WWW的中文名称为:
提示:WWW的中文名称是环球信息网。
下列物质中,两个氢原子的化学性质不同的是:
乙炔:CH≡CH,甲酸:HCOOH,甲醛:HCHO,乙二酸:HOOC-COOH,B的两个H原子,一个连在C原子上,一个连在O原子上,性质不同,其他分子的H原子位置完全一样,性质相同,故答案为B。
根据《建筑法》的规定,工程监理单位与承包单位串通,为承包单位谋取非法利益,给建设单位造成损失的,法律后果是( )。
监理单位与承包商之间是监理与被监理的关系,二者必须是独立的,工程监理单位与被监理工程的承包单位以及建筑材料、建筑构配件和设备供应单位不得有隶属关系或者其他利害关系。
一元流动是指( )。
一元流定义。
普通完整井的出水量( )。

某元素的最高氧化值为+6,其氧化物的水化物为强酸,而原子半径是同族中最小的,该元素是( )。
提示:Mn价电子构型:3d54s2; Cr价电子构型:3d54s; Mo价电子构型:4d55s; S 价电子构型:3s23p4。最高氧化值为+6,说明价电子构型上共有6个电子, 而原子半径是同族中最小的,又说明该元素位于同族中的最上方。只有Cr 符合条件。
苯乙烯与丁二烯反应后的产物是( )。
丁苯橡胶是由1,3-丁二烯和苯乙烯加聚而成的。
下列各系列中,按电离能增加的顺序排列的是( )。
电离能是指原子失去一个电子需要吸收的能量,原子越容易失去电子,则该原子的电离能越小。A项,Li、Na、K属于同族元素,随着原子序数增加,原子越容易失去一个电子,电离能减小;B项,B、Be、Li属于同周期元素,随着原子序数减小,原子更容易失去一个电子,电离能减小;C项,O、F、Ne属于同周期元素,随着原子序数增加,原子核对核外电子的束缚能力增加,原子的电离能增加;D项,N、P、As属于同族元素,电离能减小,C的电离能大于N的电离能,所以C、P、As的电离能减小。
两明渠均匀流,流量相等,且断面形状尺寸、水深都相同,A的粗糖系数是B的2倍,渠底坡度A是B的几倍?( )

在如图7-72所示的RS触发器,设Q的初始状态为1,当输入X信号后,输出Q为()。

正确答案是C。
提示:任何触发器当没有CP脉冲时,都保持原状态。
若级数
发散,则
的敛散性为( )。
提示:
有相同的敛散性。
如图4-59所示(1)、(2)系统中的均质圆盘质量、半径均相同,角速度与角加速度分别为ω1、ω2和α1、α2,则有( )。

提示:根据动量矩定理。
细长压杆,若其长度L增加1倍,则临界压力Fcr的变化为( )。
提示:临界力与长度的平方成反比。
图2-6中(a)、(b)、(c)各表示连接在一起的两个循环过程,其中(c)图是两个半径相等的圆构成的两个循环过程,图(a) 和(b)则为半径不等的两个圆,那么( )。

提示:顺时针为正循环,功为正,逆时针为逆循环,功为负;比较图(a)、图(b)和图(c)面积大小即可判断出正确答案。
基准收益率与财务净现值的关系是( )。

可使任何反应达到平衡时增加产率的措施是( )。
提示:升高温度对反应平衡的影响与反应热效应有关,只有吸热的反应,平衡才 能正向移动,加压平衡向着气体分子数减少的方向移动,加催化剂对平衡没有影响,凡增加反应物浓度,均可使反应向正向移动,增加产率,而与反应的其他条件无关。
图6-16所示一高压喷嘴,喷嘴出口断面1-1的平均流速为10m/s,喷至2-2断面的平均流减少为1m/s,不计水头损失,则喷射高度H为( )m。

