在河流中,主要是沿河纵向的对流,河流的( )是表征河流水体中污染物的对流作用的重要参数。
在河流中,影响污染物输移的最主要的物理过程是对流和横向、纵向扩散混合。对流是溶解态或颗粒态物质随水流的运动。可以在横向、垂向、纵向发生对流。在河流中,主要是沿河流纵向的对流,河流的流量和流速是表征对流作用的重要参数。河流流量可以通过测流、示踪研究或曼宁公式计算得到。对于较复杂的水流,要获得可靠的流量数据,需要进行专门的水动力学实测及模拟计算。
某拟建项目,主要排放4种污染物质进入河道,设计水文条件下,假定初始断面完全混合,各污染物的背景浓度占标率及项目排污负荷占标率见下表。则该项目主要影响预测因子选择排序应为( )。

对于河流水体,水质参数排序采用的公式为:ISE=cpiQpi/(csi-chi)Qhi。式中,cpi为水污染物i的排放浓度,mg/L;Qpi为含水污染物i的废水排放量,m3/s;csi为水污染物i的地表水水质标准,mg/L;chi为评价河段水污染物i的浓度,mg/L;Qhi为评价河段的流量,m3/s。
对水质预测因子的排序公式进行变形,即:

代入数据可得各污染物的ISE值,即:

有上述计算结果可知,ISE值从大到小的排列顺序为:NH3、COD、Cd和Cu。而Cd属于第一类污染物,Cu属于第二类污染物,因第二类污染物的长远影响小于第一类污染物质的污染物,故Cu排在Cd之后。
河流水质模型复氧系数K2的单独估值方法常用( )。
河流水质模型参数的确定方法包括:①公式计算和经验估值;②室内模拟实验测定;③现场实测;④水质数学模型率定。复氧系数K2的单独估值方法常用经验公式法,如欧康那-道宾斯(O'Connor-Dobbins,简称欧-道)公式等。
采用河流一维水质模型进行水质预测,至少需要调査( )等水文、水力学特征值。
对于溶解态污染物,当污染物在河流横向方向上达到完全混合后,描述污染物的输移、转化的微分方程为:

式中,A为河流横断面面积;Q为河流流量;c为水质组分浓度;DL为综合的纵向离散系数;SL为直接的点源或非点源强度;SB为上游区域进入的源强;SK为动力学转化率,正为源,负为汇。可见采用河流一维水质模型进行水质预测,至少需要调査流量、水面宽、水深等水文、水力学特征值。
烟气经过预处理后,下列条件中,烟气中各污染物的浓度属于干基浓度的是( )。
根据《固定污染源烟气(SO2、NOx、颗粒物)排放连续监测系统技术要求及检测方法》(HJ 76—2017),干烟气浓度指的是烟气经预处理,露点温度≤4℃时,烟气中各污染物的浓度,也称为干基浓度。
下列环境影响评价中,在规划或开发建设活动实施后,对环境的实际影响程度进行系统调查和评估的是( )。
规划环境影响后评价是在规划或开发建设活动实施后,对环境的实际影响程度进行系统调查和评估。检查对减少环境影响的措施落实程度和效果,验证环境影响评价结论的正确可靠性,判断评价提出的环保措施的有效性,对一些评价时尚未认识到的影响进行分析研究,并采取补救措施,消除不利影响。
各单项工作环境影响评价划分为( )个工作等级。
建设项目各环境要素专项评价原则上应划分工作等级,一般可划分为三级。一级评价对环境影响进行全面、详细、深入评价,二级评价对环境影响进行较为详细、深入评价,三级评价可只进行环境影响分析。
污染型项目工程分析中常用的物料衡算不包括( )。
工程分析目前可供选用的方法有类比法、物料衡算法、实测法、实验法和查阅参考资料分析法。其中物料衡算法是用于计算污染物排放量的常规和最基本的方法。工程分析中常用的物料衡算有:①总物料衡算;②有毒有害物料衡算;③有毒有害元素物料衡算。
CEMS数据失控时段可修约的数据为( )。
根据《固定污染源烟气(SO2、NOx、颗粒物)排放连续监测技术规范》(HJ 75—2017),CEMS系统数据失控时段污染物排放量按照规范需求进行修约,污染物浓度和烟气参数不修约。
关于环境噪声与振动污染防治对策的一般原则,下列说法中错误的是( )。
