图示电路,试用结点电压法求解电路,2Ω电阻上的电压UK等于( )。

根据节点电压法,列写节点电压方程:(1/2+1/3)U1=2-4/2+5UK/3。根据基尔霍夫电压定律(KVL),UK-4=U1。联立解得:U1=-8V,UK=-4V。
单相交流电路的有功功率是( )。
对于一端口无源正弦稳态网络N,端口电压的瞬时值表达式为:

电流的瞬时值表达式为:

则有:①瞬时功率p=ui;②有功功率P=UIcosφ,其中φ=φu-φi;③无功功率Q=UIsinφ;④视在功率S=UI。
若某电路元件的电压、电流分别为u=15cos(314t-30°)V、i=3cos(314t+30°)A,则相应的阻抗是( )。
由阻抗的定义得:


交流电路中的最大功率传输定理是:工作于正弦稳态的单口网络向一个负载ZL=RL+jXL供电,如果该单口网络可用戴维南等效电路(其中Z0=R0+jX0,R0>0)代替,则在负载阻抗等于含源单口网络输出阻抗的共轭复数(即电阻成份相等,电抗成份只数值相等而符号相反)时,负载可以获得最大平均功率为:Pmax=Uoc2/(4R0)。
将负载ZL支路开路,其开路电压:

再将电流源置零,电路等效阻抗为:

当

时,有最大功率

非正弦周期信号作用下的线性电路,电路响应等于它的各次谐波单独作用时产生响应的( )。
非正弦周期信号作用下的线性电路特点如下:①电路响应等于它的各次谐波单独作用时产生响应的瞬时值的叠加。②某一支路电压(电流)的有效值为该支路各次谐波电压(电流)有效值的平方根。
图示电路中,电容有初始储能,若在t=0时将a、b两端短路,则在t≥0时电容电压的响应形式为( )。

RLC串联的二阶电路的零输入响应分析,记住以下结论:

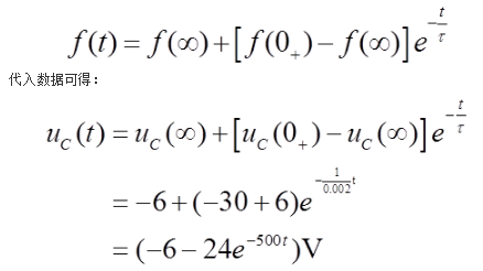
图示电路中,开关S闭合前电路已经处于稳态,当t=0时,S闭合,S闭合后的uC(t)是( )。

当t<0时,由于电容为储能元件,其电压不能突变,根据KVL可得初始值:uC(0+)=uC(0-)=-30V。
当t≥0时,i(t)=-6/1000=-0.006A,根据KVL可得稳态值uC(∞)=-30-2000×2×(-0.006)=-6V,等效阻抗Req=2000Ω,因此时间常数τ=ReqC=2000×l×10^-6=0.002s。
依据一阶动态全响应公式:

平行平板电极间充满了介电常数为ε的电介质,平行平板面积为S,平板间距为d,两平板电极间电位差为V,则平行平板电极上的电荷量为( )。
根据电容公式C=εS/d=Q/V,可得:Q=εSV/d。
图示电路中,I1=10A,I2=4A,R1=R2=2Ω,R3=1Ω,电流源I2的电压是( )。

设流过电阻R2上的电流为I3。根据基尔霍夫电流定律(KCL),I3=I1-I2=10-4=6A。根据基尔霍夫电压定律(KVL),I2R3+U=I3R2,即4×l+U=6×2,解得:U=8V。
图示电路,用叠加定理求出的电压U等于( )。

叠加定理可表述为:在线性电路中,任一支路的电压与电流,都是各个独立源单独作用下,在该支路中产生的电压与电流的代数之和。本题中,先将电流源开路,得到U′=-9×6/(3+6)=-6V。再令电压源短路,得到:U″=6×3×6/(3+6)=12V。因此,电压U=U′+U″=-6+12=6V。

对于RC回路,根据KCL可得:

因此,电阻上电流:

故:

已知RLC串联电路,R=15Ω,L=12mH,C=5μF,ω=5000rad/s,则其端口的电压与电流的相位关系是( )。
RLC电路是一种由电阻(R)、电感(L)、电容(C)组成的电路结构。RLC串联电路总复阻抗为:

阻抗角为正,说明其端口的电压超前电流。
平行电容器两极板间距离为d,极板面积为S,中间填充介质的介电常数为ε,若在两极板间施加电压U0,则极板上的受力为( )。
电容C=εS/d=Q/U,则Q=εSU/d;电场强度E=U/d,电场力F=QE。假设两极板带电量相同,且为Q0/2。由于Q0=εSU0/d,E=U0/d,则F=QE=(Q0/2)E=[εSU0/(2d)](U0/d)=εSU0^2/(2d^2)。

电场强度可理解为单位正电荷在电场中受到的电场力大小,即

在A点坐标(1,1)处,电位x与y方向的偏导数为:

将求导结果代入电场强度公式:

恒定电流通过媒质界面,媒质的参数分别为ε1、ε2、γ1和γ2,当分界面无自由电荷时(即σ=0),这些参数应该满足的条件为( )。
在两种介质的分界面处σ=0,故有E1t=E2t,D2n=D1n。
因为D2n=D1n,所以ε1E1=ε2E2,将等式变换形式则得:ε1/ε2=E2/E1。同时对于恒定电流有J2n=J1n,所以γ1E1=γ2E2,将等式变换形式则得:γ1/γ2=E2/E1。因此,ε1/ε2=γ1/γ2。
内半径为a,外半径为b的导电管,中间填充空气,流过直流电流I,在ρ>a的区域中,磁场强度H为( )A/m。
安培环路定律为:

则:

因此,

在图示电路VCC=12V,已知晶体管的β=80,rbe=1kΩ,电压放大倍数Au是( )。

依据共射极放大电路的等效电路可知,电压放大倍数为:Au=-β(Re//RL)/rbe=-80×(5//5)/1=-80×2.5/1=-200。
用一个截止频率为ω1的低通滤波器和一个截止频率为ω2的高通滤波器,构成一个带通滤波器,应当是( )。
滤波器是一种选频电路,其功能是使有用频率的信号通过,而将其余频率的信号加以抑制或大为衰减。按信号通过的频率分为低通滤波器、高通滤波器、带通滤波器,如题21解图所示。
当低通滤波器和高通滤波器串联时,信号频率低于ω1的通过,信号频率高于ω2的通过,其余频率被滤掉,形成带通滤波器。如题21解图c)可知:当ω1>ω2时才能构成带通滤波器(ω1对应ωH,ω2对应ωL)。