提示:列1-1,2-2两断面能量方程
计算机的CPU包括()。
正确答案是C。
提示:CPU是控制器、运算器和寄存器的集成体。
如图5-26所示梁,当力偶Me的位置在梁的AB段内改变时,有下列结论正确的为( )。
提示:集中力偶只影响弯矩图,当有集中力偶作用时弯矩图发生突变。
在Windows中,在桌面的图标[我的电脑]是()。
正确答案是B。
受力情况相同的三种等截面梁,如图5-34所示。若用(σmax)1、 (σmax)2、(σmax)3分别表示这三种梁内横截面上的最大正应力,则下列结论中正确的是( )。

提示:截面(1)和截面(2)弯曲截面系数相同,截面(3)弯曲截面系数较小。
不经计算,通过直接判定得出图4-27所示桁架中内力为零的杆数为( )。

提示:应用零杆的判断方法,分别分析节点E、C、G、A。
在IP协议中用来进行组播的IP地址是()地址。
正确答案是A。
提示:在TCP/IP协议中,将IP分成5类。其中:A、B、C类地址作为单目标传送地址;E类地址保留,以备将来的特殊用途;而D类地址作为组播地址。
三个容器A、B、C中装有同种理想气体,它们的分子数密度之比为nA:nB:nC=4:2:1 ,而分子的方均根速率之比为
,则其压强之比 pA:pB:pC 为( )。

Internet网上的服务都是基于某种协议,Web服务是基于()协议。
正确答案是C。
提示:HTTP协议(Hyper text Transfer Protocol超文本传输协议)是用于WWW服务器传输超文本到本地浏览器的传输协议。它可以使浏览器更加高效,使网络传输减少。
关于社会折现率的说法正确的是( )。
提示:社会折现率是指代表社会资金被占用应获得的最低收益率;经济内部收益 率大于社会折现率时项目可行;基准收益率是衡量项目财务内部收益率的 基准值;社会折现率是从国家角度对资金时间价值的估量
三相正弦交流电路如图7-25所示,对称负载接成三角形,己知电源电压UL=220V,每相阻抗Z=15+j16.1(Ω),当AB相断路时,电流表的读数是()A。

正确答案是A。
提示:分析线、相电流关系。
为了解决计算机CPU处理速度快,外设速度慢的矛盾,计算机采用了()技术。
正确答案是B。
提示:计算机采用中断技术,解决了CPU与外设的运行速度问题,可使计算机与多台外设同时工作,以提髙计算机系统的整体工作效率。
在对一产品进行价值工程分析的过程中,得到该产品的四个功能甲、乙、丙、丁 的价值系数分别为0.7、0.8、1.1、1.2,由此可得价值工程的改进对象应选择( )。
如果计算机字长是8位,那么用补码表示最大有符号定点整数的范围是()
正确答案是D。
提示:根据补码的描述得到。
用同一材料制成的空心圆轴和实心圆轴,若长度和横截面面积均相同,则扭转刚度较大的为()。
提示:相同面积空心截面比实心截面极惯性矩大。
设3阶矩阵
,已知A的伴随矩阵的秩为1,则a=( )。
提示:由A的伴随矩阵的秩为1知A的行列式为零,由

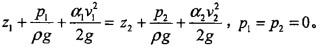
如图6-4所示,用U形水银压差计测量水管A、B两点的压强差,水银面高hp=10cm, A、B两点压强差为( )kPa。

提示:液体静压基本方程。
如图5-45所示二梁弯曲刚度EI相同,载荷q相同,则下列4种关系中,正确的为( )。

提示:支座A端的约束反力等于零,两梁内力相同,但梁(b)A端位移等于零。
二次型f(x1,x2,x3)=(λ-1)x12+λx22+(λ+1)x32,当满足( )时,是正定二次型。
提示:二次型f(x1,x2,x3)正定的充分必要条件是它的标准形的系数全为正,故 λ-1>0且λ>0且λ+1>0,所以λ>1,应选C。
梁受力如图5-24所示,在B截面处为()。

提示:集中力作用处剪力图有突变,弯矩图有尖角。
节能产品的生产者、销售者,可以根据( ),按照国家有关节能产品认证的 规定;向经国务院认证认可监督管理部门认可的从事节能产品认证的机构提出节能产品认证 申请。
如图5-65所示直杆,其材料相同,截面和长度相同,支承方式不同,在轴向压力作用下,哪个柔度最大,哪个柔度最小?( )

