抗震设计的钢框架-支撑体系房屋,下列支撑形式何项不宜采用?( )

《建筑抗震设计规范》(GB 50011—2010)(2016年版)第8.1.6条第3款规定,中心支撑宜采用交叉支撑,也可采用人字支撑或单斜杆支撑,不宜采用K形支撑。A项为交叉支撑,B项为单斜杆支撑,C项为人字形支撑,D项为K形支撑。
图示结构零杆数量为( )。

结构中两根水平杆和一根竖杆构成T型结点,当结点处无外力作用时,T型结点的竖杆为零杆。该结构中仅两个T型结点,共2根零杆。其他杆件根据受力平衡分析均有内力。
图示说法正确的是( )。

AB段为基础结构,BD段为附属结构,先算BD段。对B点取矩,可得D支座反力为0,A项错误。取CD段为隔离体,由于CD段无支座力,因此无内力,D项错误。在B点左侧切开,取BD段为隔离体,根据竖向受力平衡,B点左侧剪力为0,故AB段无内力,排除C项。
图示A点的支座反力为( )。

该结构为静定结构,根据弯矩平衡,对B点取矩,由∑MB=0,即P×a-RA×a=0,解得RA=P。
图示结构A支座的反力是( )。

根据静定结构弯矩平衡,对左侧支座取矩,由∑M=0,P×2a-RA×a=0,解得RA=2P。
在P作用下,A点支座反力为(上为正)( )。

解法一:本结构为静定的连续梁结构,AB段为附属结构,BC段为基础结构,由于荷载作用在基础结构上,附属结构无内力,即A点支座反力为0。解法二:对AB梁进行受力分析,对B点取矩,弯矩为0,故A点支座力为0。
减小A点竖向位移,最有效的是增加哪根杆刚度EI?( )

该结构为超静定结构,对于BD、CE、BC杆,两端刚接,增大这些杆件的刚度,对A点竖向位移影响甚微,而AB段为一段悬臂杆,由于A端无侧向约束,因此A点竖向位移受AB段刚度影响显著,应增加AC杆刚度。
关于我国的混凝土强度,正确的结论是( )。
根据《混凝土结构设计规范》(GB 50010—2010)(2015年版)第4.1.1条规定,混凝土强度等级由立方体抗压强度标准值确定,立方体抗压强度标准值fcu,k是本规范混凝土各种力学指标的基本代表值。混凝土强度等级的保证率为95%:按混凝土强度总体分布的平均值减去1.645倍标准差的原则确定。
钢混凝土组合楼盖,充分发挥了钢材和混凝土哪些性能?( )
混凝土结构中,钢材主要用于抗拉,混凝土用于抗压。
下列钢材中,不宜用于焊接钢结构的是( )。
根据《钢结构设计标准》(GB 50017—2017)第4.3.3条第1款规定,A级钢仅可用于结构工作温度高于0℃的不需要验算疲劳的结构,且Q235A钢不宜用于焊接结构。
与原木强度设计值无关的是( )。
根据《木结构设计标准》(GB 50005—2017)第4.3.1条第2款规定,木材的强度设计值及弹性模量应按表4.3.1-3(见表2)的规定采用。由表可知,防火性能与原木强度设计值无关。
表2 方木、原木等木材的强度设计值和弹性模量(N/mm2)

防止砌体结构房屋的墙体开裂措施,无效的是( )。
根据《砌体结构设计规范》(GB 50003—2011)第6.5.2条规定,房屋顶层墙体,宜根据情况采取下列措施:①屋面应设置保温、隔热层;②屋面保温(隔热)层或屋面刚性面层及砂浆找平层应设置分隔缝,分隔缝间距不宜大于6m,其缝宽不小于30mm,并与女儿墙隔开;③采用装配式有檩体系钢筋混凝土屋盖和瓦材屋盖;④顶层屋面板下设置现浇钢筋混凝土圈梁,并沿内外墙拉通,房屋两端圈梁下的墙体内宜设置水平钢筋;⑤顶层墙体有门窗等洞口时,在过梁上的水平灰缝内设置2~3道焊接钢筋网片或2根直径6mm钢筋,焊接钢筋网片或钢筋应伸入洞口两端墙内不小于600mm;⑥顶层及女儿墙砂浆强度等级不低于M7.5(Mb7.5、Ms7.5);⑦女儿墙应设置构造柱,构造柱间距不宜大于4m,构造柱应伸至女儿墙顶并与现浇钢筋混凝土压顶整浇在一起;⑧对顶层墙体施加竖向预应力。
根据《砌体结构设计规范》(GB 50003—2011)第6.5.3条规定,房屋底层墙体,宜根据情况采取下列措施:①增大基础圈梁的刚度;②在底层的窗台下墙体灰缝内设置3道焊接钢筋网片或2根直径6mm钢筋,并应伸入两边窗间墙内不小于600mm。
抗震设防的框架结构设计中不能随意增加计算或者构造所需的钢筋面积,下列钢筋中增加钢筋面积反而有可能降低结构抗震能力的是( )。
结构设计中,要遵守“强柱弱梁”“强剪弱弯”“强结点弱构件”的设计原则,分析如下:①柱破坏将导致结构整体破坏,所以应满足“强柱弱梁”设计原则;②剪切破坏是脆性破坏,弯曲破坏是塑性破坏,构件设计时应避免发生脆性破坏,故应满足“强剪弱弯”设计原则,以保证构件的脆性破坏滞后于弯曲破坏;③构件的结点区域是受力关键部位,受力复杂,易发生破坏,一旦破坏影响大,故应满足“强结点弱构件”原则。D项,“增加梁端受拉钢筋面积”违反强柱弱梁的设计原则。
下列无梁楼盖顶面布置局部荷载,对楼板受力影响最小的是( )。