环境噪声与振动污染防治对策的一般原则包括:①从声音的三要素为出发点控制环境噪声的影响,以从声源上或从传播途径上降低噪声为主,以受体保护作为最后不得已的选择;②以城市规划为先,避免产生环境噪声污染影响;③关注环境敏感人群的保护,体现“以人为本”;④以管理手段和技术手段相结合控制环境噪声污染;⑤针对性、具体性、经济合理、技术可行原则。
下列处理工艺,适用于芯片制造项目产生的含氟废水预处理的是( )。
芯片生产项目常产生六种废水:①含氨废水;②含氟废水;③BG/CMP过程废水;④酸碱废水;⑤有机废水;⑥废气洗涤塔废水。其中含氟废水中的污染物主要包括:氨氮、氟化物、磷酸等。含氟废水现行的处理方法包括化学沉淀法、吸附法、混凝沉降法、絮凝法、电凝聚法、离子交换树脂法、反渗透法、液膜法、电渗析法、冷冻法、超滤除氟、纳滤技术法、流化床结晶法、共蒸馏法和生化法等,其中以化学沉淀法、吸附法和混凝沉降法最为常用。化学沉淀处理是向废水中投加某些化学药剂(沉淀剂),使其与废水中溶解态的污染物直接发生化学反应,形成难溶的固体生成物,然后进行固废分离,除去水中污染物。题中含氟废水可采用CaC12混凝沉淀进行预处理。
某锅炉烟气烟尘粒径较小,须执行特别排放限值标准,宜优先选用的除尘器类型是( )
机械除尘器包括重力沉降室、惯性除尘器和旋风除尘器等。A项,适用于捕集粒径5μm以上的尘粒。B项,是湿式除尘器中的一种,适用于含湿粉尘。C项,常用于处理大风量的含尘气体。D项,电袋复合除尘器适用于电除尘难以高效收集的高比阻、特殊煤种等烟尘的净化处理;适用于去除0.1μm以上的尘粒以及对运行稳定性要求高和粉尘排放浓度要求严格的烟气净化。
适用于处理炼化项目干化污泥、油泥、废油渣的焚烧炉炉型是( )。
回转窑焚烧炉适用于处理成分复杂、热值较高的一般工业固体废物。实践中,回转窑焚烧炉可以焚烧危废。炼化项目干化污泥、油泥、废油渣为危险废物,但热值较高。炉排式焚烧炉适用于生活垃圾焚烧,不适用于处理含水率高的污泥;流化床式焚烧炉对物料的理化性质有较高要求,适用于处理污泥、预处理后的生活垃圾及一般工业固体废物;固定床等其他类型焚烧炉适用于一些处理规模较小的固体废物处理工程。
固定污染源烟气在线监测系统(CEMS)采样口应优先选择的位置是( )。
固定污染源烟气CEMS安装位置要求包括:①固定污染源烟气CEMS应安装在能准确可靠地连续监测固定污染源烟气排放状况的有代表性的位置上。②应优先选择在垂直管段和烟道负压区域。③测定位置应避开烟道弯头和断面急剧变化的部位。④为了便于颗粒物和流速参比方法的校验和比对监测,烟气CEMS不宜安装在烟道内烟气流速小于5m/s的位置。⑤每台固定污染源排放设备应安装一套烟气CEMS。
下列不属于固体废物分选技术的是( )。
在固体废物处理、处置与回用之前必须进行分选,将有用的成分分选出来加以利用,并将有害的成分分离出来。根据物料的物理性质或化学性质,这些性质包括粒度、密度、重力、磁性、电性、弹性等,分别采用不同的方法,包括人工手选、风力分选、筛分、跳汰机、浮选、磁选、电选等分选技术。
西南山区某拟建风电场,其选址位于候鸟迁徙通道上,为避免风电场建设对候鸟迁徙造成影响,应优先采取的措施是( )。
为了减少生态影响,应从项目中的选线、选址,项目的组成和内容,工艺和生产技术,施工和运营方案、生态保护措施等方面,选取合理的替代方案,来减少生态影响。从环境保护出发,合理的选址和选线主要是指:①选址选线避绕敏感的环境保护目标,不对敏感保护目标造成直接危害,这是“预防为主”的主要措施;②选址选线符合地方环境保护规划和环境功能(含生态功能)区划的要求,或者说能够与规划相协调,即不使规划区的主要功能受到影响;③选址选线地区的环境特征和环境问题清楚,不存在“说不清”的科学问题和环境问题,即选址选线不存在潜在的环境风险;④从区域角度或大空间长时间范围看,建设项目的选址选线不影响区域具有重要科学价值、美学价值、社会文化价值和潜在价值的地区或目标,即保障区域可持续发展的能力不受到损害或威胁,为了避免风电场建设对候鸟迁徙造成影响,风电场应另行选址。