提示:细长杆的柔度在材料、截面和长度不变的情况下,支撑越牢靠柔度越小。
若f(x)为可导函数,且已知f(0) = 0,f'(0) = 2,则
的值为()。
提示:利用积分上限函数求导和洛必达法则。
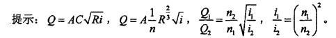
研究锥管阻力的模型实验,原型进出口直径分别为1m和2m,管长0.5m,则模型管锥顶角为 ()。
提示:绘制锥管简图即可,原形与模型几何相似,对应角度相等。
已知
,某原电池的两个半电池都由AgNO3溶液和银丝组成, 其中一个半电池的c(Ag+)=1.0mol/L,另一半电池的c(Ag+)=0.1mol/L,将二者连通后,其电动势为()。

压强为p、体积为V的氢气(视为刚性分子理想气体)的内能为( )。
提示:
氢气的自由度为5,故选A。
关于改扩建项目经济评价的特点中,下列说法正确的是( )。
提示:“有项目”情况下,不再利用的原有固定资产只要不处理(报废或变卖), 就仍然是固定资产的一部分,但是不能提取折旧,因而导致新增折旧不等 于新增固定资产的折旧新增折旧是指“有项目”折旧与现状折旧的差额, 它等于新增固定资产的折旧减去不再利用的原有固定资产本来应该计提 的折旧只有在原有固定资产全部利用的情况下,这两个数值才相等
CPU中运算器的主要功能是()。
正确答案是B。
提示:运算器的作用是进行算术和逻辑运算,控制器的作用是分析指令并发出相应的控制信号。
如图7-28所示三相对称三线制电路中,线电压为380V,且各负载Z=R=22Ω。此时功率表读数为()W。

正确答案是A。

某空调器的温度设置为25℃,当室温超过25℃后,它便开始制冷,此时红色指示灯亮,并在显示屏上显示“正在制冷”字样,那么()。
正确答案是C。
若函数f(x,y)在闭区域D上连续,下列关于极值点的陈述中正确的是( )。
提示:如果P0是可微函数f(x,y)的极值点,由极值存在必要条件,在P0点处有
建设项目经济评价的计算期是指( )。
提示:建设项目经济评价的计算期是指建设期和生产经营期
如图7-69所示,时钟到来后,JK具有()功能。

正确答案是A。
提示:从图7-69中可看到,与非门一端输入接低电平,输出始终为1,故J=K=1,所以JK触发器具有计数功能。
下列措施中不能提高产品价值的是( )。
提示:由可得,当功能F不变时,提高成本C,则产品的价值V将降低
分别在四杯100cm3水中加入5g乙二酸、甘油、季戊四醇、蔗糖形成四种溶液, 则这四种溶液的凝固点( )。
根据分子量和电离综合考虑,C中粒子浓度最大,根据拉乌尔定律,C的凝固点最低。
答案:C
在如图7-7所示电路中,当未接10V理想电压源时,I=5A,接入后,I将变为( )A。

确答案是D。
提示:叠加原理。
图5-56所示空心立柱,横截面外边界为正方形,内边界为圆形(两图形形心重合)。 立柱受沿图示a-a线的压力作用,该柱变形为( )。
提示:将力F移到横截面形心,得到一个力和一个力偶,力产生轴向压缩变形。 力偶引起弯曲,因为正方形截面过形心的任意轴都是主轴,所以力偶引起平面弯曲。
在铜锌原电池的铜电极一端的电解质溶液中加入氨水后,其电动势将( )。
提示:加入氨水后,由于铜离子形成铜氨配离子,铜电对(作正极〉的电极电势下降,电动势减少。
如图5-32所示,T形截面的梁,两端受力偶矩M。作用。以下结论错误的为( )。

提示:考虑中性轴位置。
如图7-21所示电路,u=141sin(314t-30°)V,i=14.1sin(314t-60°)A,这个电路的有功功率P等于()W。

正确答案是B。
提示:U=1OOV,I=10A,Φ=-30°-(-60°)=30°,则P=UIcosΦ=866W。
( )是在确定性分析的基础上,通过计算不确定性因素变化导致项目经济评 价指标的变化幅度,判断项目预期目标受各个不确定性因素变化的影响程度,评价项目风险 状况。
电路如图7-18所示,已知I1=I2=1A,总电流I=()A。

