二步,找关系。
小张说:“小王是最后过终点的”,即小夏名次在小王之前;
小夏说:“我是紧跟小王的后面跑过终点”,即小夏名次在小王之后;
小王说:“小张和小夏的成绩都比我好”,即小夏名次在小王之前。
第三步,采用假设法解题。
假设没有人说假话,则三人的话都为真,但小张小王的话与小夏的话不一致,假设错误;
假设小张说了假话,则小王与小夏的话为真,但两人的话不一致,假设错误;
假设小王说了假话,则小张与小夏的话为真,但两人的话不一致,假设错误;
假设小夏说了假话,则小张与小王的话为真,两人的话一致,假设正确。
因此选择B选项。
不用“管住嘴,迈开腿”就能成功瘦身,大概是很多人的梦想。然而一边吃的很饱一边掉体重却成了宇航员们的噩梦,因为这会使宇航员损失骨骼和肌肉,还会影响心血管系统的正常运作。宇航员总是表示已经吃饱了,然而与此同时,他们的体重却减轻了,为什么宇航员摄入的食物不够?一位航空研究所人员提出,这是因为食物在失重环境下不会像地球上一样老实待在胃里,它们在胃里漂动,撑开胃部,会更快给大脑送去“你已经吃饱了,别再吃了”的信号。
以下哪项如果为真,最能驳斥这个研究员的解释?
第一步,确定题型。
根据提问方式中的“反驳”,确定为削弱论证。
第二步,找论点和论据。
论点:因为食物在失重环境下不会像地球上一样老实待在胃里,它们在胃里漂动,撑开胃部,会更快给大脑送去“你已经吃饱了,别再吃了”的信号,所以宇航员总是表示已经吃饱了,然而与此同时,他们的体重却减轻了。
论据:无。
第三步,辨析选项。
A项:无关选项。说明宇航员每周坚持锻炼的重要性,但与论点论题不一致,无法削弱;
B项:无关选项。说明吃饭咀嚼快慢对于饱腹感的影响,但与论点论题不一致,无法削弱;
C项:削弱论点,胃壁本身的张力并不会受到太大影响,胃的内部压力也没有太大变化,说明胃不会被撑开,从而也不会给大脑带去吃饱了的信号,可以削弱;
D项:无关选项。说明咀嚼次数与消耗热量的关系,但是与论点论题不一致,无法削弱。
因此,选择C选项。
环境与生活方式能使基因表达发生改变,但不涉及DNA序列的变化,研究人员发现,喝茶也能让人发生这种变化,但其作用仅限于女性。研究结果显示,经常喝茶的女性的确也出现了基因表达改变的现象,并且不少变异的基因与癌症和雌激素水平有关。
以下哪项如果为真,最能支持上述结论?
第一步,确定题型。
根据提问方式中的“支持”,确定为加强论证。
第二步,找论点和论据。
论点:喝茶能使基因表达发生改变,但其作用仅限于女性。
论据:经常喝茶的女性的确也出现了基因表达改变的现象,并且不少变异的基因与癌症和雌激素水平有关。
第三步,辨析选项。
A项:增加论据。通过正反对比进行加强。题干中谈到经常喝茶的女性基因表达发生改变,A选项表示不喝茶不饮茶的女性较少出现基因表达改变,通过对比加强喝茶与基因改变的联系,具有加强作用。
B项:无关选项。女性经常喝茶能减少炎症的发生,说的是喝茶和炎症的关系,论题不一致,排除。
C项:无关选项。常饮茶和常饮咖啡的女性雌激素水平有较大差异,常喝咖啡的女性雌激素水平如何、是否影响基因改变我们是不知道的,所以喝茶和饮咖啡比较是无效论证,排除。
D项:无关选项。女性和男性体内含有的激素水平不同,题干讨论的是喝茶对女性基因表达的改变,是对女性雌激素水平的纵向比较,与男性激素水平无关,排除。
因此,选择A选项。
某国针对本国本科毕业生的调查数据显示,该国的大多数本科毕业生为工学类,也有一部分本科毕业生为人文社科类,在这些毕业生中,大多数在毕业时就已经就业,只有少部分未就业。
由此一定可以推出的是:
第一步,确定题型。
根据题干特征,确定为分析推理。
第二步,分析题干。
①“大多数本科毕业生为工学类,也有一部分本科毕业生为人文社科类”;
②“在这些毕业生中,大多数在毕业时就已经就业,只有少部分未就业”
第三步,展开分析。
工学类毕业生>1/2毕业生;
毕业时就业的毕业生>1/2毕业生。
所以“工学类毕业生”与“毕业时就业的毕业生”必然存在重叠,可得出至少有一个工学类毕业生毕业时已就业,故C项一定为真。
因此,选择C选项。
日常生活中,摄像头几乎与我们如影随形。不同部门、单位甚至个人都安装了摄像头,出现了人们所到之处几乎处处都有摄像头的乱象。有专家指出,“摄像头乱象”的出现,主要原因是与视频监控系统管理相关的法律法规不健全、不完善,体现在使用主体的权限、设备的规格、监控人员的资质及素质要求、监控资料及数据的复制、传播等方面。因此,完善与视频监控系统管理相关的法律法规即可以解决“摄像头乱象”。
以下哪项如果为真,最能削弱上述结论?
第一步,确定题型。
根据提问方式中的“削弱”,确定为削弱论证。
第二步,找论点和论据。
论点:完善与视频监控系统管理相关的法律法规即可以解决“摄像头乱象”。
论据:“摄像头乱象”的出现,主要原因是与视频监控系统管理相关的法律法规不健全、不完善,体现在使用主体的权限、设备的规格、监控人员的资质及素质要求、监控资料及数据的复制、传播等方面。
第三步,辨析选项。
A项:加强论据。该项指出还存在着视频监控资料“未经合法程序”被复制、传播等现象,说明法律法规监管不严的现象的确存在,支持了论据的成立,具有加强作用。
B项:无关选项。该项阐述的是解决社会上其他问题,与“摄像头乱象问题”无关,论题不一致,排除。
C项:增加反向论据。该项指出对公共空间和个人空间的认识不清也是“摄像头乱象”产生的原因,那么仅仅完善法律法规是不够的,故完善与视频监控系统管理相关的法律法规“即”可以解决摄像头乱象问题不成立,具有削弱作用。
D项:无关选项。该项阐述的是视频监控系统的技术标准,与论点中如何解决“摄像头乱象”问题无关,论题不一致,排除。
