选高压断路器时,校验热稳定的短路计算时间为( )。
《3~110kV高压配电装置设计规范》(GB 50060—2008)第4.1.4条规定,验算导体短路电流热效应的计算时间,宜采用主保护动作时间加相应的断路器全分闸时间。当主保护有死区时,应采用对该死区起作用的后备保护动作时间,并应采用相应的短路电流值。验算电器短路热效应的计算时间,宜采用后备保护动作时间加相应的断路器全分闸时间。
本题中,高压隔离开关属于电器,因此校验其热稳定的短路计算时间宜采用后备保护动作时间与断路器全分闸(又称全开断)时间之和。
电源与负载均为星形连接的对称三相电路中,电源连接不变,负载改为三角形连接,则负载的电流有效值( )。
电源为星形接法,对于该系统来说,线电压就是

的相电压。假设电源线电压为380V,对于三角形接法的负载,它的三相绕组上的相电压和线电压都是380V;对于星形接法的负载,它的三相绕组的相电压是220V,线电压是380V。故负载由星形接法改为三角形接法,相电压增大,因此电流有效值也增大。
在线性电路中,下列说法错误的是( )。
叠加定理表明:在线性电路中,任一支路的电流或电压为每一独立电源单独作用于电路时在该支路所产生的电流或电压的叠加(代数和),因此选C项。
电路如图所示,受控电源是( )。

6Ω电阻上的电流I=12V/6Ω=2A,故受控电流源的电流为4I=8A,受控电流源两端电压为12V,故受控电流源的功率为P=UI=12V×8A=96W。
某线性电阻元件的电压为3V,电流为0.5A。当其电压改变为6V时,则其电阻为( )。
R=U/I=6Ω,普通电阻的阻值属于自身特性,与外界条件无关。也有特殊电阻,如压敏电压、频敏电阻等,其阻值随着电压与频率的变化而变化,应注意区分。
在直流RC电路换路过程中,电容的( )。
电容两端的电压是电荷积累的结果,电荷量不能突变,故换路时电容两端的电压也不能突变。

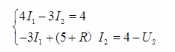
对该回路列网孔电流方程:

化简可得:

与题干所给方程对比,可得:R=4Ω,Us=2V。
用戴维南定理求图所示电路的I·时,其开路电压U·oc和等效阻抗Z分别是( )。

先求戴维南等效电路的内阻抗。将题图中独立电源置零(电流源开路,电压源短路),从电容两端应断开,从两端看进去的等效阻抗Req=j6Ω。
由KVL可知,开路电压Uoc=6-2×j6=(6-j12)V。
RLC串联电路中,

的特点是( )。

电路如图所示,其端口ab的输入电阻是( )。

在端口ab处加电压源U,设端口电流为I,则输入电阻为:Req=U/I。列写方程如下:U1=2U/5,I1=U/5,I2=(U-6U1)/6,解得I=I1+I2=-U/30,因此Req=-30Ω。
电力线的方向是指向( )。
电力线的方向指向电势降落的方向,即电位减小的方向。
某放大电路中,测得三极管三个电极的静态点位分别为0V、10V、9.3V,则这只三极管是( )。
硅管的正向压降为0.6~0.8V,锗管的正向压降为0.2~0.4V,由题干可得该三极管压降为0.7V,为硅管。晶体管工作于放大状态的外部条件是:发射结正偏,集电结反偏。三个电极的电位关系是:NPN型UC>UB>UE,PNP型UC<UB<UE。本题中UE=10V>UB=9.3V,因此,该三极管为PNP型。
电路如图所示,已知R1=10kΩ,R2=20kΩ,若ui=1V,则uo是( )


图所示电路,若RF1=R1,RF2=R2,R3=R4,则ui1、ui2的关系是( )。


图所示电路,已知

计算输出电压的平均值U0、流过负载的平均电流I0、流过整流二极管的平均电流ID、整流二极管承受的最高反向电压UDRM分别是( )。

该电路中含有RC滤波电路,使得整流后的直流输出波形更加平缓。电容滤波的单相不可控整流电路输出电压U0=1.2ui=1.2×25=30V。由于一个周期内流过电容的电流之和为0,故流过负载的平均电流等于流过电阻的平均电流,I0=U0/R=30V/200Ω=150mA。流过二极管的平均电流为:ID=I0/2=75mA。整流二极管承受的最大压降为:

图所示波形是某种组合电路的输入、输出波形,该电路的逻辑表达式为( )。


根据波形图,列真值表如题25解表:


逻辑电路图及相应的输入CP、A、B的波形分别如图所示,初始状态Q1=Q2=0,当RD=1时,D、Q1、Q2端输出的波形分别是( )。



首先分析D端输出,D的逻辑表达式为

故只有当A=B=1时,D=0,可排除B、D项。D触发器为边沿触发器,特征表如题28解表所示,输出Q只在时钟信号边沿改变,分析可得,A、C选项的Q1端输出均为正确的。对于第二个JK触发器,它的时钟信号与CP相反,当Q1=1时,输出Q2在每个时钟信号的下降沿翻转;当Q1=0时,输出Q2在时钟信号的下降沿变为0,可得A项正确。

图所示逻辑电路,设触发器的初始状态均为“0”。当RD=1时,该电路的逻辑功能为( )。

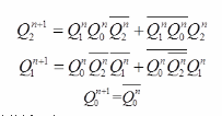
①组成:该电路由于CP端连在一起,因此是同步计数器;
②列写驱动方程:

③列写存储器状态方程:

④初始值为000,计数器CP释放脉冲后,计数循环为

故为同步六进制加法计数器。
中性点绝缘系统发生单相短路时,中性点对地电压( )。


内桥形式具有的特点是( )。
内桥与外桥接线的特点见题32解表,内桥属于双回路备用型接线,显然只有一条
线路故障,不需要断开桥断路器。

发电机、电缆和变压器归算至SB=100MVA的电抗标幺值如图所示,试计算图示网络中K1点发生三相短路时,短路点的三相短路电流为( )。

当K1点短路时,短路点总电抗标幺值:X∑*=X*T+X*L+X*S=6+2.7+0.2=8.9
三相短路电流有名值:

注:短路电流计算时,基准电压应取平均电压,即UB=1.05UN,UN为系统标称电压。
某厂有功计算负荷为5500kW,功率因数为0.9,该厂10kV配电所进线上拟装一高压断路器,其主保护动作时间为1.5s,断路器断路时间为0.2s,10kV母线上短路电流有效值为25kA,则该高压断路器进行热稳定校验的热效应数值为( )。
《3~110kV高压配电装置设计规范》(GB 50060—2008)第4.1.4条规定,验算导体短路电流热效应的计算时间,宜采用主保护动作时间加相应的断路器全分闸时间。当主保护有死区时,应采用对该死区起作用的后备保护动作时间,并应采用相应的短路电流值。验算电器短路热效应的计算时间,宜采用后备保护动作时间加相应的断路器全分闸时间,故t=1.5+0.2=1.7s,Q=I2t=252×1.7=1062.5。
高压负荷开关具备( )。
高压负荷开关是一种功能介于高压断路器和高压隔离开关之间的电器,高压负荷开关常与高压熔断器串联配合使用,用于保护和控制电气设备。高压负荷开关具有简单的灭弧装置,因此能通断一定的负荷电流和过负荷电流,但是它不能断开短路电流,所以它一般与高压熔断器串联使用,借助熔断器来进行短路保护。
一台25kW、125V的他励直流电动机,以恒定转速3000r/min运行,并具有恒定励磁电流,开路电枢电压为122V,电枢电阻为0.02Ω,当端电压为124V时,其电磁转矩为( )。
他励直流发电机的励磁方式接线图如题42解图所示。直流电动机的转速公式:n=(U-IaRa)/(CeΦ)。由于开路时电枢电流Ia=0可知:CeΦ=U/n=125/3000=0.0417。端电压取124V时,因励磁电流不变,磁通不变,故电枢电压Ea不变,由U=Ea+RaIa,则Ia=(124-122)/0.02=100A。由转矩常数公式CT=9.55Ce,电磁转矩Tem=CTΦIa=9.55CeΦIa=9.55×0.0417×100=39.8N·m。

三相异步电动机等效电路中等效电阻

上消耗的电功率为( )。

110/10kV降压变压器,折算到高压侧的阻抗为(2.44+j40)Ω,最大负荷和最小负荷时流过变压器的功率分别为(28+j14)MVA和(10+j6)MVA,最大负荷和最小负荷时高压侧电压分别为110kV和114kV,当低压母线电压在10~11kV范围时,变压器分接头为( )。
最大负荷和最小负荷时变压器的电压损耗:
ΔUTmax=(PR+QX)max/U1max=(28×2.44+14×40)/110=5.712kV;
ΔUTmin=(PR+QX)min/U1min=(10×2.44+6×40)/114=2.319kV。
最大负荷时低压母线电压为10kV,最小负荷时低压母线电压为11kV,则:
U1Tmax=(U1max-ΔUTmax)/U2max×U2N=(110-5.712)/10×10=104.288kV;
U1Tmin=(U1min-ΔUTmin)/U2min×U2N=(114-2.319)/11×10=101.528kV。
U1T·av=(U1Tmax+U1Tmin)/2=(104.288+101.528)/2=102.908kV,(102.908-110)/110=-6.4%,故分接头取最接近的-5%。
相对地电压为220V的TN系统配电线路或仅供给固定设备用电的末端线路,其间接接触防护电器切断故障回路的时间不宜大于( )。
《民用建筑电气设计规范》(JGJ 16-2008)第7.7.5-1条规定,对于相导体对地标称电压为220V的TN系统配电线路的接地故障保护,其切断故障回路的时间应符合下列要求:对于配电线路或仅供给固定式电气设备用电的末端线路,不应大于5s。
一台Yd连接的三相变压器,额定容量SN=3150kVA,U1N/U2N=35kV/6.3kV,则二次侧额定电流为( )。