某公司含磷废水的磷酸盐(以P计)浓度为4.0mg/L,为满足处理后磷酸盐浓度≤1.0mg/L的要求,污水处理工艺应采取( )。
磷的去除方法有化学沉淀法和生物法。前者一般为预处理,后者为达标处理。B项,化学沉淀处理是向废水中投加某些化学药剂(沉淀剂),使其与废水中溶解态的污染物直接发生化学反应,形成难溶的固体生成物,然后进行固废分离,除去水中污染物。化学沉淀法除磷通常是加入铝盐或铁盐及石灰。最常用的铝盐是明矾AlK(SO4)2·12H2O,铝离子能絮凝磷酸根离子,形成磷酸铝沉淀。明矾和氯化铁的加入会降低水质的pH值,而加入石灰会使水的pH值升高。A项,化学氧化适用于去除废水中的有机物、无机离子及致病微生物等。通常包括氯氧化、湿式催化氧化、臭氧氧化、空气氧化等。C项,活性污泥法适用于以去除污水中碳源有机物为主要目标,无氮、磷去除要求的情况。D项,超滤适用于去除分子量为103~106Da的胶体和大分子物质,操作压力为0.1~0.6MPa。
以下( )不属于好氧生物处理法。
好氧处理包括传统活性污泥、氧化沟、序批式活性污泥法(SBR)、生物接触化、生物滤池、曝气生物滤池等,其中前三种方式属活性污泥法好氧处理,后三种属生物膜法好氧处理。C项,UASB即上流式厌氧污泥床反应器,属于厌氧生物处理法。
在无法获得项目建设前的生态质量背景资料时,应首选( )作为背景资料进行类比分析。
运用资料收集法进行生态背景调查时,应收集现有的能反映生态现状或生态背景的资料,从表现形式上分为文字资料和图形资料,从时间上可分为历史资料和现状资料,从收集行业类别上可分为农、林、牧、渔和环境保护部门,从资料性质上可分为环境影响报告书、有关污染源调查、生态保护规划、规定、生态功能区划、生态敏感目标的基本情况以及其他生态调查材料等。使用资料收集法时,应保证资料的现时性,引用资料必须建立在现场校验的基础上。在无法获得项目建设前的生态质量背景资料时,应首选当地长期科学观测累积的数据资料作为背景资料进行类比分析。
描述孔隙含水层的基本水文地质参数是( )。
描述孔隙含水层的基本水文地质参数有:
①孔隙度,指某一体积岩石(包括孔隙在内)中孔隙体积所占的比例。
②给水度,即把地下水位下降一个单位深度,从地下水位延伸到地表面的单位水平面积岩石柱体,在重力作用下释出的水的体积。
③渗透系数,又称水力传导系数。在各向同性介质中,它定义为单位水力梯度下的单位流量,表示流体通过孔隙骨架的难易程度;在各向异性介质中,渗透系数以张量形式表示。
某建设项目位于东部地区,下列时间混合层高度最高的是( )。
在日间,受太阳辐射的作用地面得到加热,混合层逐渐加强,中午时达到最大高度;日落后,由于地表辐射,地面温度低于上覆的空气温度,形成逆温的稳定边界层;次日,又受太阳辐射的作用,混合层重新升起。
矿藏丰富的地区,采用( )更能反映土壤人为污染程度。
各地区土壤背景差异较大,特别是矿藏丰富的地区,在矿藏出露的区域,一般背景值都较高,采用累积指数更能反映土壤人为污染程度。
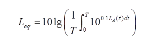
某敏感点处昼间前8个小时测得的等效声级为55.0dB(A),后8小时测得的等效声级为65.0dB(A),该敏感点处的昼间等效声级是( )
等效连续A声级的数学表达式为:


某次样方调查资料给出了样方总数和出现某种植物的样方数,据此可以计算出该种植物的( )。
在样方调查(主要是进行物种调查、覆盖度调查)的基础上,可依下列方法计算植被中物种的重要值:
①密度=个体数目/样地面积。
②相对密度=(一个种的密度/所有种的密度)×100%。
③优势度=底面积(或覆盖面积总值)/样地面积。
④相对优势度=(一个种的优势度/所有种的优势度)×100%。
⑤频度=包含该种样地数/样地总数。
⑥相对频度=(一个种的频度/所有种的频度)×100%。
⑦重要值=相对密度+相对优势度+相对频度。
具有一定价值必须保护的特定的地理区域或现象称为( )。