越靠近框架柱,对楼板受力影响最小。故本题中,对于无梁楼盖顶面布置局部荷载,对楼板受力影响最小的是C选项。
下列转换结构,竖向变形最小的是( )。

D项,转换构件通过斜撑直接将力传递到柱上。ABC三项均是通过梁或桁架,二次传力到竖向构件。故竖向变形最小的是D选项。
下面框架-剪力墙布置最合理的是( )。

根据《高层建筑混凝土结构技术规程》(JGJ 3—2010)第8.1.5条规定,框架-剪力墙结构应设计成双向抗侧力体系;抗震设计时,结构两主轴方向均应布置剪力墙。
第8.1.7规定,框架-剪力墙结构中剪力墙的布置宜符合下列规定:①剪力墙宜均匀布置在建筑物的周边附近、楼梯间、电梯间、平面形状变化及恒载较大的部位,剪力墙间距不宜过大;②平面形状凹凸较大时,宜在凸出部分的端部附近布置剪力墙;③纵、横剪力墙宜组成L型、T型和槽型等形式;④单片剪力墙底部承担的水平剪力不应超过结构底部总水平剪力的30%;⑤剪力墙宜贯通建筑物的全高,宜避免刚度突变;剪力墙开洞时,洞口宜上下对齐;⑥楼、电梯间等竖井宜尽量与靠近的抗侧力结构结合布置;⑦抗震设计时,剪力墙的布置宜使结构各主轴方向的侧向刚度接近。
即框架-剪力墙布置应符合双向、均匀、对称的原则。
为减小温度变化,混凝土收缩对超长混凝土结构的影响,下列措施无效的是( )。
根据《高层建筑混凝土结构技术规程》(JGJ 3—2010)第3.4.13条规定,提高配筋率可以减小温度和收缩裂缝的宽度,并使其分布较均匀,避免出现明显的集中裂缝;在普通外墙设置外保温层是减少主体结构受温度变化影响的有效措施。
我国建筑工程抗震设防类别划分,正确的是( )。
根据《建筑工程抗震设防分类标准》(GB 50223—2008)第3.0.2条规定,建筑工程应分为以下四个抗震设防类别:①特殊设防类:指使用上有特殊设施,涉及国家公共安全的重大建筑工程和地震时可能发生严重次生灾害等特别重大灾害后果,需要进行特殊设防的建筑。简称甲类。②重点设防类:指地震时使用功能不能中断或需尽快恢复的生命线相关建筑,以及地震时可能导致大量人员伤亡等重大灾害后果,需要提高设防标准的建筑。简称乙类。③标准设防类:指大量的除1、2、4款以外按标准要求进行设防的建筑。简称丙类。④适度设防类:指使用上人员稀少且震损不致产生次生灾害,允许在一定条件下适度降低要求的建筑。简称丁类。
关于我国建筑主体结构基本抗震设防目标,下列正确的是( )。
我国现阶段房屋建筑采用三水准的抗震设防目标,即:①第一目标——小震不坏。当遭受低于本地区地震基本烈度的多遇地震影响时,一般不受损坏或不修理可继续使用。②第二目标——中震可修。当遭受相当于本地区地震基本烈度的地震影响时,可能损坏,经一般修理或不需修理仍可继续使用。③第三目标——大震不倒。当遭受高于本地区抗震设防烈度预估的罕遇地震时,不致倒塌或发生危及生命的严重破坏。
高层采用部分框支剪力墙结构,托墙转换梁承受剪力较大,下列做法不正确的是( )。
当托墙转换梁承受剪力较大时可以采取提高抗剪承载力的措施包括:①转换梁端部加腋;②适当加大转换梁截面;③转换梁端部加型钢。由于转换梁上部相邻层的墙体非常重要,应力分布复杂,所以这层墙不宜开洞。
某建筑物高度100m,立面收进如下图所示,属于竖向不规则的是(图中单位为mm)( )。
?A.
?B.
?C.
?D.
根据《高层建筑混凝土结构技术规程》(JGJ 3—2010)第3.5.5条规定,抗震设计时,当结构上部楼层收进部位到室外地面的高度H1与房屋高度H之比大于0.2时,上部楼层收进后的水平尺寸B1不宜小于下部楼层水平尺寸B的75%(图3.5.5a、b)(见图17);当上部结构楼层相对于下部楼层外挑时,上部楼层水平尺寸B1不宜大于下部楼层的水平尺寸B的1.1倍,且水平外挑尺寸α不宜大于4m(图3.5.5c、d)。