同步发电机的短路特性是( )。
短路特性可由三相稳态短路试验测得。将被试同步发电机的电枢端点三相短路,用原动机拖动被试发电机到同步转速,调节励磁电流If,使电枢电流Ik从零起一直增加到1.2IN左右,便可得到短路特性曲线Ik=f(If),如题51解图所示。

一台三相变压器,Yd连接,U1N/U2N=35kV/6.3kV,则该变压器的变比为( )。
在变压器中,一、二次绕组电动势之比称为变压器的变比K,K=E1/E2=4.44fN1Φm/(4.44fN2Φm)=N1N/N2N,也可近似看作是变压器空载时的一、二次电压之比,即K=N1N/N2N=E1/E2≈U1/U2=35/6.3=5.56。
一35kV的线路阻抗为(6+j8)Q,输送功率为(10+j8)MVA,线路始端电压为38kV,要求线路末端电压不低于36kV,其补偿容抗为( )。
设补偿容抗为X,由题意得线路电压降落最大为38-36=2kV,根据电压降落公式:ΔU=(PR+QX)/U,代入数据得:2=[10×6+8×(8+X)]/38,解得:X=6Ω。
一容量为63000kVA的双绕组变压器,额定电压为(121±2×2.5%)kV,短路电压百分数Uk%=10.5,若变压器在-2.5%的分接头上运行,基准功率为100MVA,变压器两侧基准电压分别取110kV和10kV,则归算到高压侧的电抗标幺值为( )。
变压器-2.5%分接头上运行,则额定电压UN=121×(1-2.5%)=117.975kV,根据电抗标幺值公式得:

线路首末端电压的代数差为( )。
概念辨析:
①电压偏移:线路始端或末端电压与线路额定电压的之差,用百分数表示;
②电压损失:指线路首末段电压的代数差,是一个标量;
③电压降落:线路首末两端电压的向量差。
电路如图所示,已知RL=4Ω时,电流IL=2A。若改变RL,使其获得最大功率,则RL和最大功率Pmax分别是( )。

对该电路进行戴维南等效:①将Us1和与其串联的2Ω电阻等效为Us1/2的电流源与2Ω电阻并联,两个2Ω电阻并联阻值为1Ω;②将Us1/2的电流源和与其并联的1Ω电阻等效为Us1/2的电压源与1Ω电阻串联;③最终该电路等效为一个(Us1/2-Us2)的电压源和一个2Ω电阻串联(如题7解图所示)。当RL=4Ω时,电流IL=2A,可得Us1/2-Us2=IL×(RL+2)=12V。当负载电阻等于电源等效电阻2Ω时,负载获得最大功率P=U2/(4RL)=12×12/(4×2)=18W。

电路如图所示,换路前电路已达到稳态。已知UC(0-)=0,换路后的电容电压UC(t)为( )。


换路前,电容电压:UC(0-)=UC(0+)=0V;
当S闭合时,电阻电压U1发生跃变,由KCL得到电压源回路电流:IZ=U1/4+2U1=9U1/4。
再由KVL得到:10=4IZ+U1=9U1+U1=10U1,解得:U1=1V,则UC(∞)=U1-2×2U1=-3U1=-3V。