因此,选择C选项。
F、G、H、J四个人是大学同学,他们都参加了研究生考试,但最后只有一个人考上了研究生。而其余三人分别成为了作曲家、高中老师和公务员。在研究生考试复习期间,有一天他们坐在一起预测大家将来的生活:
F说:G肯定不会成为作曲家;
G说:H肯定可以考上研究生;
H说:J不会成为公务员;
J预测他自己将来会娶一名外国妻子。
可是他们的预测中只有一个是正确的,且预测正确的那个人考上了研究生。
据此可以推断出以下哪项是错误的?
第一步,确定题型。
题干具有匹配特征,确定为分析推理,且本题为选非题。
第二步,分析条件,进行推理。
根据条件“他们的预测中只有一个是正确的,且预测正确的那个人考上了研究生”,由于不确定谁的预测正确,故本题采用假设法解题:
四人中G的预测中提到了“研究生”,故优先假设G;
假设G的说法正确,根据条件可知G考生了研究生,但是题干提到“只有一个人考上了研究生”,那么,G是研究生的话,与G的预测“H肯定可以考上研究生”冲突,故该假设不成立,G的预测错误;
G的预测错误,说明H没有考上研究生,那么H的预测也是错误的,即“J成为了公务员”,那么H就不能是公务员,本题为选非题,D项“H成为公务员”说法错误;
根据J是公务员,可知J的猜测也是错误的,可知“J并未娶外国人为妻”,A项说法正确,排除;
综上可知,只能F考生了研究生,B说法正确,排除;
F是研究生,说法正确,那么“G肯定不会成为作曲家”,结合J是公务员,那么G只能是高中老师,C项说法正确,排除。
因此,选择D选项。
在成功的道路上,所有捷径都是弯路,所有弯路都是必经之路。因此,依附强者并不是成功道路上的捷径。
补充以下哪项作为前提,可以使上述结论成立?
第一步,确定题型。
根据提问方式中的“前提”,确定为加强论证。
第二步,找论点和论据。
论点:依附强者并不是成功道路上的捷径,可以翻译为:依附强者→捷径。
论据:在成功的道路上,所有捷径都是弯路,所有弯路都是必经之路。可以翻译为:①捷径→弯路,②弯路→必经之路,①和②递推得到:③捷径→必经之路。
第三步,辨析选项。
A项:重复论据。该项可翻译为“捷径→必经之路”,重复论据不属于前提,排除。
B项:建立联系。该项可翻译为:依附强者→必经之路,与论据③递推后可得论点“依附强者→捷径”,该项建立了论据和论点之间的关联,属于前提。
C项:不明确项。该项可翻译为:弯路→捷径,和论据结合无法必然推出论点,不属于前提。
D项:不明确项。该项可翻译为:依附强者→弯路,和论据结合无法必然推出论点,不属于前提。
因此,选择B选项。
一项最新研究表明,火星表面可能包含着一种叫做高氯酸镁的有毒化合物,它在紫外线下能够摧毁细菌。在实验室里,研究人员将枯草杆菌放置在短波紫外线辐射下,其状况类似于火星表面。他们发现,在此状况下,高氯酸镁具有强杀菌性,使得枯草杆菌短短几分钟之内就失去生存能力。研究人员认为,这表明火星不适宜生命存活。
以下哪项如果为真,最能加强上述论证?
第一步,确定题型。
根据提问方式中的“加强”,确定为加强论证。
第二步,找论点和论据。
论点:火星不适宜生命存活。
论据:①一项最新研究表明,火星表面可能包含着一种叫做高氯酸镁的有毒化合物,它在紫外线下能够摧毁细菌。
②在实验室里,研究人员将枯草杆菌放置在短波紫外线辐射下,其状况类似于火星表面。他们发现,在此状况下,高氯酸镁具有强杀菌性,使得枯草杆菌短短几分钟之内就失去生存能力。
第三步,辨析选项。
A项:无关选项。仅表明“枯草杆菌是太空飞船中常见的细菌”,未涉及“枯草杆菌”与火星生命存在的关系,论题不一致,排除。
B项:无关选项。该项讨论的是地球自然界高氯酸镁的含量很低,与“高氯酸镁”对生命的影响情况无关,论题不一致,排除。
C项:增加论据。该项指出高氯酸镁对“生物体”健康有危害,解释说明“高氯酸镁”影响生命的原理,具有加强作用。
D项:无关选项。该项仅表明“氧化铁和过氧化氢”与“高氯酸镁”结合之后杀菌性增强,但未提及对火星是否适宜生命的影响,论题不一致,排除。
因此,选择C选项。
今年入夏以来,全球持续出现高温天气。对于高温天气产生的原因,一种观点认为,入夏以来,高温天气的出现是由全球气候变暖造成的。在全球气候变暖的大背景下,高温这样的灾害性天气会有增多的趋势。反对者则认为高温天气的出现并不一定是由全球气候变暖造成的,而是与大气环流特征的变化相关。大气环流特征的变化会导致多种极端天气频繁地发生,包括高温天气。
以下哪项如果为真,最能支持第一种观点?
第一步,确定题型。
根据提问方式中的“支持”,确定为加强论证。
第二步,找论点和论据。
论点:入夏以来,高温天气的出现是由全球气候变暖造成的。
论据:无。
第三步,辨析选项。
A项:增加反向论据。该项指出全球气候变暖是由大气环流特征变化导致的,进而说明大气环流特征导致了高温天气,而不是全球气候变暖导致了高温天气,具有削弱作用。
B项:无关选项。该项仅指出了高温天气具体的含义,未涉及高温天气和气候变暖之间的关系,论题不一致,排除。
C项:增加论据。该项指出全球气候变暖通过改变大气环流特征来改变高温等极端天气事件的强度和发生频率,说明了全球气候变暖导致高温天气的原理,具有加强作用。
D项:无关选项。该项指出高温天气的原因复杂,但未涉及高温天气和气候变暖之间的关系,论题不一致,排除。
因此,选择C选项。
2019年,我国电信业务收入累计完成金额1.31万亿元,固定通信业务收入完成4161亿元,同比增长9.5%,在电信业务收入中所占比重较上年提高2.6个百分点;移动通信业务实现收入8942亿元,同比减少2.9%。2014—2019年,全国移动电话4G及非4G基站数变化情况如下图所示:

2019年电信业务收入比2018年:
第一步,本题考查增长量计算中的已知现期量与增长率。
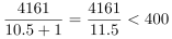
第二步,定位第一段可知,“2019年固定通信业务收入完成4161亿元,同比增长9.5%……移动通信业务实现收入8942亿元,同比减少2.9%”。
第三步,电信业务收入=固定通信业务收入+移动通信业务收入,
、
,根据增长量计算n+1原则以及减少量计算n-1原则,则2019年电信业务收入比2018年约增加
(亿元)。
因此,选择A选项。
2019年,我国电信业务收入累计完成金额1.31万亿元,固定通信业务收入完成4161亿元,同比增长9.5%,在电信业务收入中所占比重较上年提高2.6个百分点;移动通信业务实现收入8942亿元,同比减少2.9%。2014—2019年,全国移动电话4G及非4G基站数变化情况如下图所示:

2015—2019年,移动电话基站总量同比增速最快的年份是:
第一步,本题考查增长率计算比较。
第二步,定位柱状图。
第三步,移动电话基站总量=4G基站数+非4G基站数,则2014—2019年基站总数依次为:351、466、559、619、667、841万个,根据增长率
,2015年增长率为
、2016年增长率为
、2017年增长率为
、2019年增长率为
,根据分数性质(分子大且分母小的分数的值较大),2016年与2017年的增长率必然低于2015年,排除BC选项,AD选项量级一致,直除首位分别商3、2,故2015年增长率高于2019年。
因此,选择A选项。
2019年,我国电信业务收入累计完成金额1.31万亿元,固定通信业务收入完成4161亿元,同比增长9.5%,在电信业务收入中所占比重较上年提高2.6个百分点;移动通信业务实现收入8942亿元,同比减少2.9%。2014—2019年,全国移动电话4G及非4G基站数变化情况如下图所示:

2014—2019年,4G基站数占移动电话基站总量一半以上的年份有几个?
第一步,本题考查现期比重计算中的求比重。
第二步,定位柱状图。
第三步,移动电话基站总量=4G基站数+非4G基站数,当4G基站数>非4G基站数时,4G基站数占移动电话基站总量的一半以上,符合的有2017年(328>291)、2018年(372>295)、2019年(544>297)这三个年份。
因此,选择C选项。
2019年,我国电信业务收入累计完成金额1.31万亿元,固定通信业务收入完成4161亿元,同比增长9.5%,在电信业务收入中所占比重较上年提高2.6个百分点;移动通信业务实现收入8942亿元,同比减少2.9%。2014—2019年,全国移动电话4G及非4G基站数变化情况如下图所示:

假设4G基站数保持2019年同比增量不变,且由于5G技术的快速普及,2020年开始每年非4G基站同比增量均为300万个。问哪一年4G基站数占移动电话基站总量的比重将下降到50%以下?
第一步,本题考查现期量计算。
第二步,定位柱状图可知,2018年4G基站数为372万个,2019年4G基站数为544万个、非4G基站数为297万个。
第三步,移动电话基站总量=4G基站数+非4G基站数,当非4G基站数>4G基站数时,4G基站数占移动电话基站总量的一半以下,根据末期量=初期量+n×年均增长量,代入选项,当n=2时(即2021年),非4G基站数297+300×2=897(万个)>4G基站数544+(544-372)×2=888(万个),符合。
因此,选择A选项。
2019年,我国电信业务收入累计完成金额1.31万亿元,固定通信业务收入完成4161亿元,同比增长9.5%,在电信业务收入中所占比重较上年提高2.6个百分点;移动通信业务实现收入8942亿元,同比减少2.9%。2014—2019年,全国移动电话4G及非4G基站数变化情况如下图所示:

能够从上述资料中推出的是:
第一步,本题考查综合分析,且需选出正确的一项。
第二步,A选项,直接读数。定位文字材料“(2019年)固定通信业务收入完成4161亿元,同比增长9.5%,在电信业务收入中所占比重较上年提高2.6个百分点”,电信业务收入=固定通信业务收入+移动通信业务收入,即固定通信业务收入占比+移动通信业务收入占比=100%,可知移动通信业务收入占比较上年降低2.6个百分点,错误。
B选项,增长量计算。定位文字材料“(2019年)固定通信业务收入完成4161亿元,同比增长9.5%”,
,根据增长量计算n+1原则,可得
(亿元),错误。
C选项,简单比较。定位柱状图,2016年非4G基站数量(296万个)>2017年非4G基站数量(291万个),并非逐年递增,错误。
D选项,增长率和增长量计算。根据增长量=现期量-基期量,可得各年份4G基站数量同比增量分别为:2015年177-85<100,2016年263-177<100,2017年328-263<100,2018年372-328<100,2019年544-372>100,故增量最大的是2019年。根据增长率
=-1,可用“
”替代增长率进行比较,2015年
,2016年
,2017年
,2018年
,2019年
,故增速最大的是2015年,和增量最大的不是同一个年份,正确。
因此,选择D选项。
2019年,全国棉花产量588.9万吨,比上年减少21.3万吨。其中,新疆棉花产量500.2万吨,比上年减少10.8万吨;全国棉花种植面积为3339.2千公顷,比上年减少15.2千公顷。新疆的棉花种植面积比上年增加49.2千公顷。长江流域棉花种植面积比上年减少32.4千公顷,同比下降8.7%。黄河流域棉花种植面积比上年减少28.1 千公顷,同比下降6.2%。

2019年新疆棉花产量占全国总产量的比重比上年:
第一步,本题考查两期比重计算。
第二步,定位文字材料,“2019年,全国棉花产量588.9万吨,比上年减少21.3万吨。其中,新疆棉花产量500.2万吨,比上年减少10.8万吨”。
第三步,根据比重=
和基期量=现期量+减少量,将数据取整处理,则2019年新疆棉花占全国总产量的比重约为
≈84.9%>2018年的比重约为
≈83.8%,即上升,排除C、D选项。
第四步,2019年新疆棉花产量占全国总产量的比重比上年上升84.9%-83.8%=1.1%<5%,即2019年较去年上升了不到5个百分点。
因此,选择A选项。
2019年,全国棉花产量588.9万吨,比上年减少21.3万吨。其中,新疆棉花产量500.2万吨,比上年减少10.8万吨;全国棉花种植面积为3339.2千公顷,比上年减少15.2千公顷。新疆的棉花种植面积比上年增加49.2千公顷。长江流域棉花种植面积比上年减少32.4千公顷,同比下降8.7%。黄河流域棉花种植面积比上年减少28.1 千公顷,同比下降6.2%。

2018年除新疆外,全国其他地区棉花种植总面积在以下哪个范围内?
第一步,本题考查基期量和差计算。
第二步,定位文字材料,“(2019年)全国棉花种植面积为3339.2千公顷,比上年减少15.2千公顷。新疆的棉花种植面积比上年增加49.2千公顷”,定位表格材料,“2019年新疆棉花的种植面积为2540.5千公顷”。
第三步,根据基期量=现期量-增长量和基期量=现期量+减少量,将数据取整处理,则2018年新疆棉花的种植面积约为2541-49=2492(千公顷),2018年全国棉花种植面积约为3339+15=3354(千公顷)。
第四步,2018年除新疆外,全国其他地区棉花种植总面积约为3354-2492=862(千公顷),在800—900千公顷之间。
因此,选择C选项。
2019年,全国棉花产量588.9万吨,比上年减少21.3万吨。其中,新疆棉花产量500.2万吨,比上年减少10.8万吨;全国棉花种植面积为3339.2千公顷,比上年减少15.2千公顷。新疆的棉花种植面积比上年增加49.2千公顷。长江流域棉花种植面积比上年减少32.4千公顷,同比下降8.7%。黄河流域棉花种植面积比上年减少28.1 千公顷,同比下降6.2%。