文物指遗存在社会上或埋藏在地下的历史文化遗物,一般包括具有纪念意义和历史价值的建筑物、遗址、纪念物或具有历史、艺术、科学价值的古文化遗址、古墓葬、古建筑、石窟寺、石刻等。景观一般指具有一定价值必须保护的特定的地理区域或现象,如自然保护区、风景游览区、疗养区、温泉以及重要的政治文化设施等。
对于声级起伏较大的非稳态噪声或间歇性噪声,采用( )为评价量。
A声级一般用来评价噪声源。对特殊的噪声源在测量A声级的同时还需要测量其频率特性,频发、偶发噪声,非稳态噪声往往需要测量最大A声级(LAmax)。
通过湖泊、水库水替换的次数指标α和β经验性标准来判别水温是否分层,当( )时,一般情况可认为湖泊、水库为稳定分层型。
湖泊、水库水温是否分层,区别方法较多,比较简单而常用的是通过湖泊、水库水替换的次数指标α和β经验性标准来判别。当α<10,认为湖泊、水库为稳定分层型;若α>20,认为湖泊、水库为混合型。对于洪水期如按α判别为分层型,而在洪水时实际可能是混合型,因此洪水时以β指标作为第二判别标准。当β<1/2时,洪水对湖泊水温分层几乎没有影响;若β>1,认为在大洪水时可能是临时性混合型。
费用效益分析中使用的价格反映了( )。
费用效益分析和财务分析在使用价格上的不同是:财务分析中所使用的价格是预期的现实中要发生的价格;而费用效益分析中所使用的价格则是反映整个社会资源供给与需求状况的均衡价格。
用购买桶装净化水作为对水污染的防护措施,由此引起的额外费用,可视为水污染的损害价值,这种方法属于( )。
防护费用法属于第Ⅱ组评估方法中的第六种用于评估噪声、危险品和其他污染造成的损失。该方法用避免某种污染的费用来表示该环境污染造成损失的价值。如用购买桶装净化水作为对水污染的防护措施,由此引起的额外费用,可视为水污染的损害价值。同样的,购买空气净化器以防大气污染,安装隔音设施以防噪声,都可用相应的防护费用来表示环境影响的损害价值。
危险物质数量与临界量比值(Q)是指危险物质在厂界内( )与临界量的比值。
危险物质数量与临界量比值Q为所涉及的每种危险物质在厂界内的最大存在总量与对应临界量的比值。在不同厂区的同一种物质,按其在厂界内的最大存在总量计算。对于长输管线项目,按照两个截断阀室之间管段危险物质最大存在总量计算。

成立的条件是( )。

环境质量标准仅用于考核环境保护敏感点环境质量达标情况,有害物质限值由( )确定。
根据验收监测与调查标准选用的原则,环境质量标准仅用于考核环境保护敏感点环境质量达标情况,有害物质限值由建设项目环境保护敏感点所处环境功能区确定。
环境保护验收调查工作程序为( )。
验收调查工作程序包括准备、初步调查、编制实施方案、详细调查、编制调查报告(表)五个阶段,国家审批建设项目实施方案已不是必需审查阶段,但从工作需求角度来说,是必不可少的工作程序。
验收监测应在工况稳定、生产负荷达到设计生产能力的( )以上情况下进行。国家、地方排放标准对生产负荷另有规定的按规定执行。
验收监测应在工况稳定、生产负荷达到设计生产能力的75%以上情况下进行。对于无法整体调整工况达到设计生产能力75%以上负荷的建设项目,调整工况能达到设计生产能力75%以上的部分,验收监测应在满足75%以上负荷或国家及地方标准中所要求的生产负荷的条件下进行;无法调整工况达到设计生产能力75%以上的部分,验收监测应在主体工程稳定、环境保护设施运行正常,并征得负责验收的环境保护主管部门同意的情况下进行,同时注明实际监测时的工况。

高速公路环境保护验收在噪声监测时,符合布设24h连续测量点位的监测点是( )。
高速公路交通噪声监测点位按照《高速公路交通噪声监测技术规定(试行)》和《声屏障声学设计和测量规范》(HJ/T 90—2004)确定。在公路两侧距路肩小于或等于200m范围内选取至少5个有代表性的噪声敏感区域,分别设点进行监测;在公路垂直方向距路肩20m、40m、60m、80m、120m设点进行噪声衰减测量;声屏障的降噪效果测量,执行《声屏障声学设计和测量规范》,并在声屏障保护的敏感建筑物户外1m处布设观测点位;选择车流量有代表性的路段,在距高速公路路肩60m、高度大于1.2m范围内布设24h连续测量点位。