RC串联电路,当角频率为ω时,串联阻抗为(4-j3)Ω,则当角频率为3ω时,串联阻抗为( )。
阻抗中的电阻值不随频率变化而变化,容抗1/(jωC)与频率成反比,角频率为1ω时,容抗为-j3Ω,故角频率为3ω时,容抗为-jΩ。综上,角频率为3ω时,串联阻抗为(4-j)Ω。
在磁路中,对应电路中电流的是( )。
在电路中,用欧姆定律表示电流、电阻和电压之间的关系,对应到磁路中,用磁路欧姆定律来表示磁通、磁阻和磁势之间的关系。
磁感应强度B的单位为( )。
在国际单位中,磁感应强度的单位是特斯拉(T),磁通量的单位是韦伯(Wb),电荷量的单位是库仑(C),电流的单位是安培(A)。
研究宏观电磁场现象的理论基础是( )。
研究电磁场的理论基础是麦克斯韦方程组,麦克斯韦方程组是詹姆斯·麦克斯韦在19世纪建立的一组描述电场、磁场与电荷密度、电流密度之间关系的偏微分方程。
在恒定电场中,电流密度的闭合面积分等于( )。
电流连续性原理表明:在恒定电场中,从任一封闭面或点流出的电流的代数和为零,或流进的电流等于流出的电流,表达式为:

无限大真空中,一半径为a(a<<3m)的球,内部均匀分布有体电荷,电荷总量为q,在距离其3m处会产生一个电场强度为E的电场,若此球体电荷总量减小一半,同样距离下产生的电场强度应为( )。
由高斯定理:

可得,在电荷不变,距离的情况下,减小带电量为之前的一半,电场强度也变为原来的一半。
图所示电路中二极管为硅管,电路输出电压U0为( )。

首先假定D1和D2均不开通,那么D1的电位差为7V,D2的电位差为10V,不符合。假设D2先开通,开通后,阴极为0V,阳极为0.7V,此时D1阳极为0.7V,阴极为3V,故D1不开通,U0=0.7V。
图所示的射极输出器中,已知Rs=50Ω,RB1=100kΩ,RB2=30kΩ,RE=1kΩ,晶体管的β=50,rbe=1kΩ,则放大电路的Au、r1和r0分别是( )。


显示译码管的输出abcdefg为1111001,要驱动共阴极接法的数码管,则数码管会显示( )。
数码管段组合图如题26解图1所示,共阴极数码管原理图如题26解图2所示,分析可得abcdefg为1111001时,abcd段和g段均被点亮,数码管显示的是数字3。

电路如图所示,则该电路实现的逻辑功能是( )。

根据逻辑电路图写出真值表如题27解表所示,可知L1:FB=0,L2:FAB=1,L3:FA=0,故该电路实现比较器功能。

图所示电路,集成计数器74LS160在M=1和M=0时,其功能分别为( )。

74LS160为同步十进制计数器,当为低电平时,将D3、D2、D1、D0置入计数器。当M=1时,初始值为0100,计数器根据CP脉冲开始计数,0100→0101→0110→0111→1000→1001,当计数到1001时Q3和Q0经与非门使得LD=0,则计数器将初始值0100置数到输出端,进行下一轮计数,因此当M=1时为六进制计数器。当M=0时,初始值为0010,计数器根据CP脉冲开始计数,0010→0011→0100→0101→0110→0111→1000→1001,当计数到1001时Q3和Q0经与非门使得,则计数器将初始值0010置数到输出端,继续进行下一轮计数,因此当M=0时为八进制计数器。
某型电流互感器的额定容量为20VA,二次电流为5A,准确等级为0.5,其负荷阻抗的上限和下限分别为( )。
电流互感器的负载容量一般要求在额定负载容量的25%~100%范围内。因此,负荷阻抗上限Znmax=S2r/I2=20/52=0.8Ω;负荷阻抗下限Znmin=25%×S2r/I2=25%×20/52=0.2Ω。
电压互感器采用两相不完全星形接线的方式,若要满足二次侧线电压为100V的仪表的工作要求,所选电压互感器的额定二次电压为( )。

电压互感器的额定电压选择见题34解表。电压互感器采用两相不完全星型接线方式时,只能用于测量线电压,因此其额定二次电压为100V。

对于单母线带旁路母线接线,利用旁路母线检修处线回路断路器,不停电的情况下( )。
单母线分段带旁路接线如题35解图所示,其优点是单母线接线的结构简单,由于增设了分段断路器,就减少了母线故障停电范围,提高了供电可靠性,且由于增设了旁路母线,所以当出线断路器检修时,该线路仍能继续供电不停电。