2018年长江流域棉花种植面积约是黄河流域棉花种植面积的多少倍?
第一步,本题考查基期倍数计算。
第二步,定位文字材料,“(2019年)长江流域棉花种植面积比上年减少32.4千公顷,同比下降8.7%。黄河流域棉花种植面积比上年减少28.1千公顷,同比下降6.2%”。
第三步,根据基期量=
,将分子取整,则2018年长江流域棉花种植面积约为
千公顷,黄河流域棉花种植面积约为
千公顷,则所求倍数为
,直除首位商8。
因此,选择B选项。
2019年,全国棉花产量588.9万吨,比上年减少21.3万吨。其中,新疆棉花产量500.2万吨,比上年减少10.8万吨;全国棉花种植面积为3339.2千公顷,比上年减少15.2千公顷。新疆的棉花种植面积比上年增加49.2千公顷。长江流域棉花种植面积比上年减少32.4千公顷,同比下降8.7%。黄河流域棉花种植面积比上年减少28.1 千公顷,同比下降6.2%。

2019年棉花种植面积排名前7的省区中,棉花单产超过1吨/公顷的省区有几个?
第一步,本题考查现期平均数计算。
第二步,定位表格材料。
第三步,根据平均数=
,表格种植面积(千公顷)列,需转化为(万公顷),小数点整体往前挪一位(例如203.9转化为20.39),则
得到的数据单位为吨/公顷。又根据
>1,即要求产量(万吨)数据>面积(万公顷)数据即可。直接读数可得,满足的省区有河北、江西、山东、湖南、新疆,共5个省区。
因此,选择A选项。
2019年,全国棉花产量588.9万吨,比上年减少21.3万吨。其中,新疆棉花产量500.2万吨,比上年减少10.8万吨;全国棉花种植面积为3339.2千公顷,比上年减少15.2千公顷。新疆的棉花种植面积比上年增加49.2千公顷。长江流域棉花种植面积比上年减少32.4千公顷,同比下降8.7%。黄河流域棉花种植面积比上年减少28.1 千公顷,同比下降6.2%。

能够从上述材料中推出的是:
第一步,本题考查综合分析,且需选出正确的一项。
第二步,A选项,减少率计算。定位文字材料,“2019年,全国棉花产量588.9万吨,比上年减少21.3万吨”。根据减少率=
,数据做取整处理,可得2019年全国棉花产量降幅约为
≈3%,错误。
B选项,增长量计算。定位文字材料,“(2019年)全国棉花种植面积为3339.2千公顷,比上年减少15.2千公顷。新疆的棉花种植面积比上年增加49.2千公顷。长江流域棉花种植面积比上年减少32.4千公顷,同比下降8.7%。黄河流域棉花种植面积比上年减少28.1千公顷”。根据总增量=各个部分增量之和,可得全国棉花种植面积总增量=新疆棉花种植面积增量+长江流域棉花种植面积增量+黄河流域棉花种植面积增量+其他地区棉花种植面积增量,即-15.2=49.2-32.4-28.1+其他地区棉花种植面积增量,化简得其他地区棉花种植面积增量=-3.9(千公顷)<0,即其他地区棉花种植面积同比下降,正确。
C选项,两期平均数比较,定位文字材料,“(2019年)新疆棉花产量500.2万吨,比上年减少10.8万吨……新疆的棉花种植面积比上年增加49.2千公顷”,根据两期平均数比较口诀,分子的增速a>分母的增速b,平均数上升,反之,则下降。又根据平均数=
,根据材料可知,产量下降,即a<0;面积上升,即b>0,则a<b,2019年新疆棉花单产下降,错误。
D选项,求比重。定位文字和表格材料,“2019年,全国棉花产量588.9万吨”。解法一:根据比重=
,数据做取整处理,可得2019年,棉花种植面积排名前7的省区,棉花产量占全国总产量的比重约为
≈98%>95%,即不在90%—95%之间,错误。
解法二:根据部分量=整体量×比重,数据做取整处理,可得全国总产量的90%—95%的产量范围为:589×90%≈530到589×95%≈560之间。2019年,棉花种植面积排名前7的省区,棉花产量约为23+6+7+20+14+8+500=578>560,即不在90%—95%之间,错误。
因此,选择B选项。