图16 结构竖向收进和外挑示意A项,25000/100000=0.25>0.2;35000/50000<0.75。
某土层的地基承载力特征值fak=50kPa,可能的土层是( )。
根据《建筑抗震设计规范》(GB 50011—2010)(2016年版)第4.4.1条第1款规定,承受竖向荷载为主的低承台桩基,当地面下无液化土层,且桩承台周围无淤泥、淤泥质土和地基承载力特征值不大于100kPa的填土时,下列建筑在6~8度设防时可不进行桩基抗震承载力验算:①一般的单层厂房和单层空旷房屋;②不超过8层且高度在24m以下的一般民用框架房屋;③基础荷载与上一项相当的多层框架厂房和多层混凝土抗震墙房屋。本题中,土层的地基承载力特征值fak=50kPa<100kPa,因此可能为淤泥质土。
三层砌体住宅,无地下室,地面以下为10m低压缩性粉土,再往下为卵石层,问采用什么基础形式?( )
B项,土质良好,低层砌体建筑采用条形基础。A项,独立基础一般适用于楼层较矮的多层框架结构房屋。C项,在软土地基上,用柱下条形基础或柱下十字交梁条形基础不能满足上部结构对变形的要求和地基承载力的要求时,可采用筏形基础。D项,桩基的作用在于穿越软弱的高压缩性土层或水,将桩所承受的荷载传递到更硬、更密实或压缩性较小的地基持力层上。
求B点右侧弯矩( )。

取右侧悬臂部分为隔离体,则可直接求取B点右侧弯矩为M=4×4×2-4×4=16kN·m(逆时针方向)。
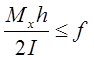
简支工字梁截面钢梁在均布荷载作用下绕强轴弯矩设计值Mx=114.0kN·m,钢材牌号Q235B,f=215N/mm2,不考虑截面塑性发展系数,至少应选用的工字钢型号为( )。
(
,
,h为截面高度,γx=1.0)
由
,可得:
。
当取h为28时,I≥114×106×280/(2×215)=7423×104mm4=7423cm4。故选择B项。
图示结构在外力作用下,零杆数量为( )。

结构中两根水平杆和一根竖杆构成T型结点,当结点处无外力作用时,T型结点的竖杆为零杆。因此,首先可判断荷载左侧第一根竖杆为零杆,去掉零杆后可得到一个新的T型结点,因此斜杆为零杆,以此逐个判断,最后一根零杆是连接支座的竖杆,可得到共5根零杆。
下图中多余约束数量为( )。
图3
解法一:结构中有3个刚片,两端铰接。若刚片跨中插入一个铰,可得到3个二元体,即为静定结构。由于添加一个铰等于撤去一个约束,故多余约束数为3。解法二:由于一个铰有两个约束,因此从左边第一个铰到第三个铰,依次去掉水平约束,可将左边两个刚片变成附属结构,右边一个刚片变成基础结构,整个结构即为静定结构。总共去掉了3个水平约束,因此多余约束数为3。
下图的超静定次数为( )。

解法一:计算自由度法,即W=2j-b,其中,j为系统自由度数,b为链杆数,连接n个铰结点的复链杆相当于(2n-3)个单链杆。该结构有7个铰结点,即j=7;结构上方横杆连接了5个铰结点,则相当于2×5-3=7个单链杆,剩下单链杆数(加上支座链杆)为10,则计算自由度W=7×2-7-10=-3。由于结构为几何不变体系,因此超静定次数为0-(-3)=3次。
解法二:在上方横杆中间与三个铰结点的连接处各插入一个铰,即可将结构变成静定的桁架结构。由于刚结点变成铰结点相当于撤去一个约束,因此共撤去了3个约束,即原结构有3次超静定。
如图所示,正确的弯矩图是( )。


根据荷载集度q与弯矩图形状的关系可知,在均布荷载作用下弯矩图为抛物线,据此可判断B项正确。
图示弯矩图,正确的是( )。


根据受力平衡可知,左侧支座不受水平力作用,因此左侧竖杆无弯矩,排除AD两项。右支座受到向左的水平反力,竖杆右侧受拉,因此B项正确。
图示结构在外力作用下,正确的轴力图是( )。


根据静定结构受力分析可知,结构左侧竖杆受到拉力作用,且拉力处处相等,而剪力是递增的,由此本题选择A项。
使A点位移减小的最有效措施是增大( )。

该结构为超静定刚架,影响刚架侧移的主要因素是竖杆的抗弯刚度,即EI1,因此选择A项。另外,还可以采用极限的思想,如果EI2、EA1、EA2都为零,此时刚架受EI1的约束会产生有限的侧移,而若EI1为零,则刚架会向右侧移坍塌到地上,因此A点位移受EI1影响最大。
圆弧拱结构高h小于半径r,荷载P作用下,下列说法正确的是( )。

若拱具有合理拱轴线,则在荷载作用下,拱各截面上只有轴力而无弯矩和剪力作用。本题结构为普通拉杆拱,不是合理拱轴线,因此拱中有轴力、弯矩、剪力。合理拱轴线的计算方法如下:根据弯矩为零的条件∑M=M0-FHy=0,可得合理拱轴线的纵坐标y=M0/FH,FH为拱的水平推力。
图示刚架结构支座A向左发生水平滑移,在结构中形成的弯矩图,正确的是( )。


该结构为对称刚架,若左侧支座发生侧移,刚架内产生的弯矩应该是左右对称的,此外竖杆中点为反弯点,因此选择A项。
关于砌体弹性模量,正确的是( )。
根据《砌体结构设计规范》(GB 50003—2011)第3.2.5条第1款规定,砌体的弹性模量,按表3.2.5-1(见表1)采用。由表可知,砌体的弹性模量与砂浆强度等级和砌体种类有关,故C项正确。
表1 砌体的弹性模量(MPa)