测得某逻辑门输入A、B和输出F的波形如图所示,则F(A,B)的表达式为( )。


由波形图可列真值表如题25解表所示。由真值表可以观察出相同出0,相异出1,故逻辑表达式为F=A⊕B。

图示是一个集成74LS161集成计数器电路图,则该电路实现的逻辑功能是( )。

加法计数器74LS161预置数端接地,无预置数。根据输出端逻辑关系,即当Q3Q2Q1Q0=(0111)2时,下个CP脉冲,电路重新置零。从(0000)2到(0111)2需计数8次,因此该电路实现的逻辑功能是八进制计数器。
由555定时器构成的单稳态触发器,其输出脉冲宽度取决于( )。
如果忽略饱和压降,电容电压uc从零电平上升到2UCC/3的时间,即输出电压uo的脉宽,且tw=RCIn3≈1.1RC。因此,其输出脉冲宽度取决于外接RC的数值。
构成电力系统的四个最基本的要素是( )。
由生产、输送、分配、消费电能的发电机、变压器、电力线路、各种用电设备联系在一起组成的统一整体就是电力系统。其中发电机、变压器、电力线路、各种用电设备分别对应着发电厂、输电网、供电网、用户。
高压电网中,影响电压降落纵分量的是( )。
由电压降落纵分量计算公式ΔU=(PR+QX)/U可知,在高压输电线路参数中,电压基本恒定,电抗要比电阻大得多。若忽略线路电阻,上式变为:ΔU=QX/U。因此,影响电压降落纵分量的主要因素是无功功率Q。
在额定电压附近,三相异步电动机无功功率与电压的关系是( )。
线路Ⅱ型等值电路中的电阻等于零,且不计两端的并联导纳,在此情况下,输电线路的等值电路便变成一个简单的串联电抗X,于是有:
U1=U2+Q2X/U2+jP2X/U2
另线路始端电压为U1∠θ=U1(cosθ+jsinθ),则:
U1(cosθ+jsinθ)=U1+Q2X/U2+jP2X/U2
忽略虚部,则:
U1cosθ=U2+Q2X/U2
可解得:
Q2=(U1cosθ-U2)U2/X≈(U1-U2)U2/X=ΔU×U2/X
由此可见,电路传输的无功功率与两端电压幅值差近似成正比。因此,无功功率与电压升降方向一致。
无功功率一般是由电压高的一端向电压低的一端流动。输电线路这种无功功率与电压幅值差之间的密切关系在变压器、线路中,乃至整个系统中都存在,它是高压输电系统中非常重要的特性。
在短路电流计算中,为简化分析通常会做假定,下列不符合假定的是( )。
A项,《导体和电器选择设计技术规定》(DL/T 5222—2005)附录F第F.1-4条规定,电气系统中各元件的磁路不饱和,即带铁芯的电气设备电抗值不随电流大小发生变化。
BC两项,《导体和电器选择设计技术规定》(DL/T 5222—2005)附录F第F.1-3条规定,系统中的同步和异步电动车均为理想电动机,不考虑电机磁饱和、磁滞、涡流及导体集肤效应等影响;转子结构完全对称;定子三相绕组结构完全相同,空间位置相差120°电气角度。
D项,《导体和电器选择设计技术规定》(DL/T 5222—2005)附录F第F.1-9和F.1-11条规定,除计算短路电流的衰减时间常数和低压网络的短路电流外,元件的电阻都略去不计。输电线路的电容略去不计。
变压器冷却方式代号ONAF,具体冷却方式为( )。
变压器的冷却方式是由冷却介质和循环方式决定的,由于油浸式变压器还分为油箱内部冷却和油箱外部冷却方式。变压器常用的冷却方式有以下几种:油浸自冷(ONAN)、油浸风冷(ONAF)、强迫油循环风冷(OFAF)。其中,ONAF表示油浸风冷。
一台50Hz的感应电动机,其额定转速n=730r/min,该电动机的额定转差率为( )。
由于感应电动机的同步转速n1与额定转速n相近,则只有当极对数P取4时满足要求,此时同步转速n1=60f/P=60×50/4=750r/min,该电动机的额定转差率s=(n1-n)/n1=(750-730)/750=0.0267。
发电机过励时,发电机向电网输送的无功功率是( )。
过励状态时,发电机相当于一个容性负载,吸收了容型无功,即发出了感性无功功率;欠励状态时,发电机相当于一个感性负载,吸收了感型无功,即发出了容性无功功率。
同步发电机不对称运行时,在气隙中不产生磁场的是( )。
根据对称分量法,不对称三相系统可以分解成正、负、零序系统。当正序电流流过三相绕组时,产生正向旋转磁动势;当负序电流流过三相绕组时,产生负向旋转磁动势;三相零序基波磁动势合成为零,在气隙中不产生零序磁动场。
改变直流发电机端电压极性,可以通过( )。
改变直流发电机端电压极性可以通过改变磁通方向,即改变励磁电压极性;或者可以保持磁通方向不变,通过改变发电机旋转方向来实现改变直流发电机端电压极性。
高压电器在运行中或操作时产生的噪声,在距电器2m处的连续性噪声水平不应大于( )。
对于500kV电气设备,距电器2m处的连续性噪声水平不应大于85dB。

如题图所示单母线接线,L1线送电的操作顺序为( )。

接通的操作要遵守隔离开关和断路器的操作原则。由于隔离开关无灭弧功能,故在送电时应先闭合隔离开关,再闭合断路器。当需要断电时先断开断路器,再断开隔离开关。题59图中,QS11、QS12为隔离开关;QF1为断路器。因此,应先闭合QS11、QS12,再闭合QF1。

无限大均匀载流平面外磁感应强度的计算公式为:

代入电流值可得:

因此,

某高压输电线的波阻抗Zc=380∠-60°Ω,在终端匹配时始端电压为U1=147kV,终端电压为U2=127kV,则传输线的传输效率为( )。
传输线的传输效率是指传输线终端发出的功率与始端吸收功率之比。功率的计算公式为:P=U^2cosφ/|Z|。在始端从电源吸收的功率为:P1=U1^2cosφ/|Zc|=147^2×cos60°/380=28.43kW。而在终端,发出的功率为:P2=U2^2cosφ/|Zc|=127^2×cos60°/380=21.22kW。
因此,传输效率为:η=P2/P1=(21.22/28.43)×100%=74.6%。
差分放大电路的共模抑制比KCMR越大,表明电路( )。
零漂,是零点漂移的简称,是指在直接耦合放大电路中,当输入端无信号时,输出端的电压偏离初始值而上下漂动的现象。共模抑制比KCMR是指,放大电路对差模信号的电压增益与对共模信号的电压增益之比的绝对值。差模信号的电压增益越大,或共模信号的电压增益越小,则差分放大电路的共模抑制比KCMR越大,此时电路抑制零漂的能力越强。
在负反馈放大电路中,当要求放大电路的输出阻抗小,输入阻抗大时,应选择的反馈电路是( )。
串联负反馈能增大输入阻抗。串联负反馈时,反馈电压与输入电压加在放大电路输入回路的两个点,且极性相同,所以净输入电压减小,输入电流减小,这相当于输入阻抗增大。
电压负反馈能减小输出阻抗。电压负反馈可以稳定输出电压,使放大电路接近电压源,输出电压稳定,也就是放大电路带负载能力强,相当输出阻抗减小。
综上所述应选择的反馈电路是串联电压负反馈。
LM1877N-9为2通道低频功率放大电路,单电源供电,最大不失真输出电压的峰值UCPP=(UCC-6)V,开环电压增益为70dB。如图所示为LM1877N-9中一个通道组成的实用电路,电源电压为24V,C1~C3对交流信号可视为短路,R3和C4起相位补偿作用,可以认为负载为8Ω。设输入电压足够大,电路的最大输出功率Pom和效率η分别是( )。
输出功率公式为:Pom=(UCPP/2)^2/(2RL);代入相应数据得:Pom=[(UCC-6)/2]^2/(2RL)=9^2/16=5.06W。电路效率公式为:η=π/4·(UCPP/UCC);代入相应数据得:η=π/4·[(UCC-6)/UCC]=π/4×18/24≈58.9%。
函数

欲使Y=1,则A、B、C的取值组合是( )。
采用代入法计算。当A、B、C分别取0、1、0时,

且AC=0,则Y=1+0=1。
能实现分时传送数据逻辑功能的是( )。
三态逻辑门的输出除了具有一般与非门的两种状态,即输出电阻较小的高、低电平状态外,还具有高输出电阻的第三状态,称为高阻态。把几个三态门的输出连接在一起就形成了一条总线,三态门输出使能的控制电路必须且保证任何时间只有一个三态门被选通,才能传送逻辑电平(高或低),从而就实现了数据的分时传送功能。
下列数中最大数是( )。
首先根据题目判断进制类型,二进制用B表示,八进制用O表示,十进制用D表示,十六进制用H表示。根据题意,把四个选项中不同数制下的数都化成十进制数,即:(101101)B=1×2^5+0×2^4+1×2^3+1×2^2+0×2^1+1×2^0=45,则(101101)B=(45)10;(42)D=(42)10;(2F)H=2×16^1+15×16^0=47,则(2F)H=(47)10;(51)O=5×8^1+1×8^0=41,则(51)O=(41)10,因此最大的是(2F)H。
图示逻辑电路,输入为X、Y,同它的功能相同的是( )。

根据逻辑电路可知,列出真值表如题28解表。可知该电路实现的逻辑功能是

故它的功能是实现JK触发器。

额定电压35kV的变压器二次绕组电压为( )。
变压器一次侧额定电压按照“谁接同谁”的原则确定,即一次侧接线路则取线路额定电压UN,一次侧接发电机则取发电机额定电压1.05UN。变压器二次侧额定电压通常取1.1UN,即1.1×35=38.5(kV)。其中5%用于补偿变压器内部的电压损失,另外5%用于补偿线路的电压损失。
在我国的大容量系统中,处于规范允许的偏差范围的频率是( )。
根据《电能质量电力系统频率偏差》(GB/T 15945—2008)的规定,电力系统正常频率偏差的允许值为±0.2Hz,当系统容量较小时,可放宽到±0.5Hz。由于大容量系统要求高,因此频率偏差允许值取±0.2Hz。由于我国电力系统的额定频率为50Hz,因此规范允许的频率范围为49.8Hz~50.2Hz,故选C。
电压基准值为10kV,发电机端电压标幺值为1.05,发电机端电压为( )。
标幺值是相对单位制的一种。标幺值是相对于某一基准值而言的,同一有名值,当基准值选取不同时,其标幺值也可能不同。它们的关系如下:标幺值=有名值/基准值。因此,有名值=标幺值×基准值=1.05×10kV=10.5kV。
有一台SFL1-20000/110型变压器向35kV网络供电,铭牌参数为:负载损耗ΔPk=135kW,短路电压百分比Uk%=10.5,空载损耗ΔP0=22kW,空载电流百分数Ik%=0.8,SN=20000kVA,归算到高压侧的变压器参数为( )。
由选项可知,所求参数为阻性,所以求变压器RT与XT的参数。根据公式:
RT=ΔPkUN^2/(1000SN^2),XT=Uk%UN^2/(100SN)
分别代入数据得:
RT=ΔPkUN^2/(1000SN^2)=135×110^2/(1000×20^2)=4.08Ω
XT=Uk%UN^2/(100SN)=10.5×110^2/(100×20)=63.53Ω
额定电压110kV的辐射型电网各段阻抗及负荷如图所示,已知电源A的电压为121kV,若不计电压降落的横分量,则B点电压是( )。