对于实际环境影响评价项目,还应根据( ),考虑地形、地表植被特征以及污染物的化学变化等参数对浓度预测的影响。
对于实际环境影响评价项目,还应根据项目特点和复杂程度,考虑地形、地表植被特征以及污染物的化学变化等参数对浓度预测的影响,并结合环境质量现状监测结果,对区域及各环境空气敏感点进行叠加背景浓度综合分析,从项目选址、污染源排放度与排放方案、大气污染控制措施及总量控制等多方面综合评价,并最终给出大气环境影响可行性的结论。
使用AERMOD模式计算环境敏感区的环境影响,从计算结果中可分析出( )。
AERMOD是一个稳态烟羽扩散模式,可基于大气边界层数据特征模拟点源、面源、体源等排放出的污染物在短期(小时平均、日平均)、长期(年平均)的浓度分布,适用于农村或城市地区、简单或复杂地形。模式使用每小时连续预处理气象数据模拟大于等于1小时平均时间的浓度分布。AERMOD包括两个预处理模式,即AERMET气象预处理和AERMAP地形预处理模式。从其计算结果可分析出典型的气象条件。
公路建设项目对动物的影响分析,应重点关注的问题是( )。
动物栖息地和迁徙路线的调查重点关注建设项目对动物栖息地和迁徙路线的切割作用,导致动物生境的破碎化,种群规模的变小,繁殖行为受到影响,近亲繁殖的可能性增加,动物的存活和进化受到影响。
将4台水泵,每台A计权声功率级为80dB(A),等效为一个开阔地面的点声源,在只考虑几何发散衰减情况下,距该等效点声源中心10米处的声级为( )dB(A)。
利用查表法计算可知,这四台水泵的等效声源声级为86dB。又此等效声源处于半自由空间,r处的A声级可由公式LA(r)=LWA-20lgr-8求得,则代入数据计算可得:LA(r)=58dB。
孔隙被液体全部占据的多孔介质称为( )。
多孔介质是一种由固、液、气三相组成的多相物质。固相被称为固体骨架,比表面积大;气相或者液相所占据的空间被称为孔隙。孔隙的空间分布较为均匀,但比较狭窄。当孔隙全部被液体占据时,称此时的多孔介质为饱和状态,若孔隙中还有气相存在则叫非饱和状态。
海水中污染物的混合扩散中,溢油在海面上的变化是极其复杂的,其中有( )等,同时与当地海区气象条件、海水运动有着直接的关系。
溢油在海面上的变化是极其复杂的。其中有物理过程、化学过程和生物过程等,同时与当地海区气象条件、海水运动有着直接的关系。溢油动力学过程一般划分为扩展过程和漂移过程。
河流水质模型参数的确定方法包括( )。
河流水质模型参数的确定方法包括:①公式计算和经验估值;②室内模拟实验测定;③现场实测;④水质数学模型率定。
地下水环境污染物运移预测中,数值法适用于( )的地下水系统。
对于地下水环境污染物运移预测,数值法的适用条件为:复杂边界条件、含水层非均质、多个含水层的地下水系统。
关于环境要素,下列说法正确的是( )。
环境要素也称作环境基质,是构成人类环境整体的各个独立的、性质不同的而又服从整体演化规律的基本物质组分。通常是指自然环境要素,包括大气、水、生物、岩石、土壤以及声、光、放射性、电磁辐射等。环境要素组成环境的结构单元,环境结构单元组成环境整体或称为环境系统。
生产系统危险性识别,包括( )。
生产系统危险性识别,包括主要生产装置、储运设施、公用工程和辅助生产设施,以及环境保护设施等。
下列内容中,属于污染源核算方法的有( )。
污染源核算方法包括:物料衡算法;类比法;实测法;产污系数法;排污系数法;实验法等。
生态影响型项目工程分析中环境保护方案分析的内容有( )。
环境保护方案分析至少应有以下五个方面内容:①施工和运营方案合理性分析;②工艺和设施的先进性和可靠性分析;③环境保护措施的有效性分析;④环保设施处理效率合理性和可靠性分析;⑤环境保护投资估算及合理性分析。
分析工业污染型项目总图布置方案合理性时,应考虑( )。
分析工业污染型项目总图布置方案合理性时,应考虑的内容有:①分析厂区与周围的保护目标之间所定卫生防护距离的可靠性;②根据气象、水文等自然条件分析工厂和车间布置的合理性;③分析对周围环境敏感点处置措施的可行性;④在总图上标示建设项目主要污染源的位置。