混凝土叠合板中,预应力预制底板的混凝土强度等级宜采用( )。
根据《装配式混凝土结构技术规程》(JGJ 1—2014)第4.1.2条规定,预制构件的混凝土强度等级不宜低于C30;预应力混凝土预制构件的混凝土强度等级不宜低于C40,且不应低于C30;现浇混凝土的强度等级不应低于C25。
电梯机房吊环选用( )。
根据《混凝土结构设计规范》(GB 50010—2010)(2015年版)第9.7.6条规定,吊环应采用HPB300钢筋或Q235B圆钢。
提高钢筋混凝土截面受弯件刚度最有效的是( )。
抗弯刚度与EI有关,E为弹性模量,I为材料横截面对弯曲中性轴的惯性矩,对于矩形截面,
。提高弯曲刚度,即使得EI增大。因此,增加构件截面的有效高度是提高混凝土受弯构件抗弯刚度最有效的措施。
地下室底板抗渗措施中,无效的是( )。
混凝土的抗渗性能主要决定于混凝土的密实度,而对混凝土密实度起控制作用的是水胶比和胶材用量,增加底板厚度也有作用。
下列同等截面受压构件中,能显著提高混凝土抗压性能的是( )。
对于钢管混凝土:圆形钢管对内部混凝土的约束比方形钢管更好,故圆形钢管混凝土柱的承载力大于方形钢管混凝土柱。四个选项中,承载力由大到小顺序为:圆形钢管混凝土柱>方形钢管混凝土柱>型钢混凝土柱>普通钢筋混凝土柱。故轴心抗压承载力相同时,所需截面积最小的为圆形钢管混凝土柱。
关于钢材选用的说法不对的是( )。
根据《钢结构设计标准》(GB 50017—2017)第4.3.2条规定,承重结构所用的钢材应具有屈服强度、抗拉强度、断后伸长率和硫、磷含量的合格保证,对焊接结构尚应具有碳当量的合格保证。焊接承重结构以及重要的非焊接承重结构采用的钢材应具有冷弯试验的合格保证;对直接承受动力荷载或需验算疲劳的构件所用钢材尚应具有冲击韧性的合格保证。
自然地面以下砌体不宜采用( )。
根据《砌体结构设计规范》(GB 50003—2011)第4.3.5条第1款表4.3.5注1规定,在冻胀地区,地面以下或防潮层以下的砌体,不宜采用多孔砖,如采用时,其孔洞应用不低于M10的水泥砂浆预先灌实。当采用混凝土空心砌块时,其孔洞应采用强度等级不低于Cb20的混凝土预先灌实。
工字钢腹板开孔,错误的是( )。
根据《钢结构设计标准》(GB 50017—2017)第6.5.2条第5款规定,不应在距梁端相当于梁高范围内设孔,抗震设防的结构不应在隅撑与梁柱连接区域范围内设孔。
根据第6.5.2条第1款规定,圆孔孔口直径不宜大于梁高的0.70倍,矩形孔口高度不宜大于梁高的0.50倍,矩形孔口长度不宜大于梁高及3倍孔高。
40米跨度的主桁架,侧向支撑间距为12米,节间长度4米,钢材用量最少的受压弦杆截面形式为( )。
根据题干信息,已经有侧向支撑,可保证H型钢面外稳定性。故选用工字型钢材。
在风荷载和多遇地震作用下,用弹性方法计算层间位移与层高的比值限制最大的是( )。
根据《钢管混凝土结构技术规程》(CECS 28:2012)第4.3.8条规定,钢管混凝土结构在风荷载和多遇地震作用下按弹性方法计算的楼层内最大的层间位移与层高的比值Δu/h宜符合下列规定:①高度不大于150m时,其Δu/h不宜大于表4.3.8的限值。②高度不小于250m时,框架-中心支撑和框架-偏心支撑结构的Δu/h不宜大于1/250,其他结构类型的Δu/h不宜大于1/500。③高度在150m~250m之间时,其Δu/h的限值可取本条第1款和第2款的限值线性插值。
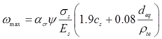
钢筋混凝土矩形受弯柱,为减少裂缝,最有效的是( )。
根据《混凝土结构设计规范》(GB 50010—2010)(2015年版)第7.1.2条规定,在矩形、T形、倒T形和I形截面的钢筋混凝土受拉、受弯和偏心受压构件及预应力混凝土轴心受拉和受弯构件中,按荷载标准组合或准永久组合并考虑长期作用影响的最大裂缝宽度可按下列公式计算:

式中,αcr为构件受力特征系数;ψ为裂缝间纵向受拉钢筋应变不均匀系数;σs为按荷载准永久组合计算的钢筋混凝土构件纵向受拉普通钢筋应力或按标准组合计算的预应力混凝土构件纵向受拉钢筋等效应力;Es为钢筋的弹性模量,按本规范表4.2.5采用;cs为最外层纵向受拉钢筋外边缘至受拉区底边的距离;deq为受拉区纵向钢筋的等效直径;ρte为按有效受拉混凝土截面面积计算的纵向受拉钢筋配筋率。
由公式可知,钢筋混凝土矩形受弯柱,为减少裂缝,最有效的是加大主筋配筋率。
框架梁的轴压比过大,不满足规范要求,以下效率最低的是( )。
根据《高层建筑混凝土结构技术规程》(JGJ 3—2010)第11.4.4条规定,抗震设计时,混合结构中型刚混凝土柱的轴压比不宜大于表11.4.4的限值,轴压比可按下式计算:μN=N/(fcAc+faAa)。
式中,μN为型钢混凝土柱的轴压比;N为考虑地震组合的柱轴向力设计值;Ac为扣除型钢后的混凝土截面面积;fc为混凝土的轴心抗压强度设计值;fa为型钢的抗压强度设计值;Aa为型钢的截面面积。
第6.4.2条规定,抗震设计时,钢筋混凝土柱轴压比不宜超过表6.4.2的规定;对于Ⅳ类场地上较高的高层建筑,其轴压比限值应适当减小。
在常用合理数值范围内,关于柱的延性说法正确的是( )。
根据《混凝土结构设计规范》(GB 50010—2010)(2015年版)第11.4.16条规定,一、二、三、四级抗震等级的各类结构的框架柱、框支柱,其轴压比不宜大于表11.4.16(见表3)规定的限值。对Ⅳ类场地上较高的高层建筑,柱轴压比限值应适当减小。
表3 轴压比限值