已知不同点电压和功率求潮流分布。先假设全网电压为额定电压,即110kV,由末端往首端推功率,求出SA。
已知末端功率SC=-(8+j6)MVA,可以推出SB、SA分别为:
SB=SC+ΔSBC+S′B=-(8+j6)+[(8^2+6^2)/110^2]×(10+j20)+(40+j30)=(32.08+j24.17)MVA
SA=SB+ΔSAB=32.08+j24.17+[(32.08^2+24.17^2)/110^2]×(20+j40)=(34.75+j29.5)MVA
又因为:ΔUAB=(PR+QX)/U=(34.75×20+29.5×40)/121=15.5kV;
则:UB=UA-ΔUAB=121-15.5=105.5kV。
图示各支路参数为标幺值,则节点导纳Y11、Y22、Y33、Y44分别是( )。

根据节点电压法,分别计算节点导纳Y11、Y22、Y33、Y44为:
Y11=Y10+Y12+Y13=j0.1-j2.5-j2=-j4.4
Y22=Y20+Y12+Y23=j0.1-j2.5-j2.5=-j4.9
Y33=Y13+Y30+Y23+Y34=-j2+j0.5-j2.5-j10=-j14
Y44=Y34=-j10
系统负荷为4000MW,正常运行时,f=50Hz,若系统发电出力减少200MW,系统频率运行在48Hz,则系统负荷的频率调节效应系数为( )。
系统负荷的频率调节效应系数K=ΔP/Δf,其中ΔP表示功率的变化量,Δf表示频率的变化量。代入相关数据得:K=ΔP/Δf=200/(50-48)=100。
下列关于氧化锌避雷器的说法错误的是( )。
金属氧化物避雷器的阀片是以氧化锌(ZnO)为主要材料,并以少量其他稀有金属氧化物作添加剂,经过加工后,在1000℃以上的高温中烧结而成。
ZnO阀片具有很理想的非线性伏安特性,相对于传统的SiC阀片,在额定电压下,ZnO阀片流过的电流可小于10-5A,可近似认为其续流为零。因此氧化锌避雷器可以不用串联火花间隙,成为无间隙、无续流的避雷器。
金属氧化锌避雷器广泛用于交、直流系统,保护发电、变电设备绝缘,尤其适合于中性点有效接地的110kV及以上电网。其主要优点包括:①结构简单,并具有优异的保护特性;②耐反复过电压能力强;③通流容量大;④性价比较高。
有一35kV的线路阻抗为(10+j10)Ω,输送功率为(7+j6)MVA,线路始端电压38kV,要求线路末端电压不低于36kV,其补偿容抗为( )。
电压降落公式为:ΔU=(PR+QX)/U。代入相关参数得:38-36=[7×10+6×(10-Xc)]/38。解方程可得:Xc=9Ω。因此,补偿容抗Xc=9Ω。
远端短路时,变压器35/10.5(6.3)kV,容量1000kVA,阻抗电压6.5%,高压侧短路容量为30MVA,其低压侧三相短路容量是( )。
基准容量SB=100MVA,系统电抗标幺值为X*s=SB/SS=3.33。
变压器电抗标幺值为:X*T=uk%/100×SB/SN=6.5/100×100/1=6.5。式中,uk为阻抗电压。
则变压器低压侧三相短路时总电抗标幺值为:
X*∑=X*s+X*T=3.33+6.5=9.83
低压侧三相短路容量为:
S″=SB/X*∑=100/9.83=10.17MVA
TN接地系统低压网络的相线零序阻抗为10Ω,保护线PE的零序阻抗为5Ω,TN接地系统低压网络的零序阻抗为( )。
TN系统中零序阻抗为相线零序阻抗与3倍的PE线的零序阻抗之和,即:X0=10+3×5=25Ω。
变压器在做短路试验时,一般试验方法是( )。
理论上短路试验可以在任一侧做,为了方便和安全,一般短路试验常在高压侧进行,即低压侧短路,高压侧接入电源。
试验接线图如题46解图a)所示,调节外加电压使得短路电流为额定值,测得电压为短路电压Uk,测得电流为短路电流ik,测得短路时输入功率Pk。由于短路试验时外加电压很低,铁芯磁路不饱和,励磁电流很小,依据变压器等效电路可知,所测得的短路功率几乎都消耗在两侧绕组电阻的铜耗上,即Pk≈PCu。