2019年A地区住宿和餐饮业社会消费品零售额同比增量约占社会消费品零售总额同比增量的:
第一步,本题考查现期比重计算中的求比重(本质为增长贡献率计算)。
第二步,定位表格材料。
第三步,11.2%≈
,6.7%≈
,根据增长量计算的n+1原则,住宿和餐饮业同比增量为
,社会消费品零售总额同比增量为
。根据增长贡献率
,代入数据可得,
。
因此,选择B选项。


2019年上半年,A地区社会消费品零售总额超过500亿元的月份有几个?
第一步,本题考查简单和差计算。
第二步,定位图形材料。
第三步,2019年上半年为2019年1—6月,则各个月份社会消费品零售总额分别为:2019年1月,496亿元;2月,976-496=480(亿元);3月,1433-976=457(亿元);4月,1923-1433=490(亿元);5月,2491-1923=568(亿元);6月3077-2491=586(亿元)。超过500亿元的月份有5月和6月,共计2个。
因此,选择A选项。


2019年12月,A地区社会消费品零售总额同比增速约为:
第一步,本题考查混合增长率计算。
第二步,定位表格材料和图形材料。
第三步,2019年=2019年1~11月+2019年12月,根据混合增长率口诀,整体增速介于各个部分之间,偏向基数较大的一方,则2019年1~11月增速(6.3%)<2019年增速(6.7%)<2019年12月增速(r),排除A、B选项。且6.7%应更接近6.3%,无法排除其他选项,使用十字交叉法,2019年12月社会消费品零售总额约为6583-5925=658(亿元),用现期量近似替代基期量可得,
,则
,解得r≈10.3%。
因此,选择C选项。


将2019年2—4季度按A地区社会消费品零售总额环比增速从低到高排列,以下正确的是:
第一步,本题考查增长率计算比较。
第二步,定位表格材料和图形材料。
第三步,2019年各季度社会消费品零售总额分别为:1季度,1433亿元;2季度,3077-1433=1644(亿元);3季度,4779-3077=1702(亿元);4季度,6583-4779=1804(亿元)。根据增长率
,将数据从左向右截取前三位计算,则2—4季度,各季度的环比增速分别为:2季度,
;3季度,
;4季度,
,则从小到大排序为3季度<4季度<2季度。
因此,选择D选项。


关于A地区社会消费品零售总额情况,能够从上述资料中推出的是:
第一步,本题考查综合分析问题,且需选出正确的一项。
第二步,A选项,现期平均数计算。定位表格材料,“2019年批发和零售业额为5754.74亿元”,根据平均数
,代入数据可得2019年批发和零售业月均社会消费品零售总额为
,直除首位商4,不到500亿元,错误。
B选项,混合增长率计算。定位表格材料和图形材料,“2019年1—9月社会消费品零售总额同比增速为6.8%,1—12月同比增速为6.7%”,1—12月=1—9月+10—12月(即4季度),根据混合增速口诀,整体增速介于各部分增速之间,可知4季度同比增速<1—12月同比增速(6.7%)<1—9月同比增速(6.8%),即2019年4季度社会消费品零售总额同比增速低于全年同比增速,错误。
C选项,增长量做差比较。定位图形材料,2019年3—6月社会消费品零售总额分别为1433-976=457(亿元),1923-1433=490(亿元),2491-1923=568(亿元),3077-2491=586(亿元),根据增长量=现期量-基期量,可得4—6月环比增量分别为490-457=33(亿元),568-490=78(亿元),586-568=18(亿元),6月环比增量低于5月,并非逐月递增,错误。
D选项,基期量比较。定位图形材料,“2019年1月社会消费品零售总额496亿元,同比增长1.8%,1—2月社会消费品零售总额976亿元,同比增长5.5%”,可知2019年2月社会消费品零售总额为976-496=480(亿元),根据混合增速口诀,整体增速介于各部分增速之间,可知1月同比增速(1.8%)<1—2月同比增速(5.5%)<2月同比增速,即2月同比增速高于5.5%,根据基期量=
,可得2018年1月和2月社会消费品零售总额分别为
、
,前者分子大且分母小分数值大,则2018年2月社会消费品零售总额低于1月,正确。
因此,选择D选项。
您目前分数偏低,基础较薄弱,建议加强练习。