注:①轴压比指柱地震作用组合的轴向压力设计值与柱的全截面面积和混凝土轴心抗压强度设计值乘积之比值;
②当混凝土强度等级为C65、C70时,轴压比限值宜按表中数值减小0.05;混凝土强度等级为C75、C80时,轴压比限值宜按表中数值减小0.10;
③表内限值适用于剪跨比大于2、混凝土强度等级不高于C60的柱;剪跨比不大于2的柱轴压比限值应降低0.05;剪跨比小于1.5的柱,轴压比限值应专门研究并采取特殊构造措施;
④沿柱全高采用井字复合箍,且箍筋间距不大于100mm、肢距不大于200mm、直径不小于12mm,或沿柱全高采用复合螺旋箍,且螺距不大于100mm、肢距不大于200mm、直径不小于12mm,或沿柱全高采用连续复合矩形螺旋箍,且螺旋净距不大于80mm、肢距不大于200mm、直径不小于10mm时,轴压比限值均可按表中数值增加0.10;
⑤当柱截面中部设置由附加纵向钢筋形成的芯柱,且附加纵向钢筋的总截面面积不少于柱截面面积的0.8%时,轴压比限值可按表中数值增加0.05;此项措施与注④的措施同时采用时,轴压比限值可按表中数值增加0.15,但箍筋的配箍特征值λV仍应按轴压比增加0.10的要求确定;
⑥调整后的柱轴压比限值不应大于1.05。
故在常用合理数值范围内,A项“柱轴压比越小,延性越好”说法正确。
钢筋混凝土穿层受压柱长细比不宜过大,截面宜加大,其原因是( )。
穿层柱与普通柱相比,计算长度较大,稳定性较差,根据《混凝土结构设计规范》(GB 50010—2010)(2015年版)第6.2.15条规定,钢筋混凝土轴心受压构件,当配置的箍筋符合本规范第9.3节的规定时,其正截面受压承载力应符合下列规定:N≤0.9φ(fcA+fy′As′)。
式中,N为轴向压力设计值;φ为钢筋混凝土构件的稳定系数,按表6.2.15采用;fc为混凝土轴心抗压强度设计值,按本规范表4.1.4-1采用;A为构件截面面积;As′为全部纵向普通钢筋的截面面积。
由规范表6.2.15可知,稳定系数低,承载力降低。
关于钢筋混凝土梁箍筋作用的说法,不正确的是( )。
箍筋承担剪力以满足斜截面抗剪强度并使受力主筋与受压区混凝土共同工作,此外还起到固定主钢筋位置使构件内各种钢筋构成钢筋骨架的作用,同时也可提高梁的抗扭承载力。箍筋分单肢箍筋、开口矩形箍筋、封闭矩形箍筋、菱形箍筋、多边形箍筋、井字形箍筋和圆形箍筋等。
规定钢筋混凝土受弯构件的受剪截面限制条件(V≤0.25βcfcbh0)的目的是( )。
根据《混凝土结构设计规范》(GB 50010—2010)(2015年版)第6.3.1条。V≤0.25βcfcbh0体现了控制梁的剪压比。控制剪压比的大小等于控制梁的截面尺寸不能太小,配筋率不能太大和剪力不能太大。当配筋率大于最大配筋率时,会发生斜压破坏。因此控制剪压比是防止斜压破坏的措施。
桁架结构受力特征,正确的是( )。
框架结构特点:①所有杆件都是直杆;②杆件与杆件的连接——较接;③所有荷载均作用于节点上(较节点)。所有杆件仅受轴力,不是受拉就是受压。
与普通钢筋混凝土梁比,预应力混凝土梁的特点,错误的是( )。
预应力混凝土梁的特点包括:①抗裂性和抗渗性好,例如:受侵蚀性介质的工业厂房;②可充分利用高强度的材料,提高结构承载力,减轻自重,降低造价;③刚度大,变形小;④提高工程质量和结构耐久性。根据《混凝土结构设计规范》(GB 50010—2010)(2015年版)条文说明第11.8.4条规定,采用有粘结预应力筋和普通钢筋混合配筋的部分预应力混凝土是提高结构抗震耗能能力的有效途径之一。
关于高层抗震结构选型和布置,错误的是( )。
高层建筑层数较多且结构复杂,当发生地震时具有动力不确定性的特点,应尽量减轻结构自重。需要科学地布局建筑的平面与立面,在抗震设计中应尽可能规则和简洁,使刚度中心和结构的质量中心重合。高层建筑的竖向体型宜规则、均匀,结构的侧向刚度宜下大上小,逐渐均匀变化。B项,建筑物在地震作用下的破坏程度受局部地形条件影响,因此不能一味的加大结构刚度,故B项错误。
7度(0.15g)某30m钢筋混凝土框架结构,贴建15m钢框架结构房屋,防震缝宽度为( )。
根据《建筑抗震设计规范》(GB 50011—2010)(2016年版)第6.1.4条第1款规定,防震缝宽度应分别符合下列要求:①框架结构(包括设置少量抗震墙的框架结构)房屋的防震缝宽度,当高度不超过15m时不应小于100mm;高度超过15m时,6度、7度、8度和9度分别每增加高度5m、4m、3m和2m,宜加宽20mm;②框架-抗震墙结构房屋的防震缝宽度不应小于本款①项规定数值的70%,抗震墙结构房屋的防震缝宽度不应小于本款①项规定数值的50%;且均不宜小于100mm;③防震缝两侧结构类型不同时,宜按需要较宽防震缝的结构类型和较低房屋高度确定缝宽。根据第8.1.4条规定,钢结构房屋需要设置防震缝时,缝宽应不小于相应钢筋混凝土结构房屋的1.5倍。
7度(0.1g)地区的装配整体式混凝土房屋,高度36m,下列说法正确的是( )。
根据《装配式混凝土结构技术规程》(JGJ 1—2014)第6.1.8条规定,高层装配整体式结构应符合下列规定:①宜设置地下室,地下室宜采用现浇混凝土;②剪力墙结构底部加强部位的剪力墙宜采用现浇混凝土;③框架结构首层柱宜采用现浇混凝土,顶层宜采用现浇楼盖结构。
6度钢筋混凝土框架房屋,下列说法正确的是( )。
根据《高层建筑混凝土结构技术规程》第6.1.6条规定,框架结构按抗震设计时,不应采用部分由砌体墙承重之混合形式。框架结构中的楼、电梯间及局部出屋顶的电梯机房、楼梯间、水箱间等,应采用框架承重,不应采用砌体墙承重。
抗震设防烈度9度地区的高层建筑结构,下列说法错误的是( )。
根据《高层建筑混凝土结构技术规程》(JGJ 3—2010)第10.1.2条规定,带转换层的结构、带加强层的结构、错层结构、连体结构等,在地震作用下受力复杂,容易形成抗震薄弱部位。9度抗震设计时,这些结构目前尚缺乏研究和工程实践经验,为了确保安全,因此规定不应采用。
关于板柱-剪力墙结构的概念设计,下列说法错误的是( )。
根据《高层建筑混凝土结构技术规程》(JGJ 3—2010)第8.1.9条规定,板柱-剪力墙结构的布置应符合下列规定:①应同时布置筒体或两主轴方向的剪力墙以形成双向抗侧力体系,并应避免结构刚度偏心,其中剪力墙或筒体应分别符合本规程第7章和第9章的有关规定,且宜在对应剪力墙或筒体的各楼层处设置暗梁。②抗震设计时,房屋的周边应设置边梁形成周边框架,房屋的顶层及地下室顶板宜采用梁板结构。③有楼、电梯间等较大开洞时,洞口周围宜设置框架梁或边梁。④无梁板可根据承载力和变形要求采用无柱帽(柱托)板或有柱帽(柱托)板形式。柱托板的长度和厚度应按计算确定,且每方向长度不宜小于板跨度的1/6,其厚度不宜小于板厚度的1/4。7度时宜采用有柱托板,8度时应采用有柱托板,此时托板每方向长度尚不宜小于同方向柱截面宽度和4倍板厚之和,托板总厚度尚不应小于柱纵向钢筋直径的16倍。当无柱托板且无梁板受冲切承载力不足时,可采用型钢剪力架(键),此时板的厚度并不应小于200mm。⑤双向无梁板厚度与长跨之比,不宜小于表8.1.9的规定。
某50m高层框架-剪力墙结构建筑,8度(0.3g)抗震设防区,Ⅲ类场地,减小地震作用最佳措施为( )。
ABD三项,在场条件一定的情况下,增大构件截面尺寸、提高构件配筋率都会增大结构刚度,使地震作用加强。C项,对地上结构进行隔震能有效减小地震作用。
关于大底盘多塔结构的抗震要求,错误的是( )。
根据《高层建筑混凝土结构技术规程》(JGJ 3—2010)第10.6.3条规定,抗震设计时,多塔楼高层建筑结构应符合下列规定:①各塔楼的层数、平面和刚度宜接近;塔楼对底盘宜对称布置;上部塔楼结构的综合质心与底盘结构质心的距离不宜大于底盘相应边长的20%。②转换层不宜设置在底盘屋面的上层塔楼内。③塔楼中与裙房相连的外围柱、剪力墙,从固定端至裙房屋面上一层的高度范围内,柱纵向钢筋的最小配筋率宜适当提高,剪力墙宜按本规程第7.2.15条的规定设置约束边缘构件,柱箍筋宜在裙楼屋面上、下层的范围内全高加密;当塔楼结构相对于底盘结构偏心收进时,应加强底盘周边竖向构件的配筋构造措施。④大底盘多塔楼结构,可按本规程第5.1.14条规定的整体和分塔楼计算模型分别验算整体结构和各塔楼结构扭转为主的第一周期与平动为主的第一周期的比值,并应符合本规程第3.4.5条的有关要求。
关于多层砌体房屋的建筑布置和结构体系,下列说法错误的是( )。
根据《建筑抗震设计规范》(GB 50011—2010)(2016年版)第7.1.7条规定,多层砌体房屋的建筑布置和结构体系,应符合下列要求:①应优先采用横墙承重或纵横墙共同承重的结构体系。不应采用砌体墙和混凝土墙混合承重的结构体系。②纵横向砌体抗震墙的布置应符合下列要求:a.宜均匀对称,沿平面内宜对齐,沿竖向应上下连续;且纵横向墙体的数量不宜相差过大;b.平面轮廓凹凸尺寸,不应超过典型尺寸的50%;当超过典型尺寸的25%时,房屋转角处应采取加强措施;c.楼板局部大洞口的尺寸不宜超过楼板宽度的30%,且不应在墙体两侧同时开洞;d.房屋错层的楼板高差超过500mm时,应按两层计算;错层部位的墙体应采取加强措施;e.同一轴线上的窗间墙宽度宜均匀;在满足本规范第7.1.6条要求的前提下,墙面洞口的立面面积,6、7度时不宜大于墙面总面积的55%,8、9度时不宜大于50%;f.在房屋宽度方向的中部应设置内纵墙,其累计长度不宜小于房屋总长度的60%(高宽比大于4的墙段不计入)。③房屋有下列情况之一时宜设置防震缝,缝两侧均应设置墙体,缝宽应根据烈度和房屋高度确定,可采用70mm~100mm:a.房屋立面高差在6m以上;b.房屋有错层,且楼板高差大于层高的1/4;c.各部分结构刚度、质量截然不同。④楼梯间不宜设置在房屋的尽端或转角处。⑤不应在房屋转角处设置转角窗。⑥横墙较少、跨度较大的房屋,宜采用现浇钢筋混凝土楼、屋盖。
关于砌体结构中的构造柱,下列说法错误的是( )。
根据《建筑抗震设计规范》(GB 50011—2010)(2016年版)第7.3.2条第4款规定,构造柱可不单独设置基础,但应伸入室外地面下500mm,或与埋深小于500mm的基础圈梁相连。
关于地震作用大小,正确的是( )。
建筑物地震作用的大小与建筑物的质量、地震烈度、建筑本身的动力特性、地震持续时间、设计地震分组等有关。而建筑物所受的地震作用大小与其自重近似成正比。
我国建筑抗震设防烈度的确定,正确的是( )。
根据《建筑工程抗震设防分类标准》(GB 50223—2008)第2.0.2条规定,抗震设防烈度:按国家规定的权限批准作为一个地区抗震设防依据的地震烈度。一般情况下,取50年内超越概率10%的地震烈度。
关于特别不规则建筑,以下选项正确的是( )。
根据《建筑抗震设计规范》(GB 50011—2010)(2016年版)第3.4.1条规定,建筑设计应根据抗震概念设计的要求明确建筑形体的规则性。不规则的建筑应按规定采取加强措施;特别不规则的建筑应进行专门研究和论证,采取特别的加强措施;严重不规则的建筑不应采用。
拟建中学的场地被评定为抗震危险地段,以下选址正确的是( )。
根据《建筑抗震设计规范》(GB 50011—2010)(2016年版)第3.3.1条规定,选择建筑场地时,应根据工程需要和地震活动情况、工程地质和地震地质的有关资料,对抗震有利、一般、不利和危险地段做出综合评价。对不利地段,应提出避开要求;当无法避开时应采取有效的措施。对危险地段,严禁建造甲、乙类的建筑,不应建造丙类的建筑。
关于高层建筑楼板开洞,错误的做法是( )。
根据《高层建筑混凝土结构技术规程》(JGJ 3—2010)第3.4.6条规定,当楼板平面比较狭长、有较大的凹入或开洞时,应在设计中考虑其对结构产生的不利影响。有效楼板宽度不宜小于该层楼面宽度的50%;楼板开洞总面积不宜超过楼面面积的30%;在扣除凹入或开洞后,楼板在任一方向的最小净宽度不宜小于5m,且开洞后每一边的楼板净宽度不应小于2m。
下列结构体系中,高层建筑最大高宽比限值最大的是( )。
根据《高层建筑混凝土结构技术规程》(JGJ 3—2010)第3.3.2条规定,钢筋混凝土高层建筑结构的高宽比不宜超过表3.3.2(见表4)的规定。由表可知,四个选项中,高层建筑最大高宽比限值最大的是框架-核心筒。
表4 钢筋混凝土高层建筑结构适用的最大高宽比