下列关于公众参与的说法,正确的有( )。
A项,征求公众意见的期限不得少于10日;D项,公众参与调查范围应该不小于建设项目环境影响评价的评价范围。
对于一个选址符合环保要求的拟建垃圾填埋场,控制和预防地下水污染的措施包括( )。
填埋场衬层系统是防止废物填埋处置污染环境的关键工程屏障。根据渗滤液收集系统、防渗系统和保护层、过滤层的不同组合,填埋场的衬层系统有不同的结构。应重点评价填埋场所选用的衬层(类型、材料、结构)防渗性能及其在废物填埋需要的安全处置期内的可靠性是否满足:①封闭渗滤液于填埋场之中,使其进入渗滤液收集系统;②控制填埋场气体的迁移,使填埋场气体得到有控制释放和收集;③防止地下水进入填埋场中,增加渗滤液的产生量。题目中四项措施均可控制和预防地下水污染。
固体废物种类繁多,按废物来源可分为( )。
固体废物种类繁多,按其污染特性可分为一般废物和危险废物。按废物来源又可分为城市固体废物、工业固体废物和农业固体废物。农副产品加工产生的废物属于农业固体废物。
进行生态影响评价应充分重视( )。
生态保护措施的基本要求规定,建设项目环境影响评价基本服务于三个目的:①明确开发建设者的环境责任;②对建设项目环保工程设计提出具体要求和提供科学依据;③为各级环保行政管理部门实行对项目的环境管理提供科学依据和具有法律约束力的文件。从达到第一个目的出发,评价中需阐明所有直接影响,并针对所产生的影响提出环保措施。为达到第二个目的,需增加评价的科学性和考虑措施的技术可行性。为达到第三个目的,则除了上述要求外,还应评价建设项目的间接影响,考查其区域性影响和阐明区域可持续发展的有关问题,将建设项目管理纳入区域和流域的环境管理框架中,对所提措施进行替代方案论证、技术经济论证,并提出一系列政策与管理措施。
下列选项中,属于项目的特征污染物的有( )。
项目的特征污染物是指国家规定的污染物排放总量控制指标未包括但又是项目排放的主要污染物,如电解铝、磷化工排放的氟化物,氯碱化工排放的氯气、氯化氢等。这些污染物虽然不属于国家规定的污染物排放总量控制指标,但由于其对环境影响较大,又是项目排放的特有污染物,所以必须作为项目的污染物排放总量控制指标。
属于地下水污染水力控制技术方法的有( )。
方法型。高频考点。水力控制技术包括抽注地下水(B)、排出地下水(A)、设置低渗透性屏障。
对鼓风机噪声可采取的治理方法有( )。
降低噪声的工程措施大致有:①对以振动、摩擦、撞击等引发的机械噪声,一般采取隔振、隔声措施;②对由空气柱振动引发的空气动力性噪声的治理,一般采用安装消声器的措施;③对某些用电设备产生的电磁噪声,一般是尽量使设备安装远离人群,一是保障电磁安全,二是利用距离衰减降低噪声;④针对环境保护目标采取的环境噪声污染防治技术工程措施,主要是以隔声、吸声为主的屏蔽性措施,以使保护目标免受噪声影响。
下列污水好氧生物处理方法中,属于生物膜法的有( )。
生物膜法是指与活性污泥法并列的一类废水好氧生物处理技术,是一种固定膜法。主要用于去除废水中溶解性的和胶体状的有机污染物,属于生物膜法的有生物接触氧化法、生物滤池、曝气生物滤池。BD两项属于活性污泥法。
下列哪些地区不得使用污水土地处理( )。
用污水土地处理时,应根据土地处理的工艺形式对污水进行预处理。在集中式给水水源卫生防护带,含水层露头地区,裂隙性岩层和熔岩地区,不得使用污水土地处理。地下水埋深小于1.5m地区不应采用污水土地处理工艺。
生活垃圾焚烧炉污染控制的主要技术性能指标有( )。
根据《生活垃圾焚烧污染控制标准》(GB 18485—2014)规定,生活垃圾焚烧炉污染控制的主要技术性能指标有炉膛内焚烧温度、炉膛内烟气停留时间和焚烧炉渣热灼减率。
据生物处理过程中起作用的微生物对氧气要求不同,可以把固体废物堆肥分为( )。
根据生物处理过程中起作用的微生物对氧气要求不同,可以把固体废物堆肥分为好氧堆肥化和厌氧堆肥化。好氧堆肥是在通风条件下,有游离氧存在时进行的分解发酵过程,由于堆肥堆温高,一般在55~65℃,有时高达80℃,故亦称高温堆肥化。厌氧堆肥是利用厌氧微生物发酵造肥。