正确答案是C。
提示:利用电阻与电容并联支路的电流相位关系求解。
如图7-34所示电路中,换路前处于稳态,换路后iR(0)等于()A。

正确答案是B。
提示:电感上的电压不能突变。
关于项目总投资,说法正确的有( )。
由开关组成的电路如图7-64所示,设开关合上为“1”,断开为“0”;电灯亮为“1”,灭为“0”。则该电路的逻辑关系是()。

正确答案是C。
提示:由电路可知,只有开关A合上,并且开关B和C有一个合上,HL才亮。
某放大电路的微变等效电路如图7-54所示,已知:RB=82kΩ,Rc=5.6kΩ,rbe=4.2kΩ,RL=22KΩ,电路的输入电阻ri和输出电阻r0分别为()。

正确答案是C。
提示:电流源内阻很大,故输出阻抗等于RC,选项A、C符合;输入阻抗为RB//rbe,应小于4.2kΩ。
模拟信号是()。
正确答案是D。
提示:从对象发出的物理形态各异的信号,必须转成统一的电信号,即模拟信号的形式,才便于传输和处理。
国家实行有利于节能和环境保护的产业政策,( ),发展节能环保型产业。
如图5-29所示梁的受载情况对于中央截面C为反对称。FSC和MC分别表示中央截面C的剪力和弯矩,则下列结论正确为( )。

提示:利用对称反对称关系。荷载反对称,剪力图对称,弯矩图反对称。
点在平面内的运动方程为
,则其轨迹为( )。
提示:将两个运动方程平方相加。
在单缝夫琅和费衍射实验中,若单缝两端处的光线到达屏幕上某点的光程差为 δ=2.5λ (λ为入射单色光的波长),则此衍射方向上的波阵面可划分的半波带数量和屏上该点的衍射条纹情况是( )。
提示:δ =2.5λ= (2x2 + 1)λ/2,单缝衍射明纹条件。
设A为n阶方阵,且 A =a≠0,则 An 等于( )。

在下列各种化合物中,分子间有氢键的是( )。
提示:分子中含有N—H、O—H、F—H键的化合物,含有氢键。
重力大小为W的物块能在倾斜角为粗糙斜面上下滑,为了维持物块在斜面上平衡,在物块上作用向左的水平力FQ (图4-30)。在求解力FQ的大小时,物块与斜面间的摩擦力F方向为( )。

提示:维持物块平衡的力FQ的大小可在一个范围内,求FQmax时摩擦力F向下,求FQmin时摩擦力F向上。
带有不平行两槽的矩形平板上作用一力偶M,如图4-16所示。今在槽内插入两个固定于地面的销钉,若不计摩擦则有( )。

提示:A、B处的约束力均垂直于槽壁,不能组成一力偶。
原子序数为25的元素,其+2价离子的外层电子分布为( )。
提示:25号元素原子的电子分布式为1s22s22p63s23p63d54s2,其+2价离子的电子分布式为1s22s22p63s23p63d5,故其+2价离子的外层电子分布式为3s23p63d5。
如图6-26所示,四孔口,其流量系数由大到小的排列为( )。

提示:分析收缩的性质。
在计算机中,断电后失去信息的存储器是()。
正确答案是A。
提示:随机存储器的特点是可以读写数据;掉电后信息丢失。其他存储器掉电后信息仍然保留。
两孔口形状、尺寸相同,一个是自由出流,出流量为Q1;另一个是淹没出流,出 流量为Q2,两者作用水头相同则Q1、Q2的关系为( )。
提示:两者流量公式相同,系数相同。
一定轴转动刚体,其转动方程为
,其中a、b均为常数,则知该刚体做( )。
提示:将转动方程对时间求一、二阶导数,得到ω与α同符号。
因环境污染损害赔偿提起诉讼的时效期间( )年。
光滑铜管内径d=10mm,平均流速1m/s,流体的运动黏性系数为1x10-6m2/s,则 其沿程损失系数是( )。
提示:先计算Re数,处于紊流光滑区,用布拉休斯公式λ=0.3164/Re0.25。
设齐次方程组
,当方程组有非零解时,k值为( )。
提示:由条件知,齐次方程组有非零解,故系数行列式等于零,
进行大坝溢流模型实验,几何比尺λ1= 100 ,原型流量100m3/s,模型流量为( )L/s。