关于剪力墙结构设计,正确的是( )。
根据《高层建筑混凝土结构技术规程》(JGJ 3—2010)第7.1.1条规定,剪力墙结构应具有适宜的侧向刚度,其布置应符合下列规定:①平面布置宜简单、规则,宜沿两个主轴方向或其他方向双向布置,两个方向的侧向刚度不宜相差过大。抗震设计时,不应采用仅单向有墙的结构布置。②宜自上到下连续布置,避免刚度突变。③门窗洞口宜上下对齐、成列布置,形成明确的墙肢和连梁;宜避免造成墙肢宽度相差悬殊的洞口设置;抗震设计时,一、二、三级剪力墙的底部加强部位不宜采用上下洞口不对齐的错洞墙,全高均不宜采用洞口局部重叠的叠合错洞墙。第7.1.2条规定,剪力墙不宜过长,较长剪力墙宜设置跨高比较大的连梁将其分成长度较均匀的若干墙段,各墙段的高度与墙段长度之比不宜小于3,墙段长度不宜大于8m。第7.1.4条第1款规定,底部加强部位的高度,应从地下室顶板算起。第7.1.5条规定,楼面梁不宜支承在剪力墙或核心筒的连梁上。
关于抗震设防烈度的高层剪力墙结构房屋采用短肢剪力端的说法,正确的是( )。
AB两项,《高层建筑混凝土结构技术规程》(JGJ 3—2010)第7.1.8条注1规定,短肢剪力墙是指截面厚度不大于300mm、各肢截面高度与厚度之比的最大值大于4但不大于8的剪力墙。C项,第7.1.8条规定,抗震设计时,高层建筑结构不应全部采用短肢剪力墙;D项,第7.1.8条第2款规定,当采用具有较多短肢剪力墙的剪力墙结构,房屋适用高度应比本规程表3.3.1-1规定的剪力墙结构的最大适用高度适当降低,7度、8度(0.2g)和8度(0.3g)时分别不应大于100m、80m和60m。
8度抗震区,4层幼儿园,不得采用( )结构型式。
根据《建筑工程抗震设防分类标准》(GB 50223—2008)第6.0.8条规定,教育建筑中,幼儿园、小学、中学的教学用房以及学生宿舍和食堂,抗震设防类别应不低于重点设防类。第3.0.2条规定,建筑工程应为分以下四个抗震设防类别:①特殊设防类;②重点设防类;③标准设防类;④适度设防类。其中重点设防类简称乙类。因此,教学楼抗震设防类别不应低于乙类。
根据《建筑抗震设计规范》(GB 50011—2010)(2016年版)第7.1.2条表7.1.2注3规定,乙类的多层砌体房屋仍按本地区设防烈度查表,其层数应减少一层且总高度应降低3m;不应采用底部框架-抗震墙砌体房屋。
图示悬臂式挡土墙,当抗滑移验算不足时,在挡土墙埋深不变的情况下,下列措施最有效的是( )。