关于感应电动机的星形和三角形启动方式,下列说法正确的是( )。
Y-△起动适用于额定运行时定子绕组为△连接的电动机。起动时,定子绕组采用星形接法,起动后,换成三角形接法正常运行,其接线图如题49解图所示。采用这种起动方法起动时,可使每相定子绕组所承受的电压降低到电源电压的

起动的线电流为直接起动时的1/3,起动转矩也减少到直接起动时的1/3,所以这种起动方法只能用在空载或轻载起动的场合。星形和三角形起动方式,不适用于绕线式异步电动机。

交流异步电机转子串联电阻调速时,以下说法错误的是( )。
转子串电阻调速的方法只适用于绕线转子异步电动机。这种方法的优点是灵活方便、调速范围广,缺点是调速电阻中要消耗一定的能量。转子回路的铜耗PCu2=sPem,其中,Pem为电磁功率;s为转差率。故转速调得越低,转差率越大,铜损耗就越多,效率就越低。这种调速主要适用于中、小容量的异步电动机。此外,变频调速能实现转速超过额定转速。
如题50解图所示,当转子回路中加入调速电阻时,电动机的Tem-s曲线将从曲线1变成曲线2,若负载转矩(T2+T0)不变,转子的转差率将从s1增大到s2,即转速下降,机械特性变软。

同步发电机静态稳定,处于最稳定状态的功角为( )。
在电网或发电机偶尔发生微小扰动,当扰动消失后,发电机能回到原先的状态继续同步运行,则发电机就是“静态稳定”的,否则不稳定。发电机的功角特性的稳定段是θ=0~90°,而θ=90°~180°是无法稳定运行段。所以处于最稳定状态的功角为0°。
110kV系统的工频过电压一般不超过标幺值的( )。

以下4种型号的高压断路器中,额定电压为10kV的高压断路器是( )。
高压断路器型号的表示方法,例如SN10-10I。其中,首字母表示断路器的字母代号,如S表示少油,D表示多油,Z表示真空,K表示空气,L表示六氟化硫(SF6);第二个字母表示安装场所代号,如N表示屋内型、W表示屋外型;接着,10表示设计序列号;最后,10I表示额定电压,kV。
电流互感器的二次侧额定电流为5A,二次侧阻抗为2.4Ω,其额定容量为( )。
电流互感器的额定容量SN2为电流互感器在额定二次电流IN2和额定二次阻抗ZN2下二次绕组输出的容量。本题中,SN2=IN^2ZN2=5^2×2.4=60VA。
以下关于互感器的正确说法是( )。
电流互感器的工作特点包括:
①一次线圈串联于主电路中,由于一、二次侧线圈的安匝数要相等,即I1N1=I2N2,故电流互感器的一次侧匝数少,二次侧匝数多。
②二次侧近似短路,这是因为电流互感器二次侧所串接的是测量仪表、继电器等的电流线圈,其阻抗值很小。
③电流互感器二次线圈不允许开路。一旦开路,磁通密度将过度增大,铁芯剧烈发热导致电流互感器损坏,同时很高的开路电压对人员安全和仪器绝缘都是很大的威胁。
④电流互感器二次要求一个接地点,是防止二次的电流因为两个接地点,经过“大地”形成回路,而不走负荷回路,带不起负荷(即测量表计,保护装转置等)。
电压互感器的工作特点包括:
①二次侧近似开路,因为电压互感器二次侧所接的都是电压线圈,其阻抗很大,从而电流很小。
②二次侧正常工作时不允许短路,否则会流过很大的短路电流烧毁设备。
③电压互感器二次要求一个接地点,同样也是防止二次电压部分经过。“大地”形成回路,即短路,就会烧毁互感器。
您目前分数偏低,基础较薄弱,建议加强练习。