当声源为固定声源时,现状测点应重点布设在( )。
当声源为固定声源时,现状测点应重点布设在既可能受到现有声源影响,又受到建设项目声源影响的敏感目标处,以及有代表性的敏感目标处;为满足预测需要,也可在距离现有声源不同距离处加密设监测点,以测量出噪声随距离的衰减。
实测统计代表值获取的方法有( )。
实测统计代表值获取的方法有:①极值法,某水质因子的监测数据量少,水质浓度变幅大;②均值法,某水质因子的监测数据量多,水质浓度变幅较小;③内梅罗法,某水质因子有一定的监测数据量,水质浓度变幅较大。
自然环境调查时,下列属于地质状况的有( )。
自然环境调查时,对于建设项目有直接关系的地质构造,如断层、断裂、坍塌、地面沉陷、地震等都属于地质状况。C项,岩溶地貌属于地形地貌;D项,行政区位置属于地理位置。
根据埋藏条件和含水介质类型,地下水类型可划分为( )。
赋予不同岩层的地下水,由于其含水介质特征的不同,具有不同的分布与运动特点,按含水介质(空隙)类型分类,可分为孔隙水、裂隙水和岩溶水三类;按埋藏条件分类可分为包气带水、潜水和承压水。
某医院建设项目,在噪声现状调查时应给出医院用地边界处的评价量包括( )。
等效连续A声级是应用较广泛的环境噪声评价量,我国制定的《声环境质量标准》《工业企业厂界环境噪声排放标准》《建筑施工场界噪声限值》《铁路边界噪声限值和测量方法》和《社会生活环境噪声排放标准》等项环境噪声排放标准,均采用该评价量作为标准,只是根据环境噪声实际变化情况确定不同的测量时间段,将其测量结果代表某段时间的环境噪声状况。昼间时段测得的等效声级称为昼间等效连续A声级(Ld),夜间时段测得的声级称为夜间等效连续A声级(Ln)。
水力滞留时间是( )水文调查应获取的重要参数。[2009年真题]
湖泊、水库根据评价等级、湖泊和水库的规模决定工作内容,其中主要有:湖泊、水库的面积和形状,应附有平面图;丰水期、平水期、枯水期的划分;流入、流出的水量;水力滞留时间或交换周期;水量的调度和储量;水深;水温分层情况及水流状况(湖流的流向和流速,环流和流向、流速及稳定时间)等。如采用数学模式预测时,其具体调查内容应根据评价等级及湖泊、水库的规模按照水质模式参数的需要来决定。
土壤环境影响源调查方法主要有( )。
土壤环境影响源调查方法主要有:资料收集法、现场踏勘法、人员访谈法。
地下水环境现状调查与评价中,水文地质参数的确定方法主要有( )。
确定水文地质参数的方法可以概括为两类:①用水文地质试验法(如野外现场抽水试验、注水试验、渗水试验及室内渗压试验、达西试验、弥散试验等),这种方法可以在较短的时间内求出含水层参数而得到广泛应用;②利用地下水动态观测资料来确定,是一种比较经济的水文地质参数测定方法,并且测定参数的范围比前者更为广泛,可以求出一些用抽水试验不能求得的一些参数。
生态现状调查评价中,利用“3S”技术中的遥感影像可调查的内容有( )。
广义来讲,遥感是指通过任何不接触被观测物体的手段来获取信息的过程和方法。遥感为景观生态学研究和应用提供的信息包括:地形、地貌、地面水体植被类型及其分布、土地利用类型及其面积、生物量分布、土壤类型及其水体特征、群落蒸腾量、叶面积指数及叶绿素含量等。既然地形、地貌、土地利用类型都可利用遥感得到,自然保护区的边界和范围自然可以得到。C项,种群结构是指种群密度、年龄构成、性别比例、出生率与死亡率等信息,仅仅依靠遥感技术是无法对其进行调查的。
环境影响经济损益分析时,从( )方面筛选环境影响。
环境影响经济损益分析时需要筛选环境影响,因为并不是所有环境影响都需要或可能进行经济评价。一般从四个方面来筛选环境影响,主要包括:①影响是否是内部的或已被控抑;②影响是小的或不重要的;③影响是否不确定或过于敏感;④影响能否被量化和货币化。
在费用效益分析中,考察项目对环境影响的敏感性时,可以考虑分析的指标或参数是( )。
费用效益分析中,考察项目对环境影响的敏感性时,可以考虑分析的指标或参数有:①贴现率(10%,8%,5%);②环境影响的价值(上限、下限);③市场边界(受影响人群的规模大小);④环境影响持续的时间(超出项目计算期时);⑤环境计划执行情况(好、坏)。