悬臂式挡土墙的抗滑移验算不足时,最有效的措施是增大墙踵的长度,即图示c的长度;当抗倾覆验算不足时,最有效的措施是增大墙趾的长度,即图示a的长度。
下列图中,存在地基稳定性隐患的是( )。
?A.
?B.
?C.
?D.
根据《高层建筑混凝土结构技术规程》(JGJ 3—2010)第12.1.9条规定,高层建筑的基础和与其相连的裙房的基础,设置沉降缝时,应考虑高层主楼基础有可靠的侧向约束及有效埋深;不设沉降缝时,应采取有效措施减少差异沉降及其影响。
钢筋混凝土基础,通过地基的承载力计算,可以确定( )。
根据《建筑地基基础设计规范》(GB 50007—2011)第5.2.1条规定,基础底面的压力,当轴心荷载作用时:pk≤fa。
式中,pk为相应于作用的标准组合时,基础底面处的平均压力值,单位为kPa;fa为修正后的地基承载力特征值,单位为kPa。
根据第5.2.2条规定,基础底面的压力,当轴心荷载作用时,可按下式计算:pk=(Fk+Gk)/A。
式中,Fk为相应于作用的标准组合时,上部结构传至基础顶面的竖向力值,单位为kN;Gk为基础自重和基础上的土重,单位为kN;A为基础底面面积,单位为m2。
因此,通过地基的承载力计算,可以确定基础面积。
有关地基处理的作用,错误的是( )。
地基处理的作用:①提高地基土的承载力;②降低地基土的压缩性;③改善地基的透水特性;④改善地基土的动力特性;⑤改善特殊土不良地基特性。
全部消除液化土的方法,不包括以下哪项?( )
根据《建筑抗震设计规范》(GB 50011—2010)(2016年版)第4.3.7条规定,全部消除地基液化沉陷的措施,应符合下列要求:①采用桩基时,桩端伸入液化深度以下稳定土层中的长度(不包括桩尖部分),应按计算确定,且对碎石土,砾、粗、中砂,坚硬黏性土和密实粉土尚不应小于0.8m,对其他非岩石土尚不宜小于1.5m。②采用深基础时,基础底面应埋入液化深度以下的稳定土层中,其深度不应小于0.5m。③采用加密法(如振冲、振动加密、挤密碎石桩、强夯等)加固时,应处理至液化深度下界;振冲或挤密碎石桩加固后,桩间土的标准贯入锤击数不宜小于本规范第4.3.4条规定的液化判别标准贯入锤击数临界值。④用非液化土替换全部液化土层,或增加上覆非液化土层的厚度。⑤采用加密法或换土法处理时,在基础边缘以外的处理宽度,应超过基础底面下处理深度的1/2且不小于基础宽度的1/5。
如图外伸梁,B点支座右侧截面剪力为( )。

由图可知,B点右侧剪力为悬臂端荷载,即为三角形面积4×12/2=24。故B点支座右侧截面剪力为24kN。
您目前分数偏低,基础较薄弱,建议加强练习。