一束波长为λ的平行单色光垂直入射到一单缝AB上,装置如图2-14所示。在屏幕上D形成衍射图样,如果P是中央亮纹一侧第一个暗纹所在的位置,则
的长度为 ( ),


如果两个局域网运行的网络操作系统不同,为了将它们互联,则需配置()。
正确答案是B。
提示:不同的操作系统互联于局域网,需要用网关连接。
下列关于曲面方程的结论中,错误的是()。
闪存(U盘)加上写保护后,可以对它进行操作的是()。
正确答案是D。
提示:U盘加写保护的目的是防止,对它写入信息。
下列逻辑代数基本运算关系式中不正确的是()。
正确答案是C。
提示:掌握逻辑代数基本运算关系。选项C应为A+O=A。
在无压圆管均匀流中,其他条件保持不变有( )。
提示:A、B都是错误的,满管时流量、流速都不是最大。可以根据谢才公式证明流速随坡度增加而增加。
应用总流能量方程时,选择不同的高度基准面( )。
提示:测压管水头的数值与所选基准面有关,流速客观压强均为存在的参数,不会受影响。
渗流模型流速u与实际渗流流速u'相比较( )。
提示:u=u'n,n
长直棱柱渠道衔接,由平坡流向陡坡时发生( )。
提示:长棱柱渠道内平坡或缓坡只能为缓流,陡坡为急流,由缓流到急流发生跌水。
一个容器内储有1mol氢气和1mol氦气,若两种气体各自对器壁产生的压强分别为p1和Pp2,则两者的大小关系是( )。

某项目建设期为3年,投资总额为300万元,自有资金为28%,其余为银行贷款。 三年的贷款比率依次为50%、30%、20%,贷款在各年内均衡发生,若贷款利率为10%,则 该项目的建设期利息累计为( )万元。
提示:贷款总额为300x(l-28%)万元=216万元
第一年贷款利息为216X 50%/2 X10%万元-5.4万元:
第二年贷款利息为[(216X50%+5.4)+216X30%/2]X10%万元=14.58 万元;
第三年贷款利息为[(216x80%+5.4+ 14.58)x 10%+216X20%/2X10%]万元= 21.44万元;
所以建设期利息累计为(5.4+14.58+21.44)万元=41.42万元
理想气体向真空作绝热膨胀,则( )。
提示:理想气体向真空作绝热膨胀;膨胀后,温度不变。 由p=nkT,单位体积分子数降低,压强减小。

提示:I中积分区域关于x轴和y轴都对称,被积函数关于x和y为偶函数,I=4J。
设曲线y = x3+ax与曲线y= bx2+c在点(-1,0)处相切,则( )。


正确答案是D。
提示:当x→2,分母极限为零,分子也必须为零,故有4 + 2a + b = 0;利用洛必达法则,
所以a=2,代入4 + 2a + b= 0有b=-8。


下列选项中()不是数字信号。
正确答案是C。
提示:模数转换器的功能是将模拟信号转化为对应的数字信号;压力传感器的输出信号是测量出的模拟信号,随时间连续变化。
在迈克尔逊干涉仪的一条光路中,放入一折射率为n,厚度为d的透明薄片,放入后,这条光路的光程改变了( )。
提示:往返光程增加2个(n-1) d。
所有高于某一特定频率的频率分量都将不能通过系统,而低于此特定频率的频率分量都能通过,那么这种滤波器是()。
正确答案是D。

提示:根据低通滤波器的定义。
设L是曲线y=lnx上从点(1,0)到点(e,1)的一段弧,则曲线积分
()。

您目前分数偏低,基础较薄弱,建议加强练习。