电流互感器的选择和校验条件不包括( )。
《电流互感器和电压互感器选择及计算规程》(DL/T 866—2015)第3.2.1条规定,电流互感器的额定一次电压不应小于回路的额定一次电压。第3.3.2条规定,电流互感器的额定一次电流应根据其所属一次设备额定电流或最大工作电流选择。第3.2.8条规定电流互感器额定动稳定电流应满足一定条件。电流互感器不是断路器,没有开断能力。
避雷器的作用是( )。
避雷器是用于保护电气设备免受雷击时高瞬态过电压危害,并限制续流时间,也常限制续流幅值的一种电器。避雷器有时也称为过电压保护器,过电压限制器。
某发电机的主磁极数为4,已知电网频率f=60Hz,则其转速应为( )。
根据同步发电机的转速公式:n=60f/p,其中p为主磁极对数。本题中2p=4,故p=2,代入公式得:n=(60×60)/2=1800r/min。
一台额定频率为60Hz的三相感应电动机,用频率为50Hz的电源对其供电,供电电压为额定电压,启动转矩变为原来的( )。
感应电机的转矩方程为:

电源电压为额定电压时,转矩与电源频率成反比。因此,当频率由原来的60Hz变为50Hz时,转矩变为原来的6/5倍。
当励磁电流小于正常励磁电流值时,同步电动机相当于( )。
同步电动机的V形曲线如题47解图所示,当励磁电流小于正常励磁电流(欠励)时,电枢电流将出现一个滞后的无功电流分量,电动机的功率因数cosφ滞后,即同步电动机相当于感性负载。

10kV中性点不接地系统,在开断空载高压感应电动机时产生的过电压一般不超过( )。
《交流电气装置的过电压保护和绝缘配合设计规范》(GB/T 50064—2014)第4.2.9条规定,当采用真空断路器或采用截流值较高的少油断路器开断高压感应电动机时,宜在断路器与电动机之间装设旋转电机用MOA或能耗极低的RC阻容吸收装置。
在开断高压感应电动机时,因断路器的截流、三相同时开断和高频重复击穿等会产生过电压(后两种仅出现于真空断路器开断时)。过电压幅值与断路器熄弧性能、电动机和回路元件参数等有关。开断空载电动机的过电压一般不超过2.5p.u.。开断起动过程中的电动机时,截流过电压和三相同时开断过电压可能超过4.0p.u.,高频重复重击穿过电压可能超过5.0p.u.。高压感应电动机合闸的操作过电压一般不超过2.0p.u.,可不采取保护措施。
第3.2.2-2条规定,谐振过电压和操作过电压与系统最高电压的关系为:

开断空载电动机的过电压为:2.5p.u.=2.5×9.8=24.5kV。
同步电动机输出的有功功率恒定,可以调节其无功功率的方式是( )。
当励磁电流大于正常励磁电流(过励)时,为保持电枢绕组的总磁通不变,除有功电流外,电枢电流还将出现超前的去磁无功电流分量,因此电枢电流将较正常励磁时大,电动机的功率因数为超前的。反之,当励磁电流小于正常励磁电流(欠励)时,电枢电流将出现一个滞后的无功电流分量,此时电枢电流也应比正常励磁时大,功率因数则为滞后的。因此,通过改变励磁电流的大小可以调节无功功率。
三相异步电动机拖动恒转矩负载运行,若电源电压下降10%,设电压调节前、后的转子电流分别为I1和I2,则I1和I2的关系是( )。
电磁转矩的表达式为Tem=CTΦ0I2′cosφ2,式中,CT为转矩常数,CT=4.44/(2π)·3pN1KN1,对于已制成的电动机,CT为一常数;I2n′为转子绕组电流有功分量,I2n′=I2′cosφ2。
由此可见,异步电动机电磁转矩数值与主磁通Φ0蛾和转子绕组电流有功分量I2n′成正比,这也说明异步电动机的电磁转矩是由电流有功分量相互作用产生的,故当拖动恒转矩负载运行时,转子电流不变。
绕线式异步电机起动时,起动电压不变的情况下,在转子回路接入适量三相阻抗,此时产生的起动转矩将( )。
感应电动机接至电源开始起动(s=1)时的电磁转矩称为最初起动转矩,最初起动转矩公式为:

可以看出,接入适量三相阻抗后,最初起动转矩随之增大。
变压器空载电流小的原因是( )。
变压器的空载是指变压器的一次绕组接入电源,二次绕组开路的工作状态。此时,一次绕组中的电流称为变压器的空载电流。空载时变压器的励磁阻抗Zm远大于绕组阻抗Z0,空载电流I0=U1N/Zm很小。
一台三相笼形异步电动机的数据为PN=43.5kW,UN=380V,nN=1450r/min,IN=100A,定子绕组采用Y-△形接法,Ist/IN=8,Tst/TN=4,负载转矩为345N·m。若电动机可以直接起动,供电变压器允许起动电流至少为( )。
感应电机采用“Y-△”起动方法,最初起动电流减小至Ist/3,因此供电变压器允许起动电流至少为1/3×7×100=233.3A。
您目前分数偏低,基础较薄弱,建议加强练习。