在环境影响程度的识别中,通常按( )个等级来定性地划分影响程度。
在环境影响程度的识别中,通常按3个等级或5个等级来定性地划分影响程度。如按5级划分不利环境影响,则可以分为:①极端不利;②非常不利;③中度不利;④轻度不利;⑤微弱不利。
某铁路工程施工中改变一处车站选址,整体项目竣工环境保护验收生态调查应包括( )。
生态调查的主要内容有:①建设项目在施工、运行期落实环境影响评价文件、初步设计文件以及行业主管部门、各级环境保护行政主管部门批复文件所提生态保护措施的情况。②建设项目已采取的生态保护、水土保持措施实施效果。③开展公众意见调查,了解公众对项目建设期、施工期、运营期环境保护工作的满意度,对当地经济、社会、生活的影响。④针对建设项目已产生的环境影响或潜在的环境影响提出补救措施或应急措施。车站改变了选址,则整体项目竣工环境保护验收生态调查还应包括车站改址的情况、改址后的车站环境影响评价。
大气环境影响预测情景设置主要考虑的内容有污染源类别和( )。
大气环境影响预测情景根据预测内容设定,一般考虑五个方面的内容:污染源类别、排放方案、预测因子、气象条件、计算点。
生态风险评价的内容有( )。
生态风险评价的内容包括:①生态风险评价标准的确定;②生态风险源分析;③生态风险传递路径分析;④生态风险受体分析;⑤生态风险表征;⑥生态风险决策;⑦生态风险监测;⑧生态风险管理。
位于声源和预测点之间的实体障碍物,如( )等起声屏障作用,从而引起声能量的较大衰减。
计算声屏障引起衰减的方法较多,位于声源和预测点之间的实体障碍物,如围墙、建筑物、土坡或地堑等起声屏障作用,从而引起声能量的较大衰减。在环境影响评价中,可将各种形式的屏障简化为具有一定高度的薄屏障。
公路、铁路噪声环境影响评价内容需包括( )。
公路、铁路噪声环境影响评价内容需着重分析、说明的问题有:①针对项目建设期和不同运行阶段,评价沿线评价范围内各敏感目标(包括城镇、学校、医院、集中生活区等),按标准要求预测声级的达标及超标状况,并分析受影响人口的分布情况;②对工程沿线两侧的城镇规划中受到噪声影响的范围绘制等声级曲线,明确合理的噪声控制距离和规划建设控制要求;③结合工程选线和建设方案布局,评述其合理性和可行性,必要时提出环境替代方案;④对提出的各种噪声防治措施需进行经济技术论证,在多方案比选后规定应采取的措施并说明措施降噪效果。
有限长线声源的长度为l0,已知在线声源垂直平分线上距声源r0处的声级为l0(r0),按r0、r和l0之间的不同关系,计算垂直平分线上距声源r处的声级的公式可近似为( )。
有限长线声源的远场、中场和近场的三个近似计算公式如下。设线声源长为l0,单位长度线声源辐射的声功率级为Lw。在线声源垂直平分线上距声源r处的声级为:

或

①当r>l0且r0>l0时,上式近似简化为:Lp(r)=Lp(r0)-20lg(r/r0)。即在有限长线声源的远场,有限长线声源可当做点声源处理。
②当r<l0/3且r0<l0/3时,上式可近似简化为:Lp(r)=Lp(r0)-10lg(r/r0)。即在近场区,有限长线声源可当做无限长线声源处理。
③当l0/3<r<l0,且l0/3<r0<l0时,可以作近似计算:Lp(r)=Lp(r0)-15lg(r/r0)。
煤和石油中的一些微量元素以( )形式释放。
存在于煤和石油中的一些微量元素,如Cd、Zn、As和Cu等经工业燃烧,以飘尘、灰、颗粒物或气体形式释放。此外,一些金属如硒、铅、钼等,被加入燃料或润滑剂中以改善其性质,都是加剧土壤重金属污染的因素。
对植物根系吸收污染物有影响的包括( )。
植物根系的吸收功能对土壤中水分与污染物的迁移转化有重要的影响。根系的吸收特性、生长与分布状况,土壤环境条件和土壤污染物的浓度特性影响着根系对污染物的吸收。
以下应列为生态敏感保护目标的有( )。
生态影响评价中,敏感保护目标的判别方法见表。

您目前分数偏低,基础较薄弱,建议加强练习。