根据河流排污混合过程段的长度公式

岸边排放与中间排放的混合过程段长度之比为( )。
根据河流排污混合过程段的长度公式,B为河流宽度,a为排放口距岸边的距离,岸边排放a1=0,中间排放a2=0.5B,岸边排放与中间排放的混合过程段长度之比为:

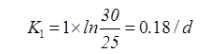
采用两点法估算河道的一阶耗氧系数。上游断面COD实测浓度为30mg/L,下游断面COD实测浓度25mg/L,上游断面来水到达下游断面时间为1d,则耗氧系数估值为( )。
根据耗氧系数K1的单独估值方法中的两点法计算如下:

本题中

采用二维稳态水质模型预测入河排污口岸边污染带的范围,根据多次现场实测验证得到的
均值为0.7。已知枯水设计流量条件下的断面平均水深为5m,摩阻流速为0.08m/s,则计算污染带范围采用的横向混合系数为( )。
已知多次现场实测验证得到的
均值为0.7,又h=5m,u*=0.08m/s,故横向混合系数My=5×0.08×0.7=0.28m2/s。
某拟建项目排污口对岸现有一个污水排放量为3.6万t/d的排污口,COD的排放浓度为100mg/L。河流上游枯水期设计流量为10m3/s,COD背景浓度15mg/L。该项目设计污水量为10.0万t/d,COD排放浓度为50mg/L。则采用一维稳态水质模型计算得到的排放断面COD起始浓度为( )。
根据一维稳态水质模型采用下列公式计算排放断面COD的起始浓度:
c0=(cuQu+ceQe)/(Qu+Qe)
式中,c0为初始浓度,mg/L;Qe为污水排放量,m3/s;ce为污染物排放浓度,mg/L;Qu为上游来水流量,m3/s;cu为上游来水污染物浓度,mg/L。
新版章节练习,考前压卷,更多优质题库+考生笔记分享,实时更新,用软件考,
由于上游枯水期设计流量10m3/s=86.4万t/d,根据一维稳态水质模型,排放断面COD的起始浓度为:c0=(cuQu+ceQe)/(Qu+Qe)=(3.6×100+86.4×15+10.0×50)/(3.6+86.4+10.0)=21.56mg/L。
采用一维稳态水质模型解析解预测河口氨氮浓度纵向分布无需输入的参数是( )。
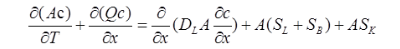
河流的一维稳态水质模型是:对于溶解态污染物,当污染物在河流横向方向上达到完全混合后,描述污染物的输移、转化的微分方程为:

式中,A表示河流横断面面积;Q表示河流流量;c表示水质组分浓度;DL表示综合的纵向离散系数;SL表示直接的点源或非点源强度;SB表示上游区域进入的源强;SK表示动力学转化率,正为源,负为汇。
设定条件:稳态,忽略纵向离散作用,一阶动力学反应速率K,河流无侧旁入流,河流横断面面积为常数,上游来流量Qu,上游来流水质浓度cu,污水排放流量Qe,污染物排放浓度ce,则上述微分方程的解为:
c=c0·exp[-Kx/(86400u)]
式中,c0表示初始浓度,mg/L,计算式为:c0=(cu·Qu+ce·Qe)/(Qu+Qe),K表示一阶动力学反应速度,1/d;u表示河流流速,m/s;x表示沿河流方向距离,m;c表示位于污染源(排放口)下游x处的水质浓度,mg/L。故无需输入的参数是横向混合系数。
地下水环境调查评价的背景值、对照值、监测值分别代表的是( )。
地下水环境背景值是指未受污染的情况下,地下水所含化学成分的浓度值,它反映了天然状态下地下水环境自身原有的化学成分的特性值;新版章节练习,考前压卷,更多优质题库+考生笔记分享,实时更新,用软件考, 地下水污染对照值是指评价区域内历史记录最早的地下水水质指标统计值,或评价区域内人类活动影响程度较小的地下水水质指标统计值作为对照值;监测值是指现状监测值。
山区小型引水式电站建设对生态环境产生的影响,主要是源于( )。
对于引水式电站,厂址间段会出现不同程度的脱水河段,其对水生生态、用水设施和景观影响较大;对于日调节水电站,下泄流量、下游河段河水流速和水位在日内变化较大,对下游河道的航运和用水设施影响明显;对于年调节电站,水库水温分层相对稳定,下泄河水温度相对较低,对下游水生生物和农灌作物影响较大;对于抽水蓄能电站,上库区域易造成区域景观、旅游资源等影响。
某炼油项目填海7hm2,配套建设成品油码头及罐区,并对航道进行疏浚。施工期海域评价专题的主要评价因子是( )
要求型。施工期的主要评价因子为悬浮物,与成品油无关,注意:关键词“施工期”。
下列生态影响型项目工程分析内容不属于初步论证的是( )。
生态影响型项目工程分析的初步论证,主要从宏观上进行项目可行性论证,必要时提出替代或调整方案。初步论证主要包括以下三方面内容:①建设项目和法律法规、产业政策、环境政策和相关规划的符合性;②建设项目选址选线、施工布置和总图布置的合理性;③清洁生产和区域循环经济的可行性,提出替代或调整方案。
某项目再生烟气二氧化硫排放浓度按850mg/m3设计,年二氧化硫排放量为2670吨。根据“十二五”规划要求,此类型排放源的排放浓度应不高于400mg/m3,则该源的二氧化硫排放总量应核算为( )。
对于污染源分布应根据已经绘制的污染流程图,并按排放点标明污染物排放部位,然后列表逐点统计各种污染物的排放强度、浓度及数量。对于最终排入环境的污染物,确定其是否达标排放,达标排放必须以项目的最大负荷核算。比如燃煤锅炉二氧化硫、烟尘排放量,必须要以锅炉最大产气量时所耗的燃煤量为基础进行核算。由于此类型排放源的排放浓度应不高于400mg/m3,根据比例式:850/2670=400/x可知,x=1256t,即该源的二氧化硫排放总量应核算为1256吨。
某制药废水硝基苯类浓度为20mg/L,不能有效处理硝基苯的工艺是( )
有效处理硝基苯的工艺有:微电解、厌氧水解和Fenton氧化。废水处理方法中,中和处理法适用于酸性、碱性废水的处理,应遵循以废治废的原则,并考虑资源回收和综合利用。废水中含酸、碱浓度差别很大,一般来说,如果酸、碱浓度在3%以上,则应考虑综合回收或利用;酸碱浓度在3%以下时,因回收利用的经济意义不大,才考虑中和处理。中和处理不能有效处理硝基苯。
某污水处理厂生化系统剩余污泥量为150m3/d,含水率99%,经浓缩后含水率降至97%,浓缩后的污泥量为( )。
根据剩余污泥的纯污泥质量守恒原则,列物料守恒方程:(1-99%)×150=(1-97%)x,经计算得,x=50m3/d。
某设施甲苯尾气浓度为20mg/m3,风量为200000m3/h,下列处理方法中合理的是( )。
要求型。由题意,甲苯的排放速率为20mg/m3×200000m3/h=4000000mg/h=4kg/h由此可知气体流量大,浓度低。低温等离子法适用于气体流量大、浓度低的各类挥发性有机化合物废气处理。
下列烟气脱硫方法中,不产生废水的方法是( )。
二氧化硫治理工艺划分为湿法、干法和半干法,常用工艺包括石灰石/石灰-石膏法、烟气循环流化床法、氨法、镁法、海水法、吸附法、炉内喷钙法、旋转喷雾法、有机胺法、氧化锌法和亚硫酸钠法等。其中石灰石/石灰-石膏法、海水法、循环流化床法、回流式循环流化床法比较成熟,占有脱硫市场的95%以上,是常用的主流技术。烟气循环流化床与石灰石/石灰-石膏法相比,具有脱硫效率更高(99%)、不产生废水、不受烟气负荷限制、一次性投资低等优点。
铅酸蓄电池项目环境影响评价,环境空气现状监测的特征因子是( )。
环境空气现状监测的监测因子应与评价项目排放的污染物相关,应包括评价项目排放的常规污染物和特征污染物。铅酸蓄电池电极主要由铅及其氧化物制成,电解液是硫酸溶液。铅酸蓄电池生产企业的所有生产工序均不同程度地产生以铅尘、铅烟为主的有害物质,少部分工序还有硫酸雾的逸散。因此在对铅酸蓄电池项目进行环境影响评价时,环境空气现状监测的特征因子是铅尘。
描述孔隙含水层的基本水文地质参数是( )。
描述孔隙含水层的基本水文地质参数有:
①孔隙度,指某一体积岩石(包括孔隙在内)中孔隙体积所占的比例。
②给水度,即把地下水位下降一个单位深度,从地下水位延伸到地表面的单位水平面积岩石柱体,在重力作用下释出的水的体积。
③渗透系数,又称水力传导系数。在各向同性介质中,它定义为单位水力梯度下的单位流量,表示流体通过孔隙骨架的难易程度;在各向异性介质中,渗透系数以张量形式表示。
下列方法中,不属于生态现状调查方法的是( )。
生态现状调查常用方法包括:①资料收集法;②现场勘查法;③专家和公众咨询法;④生态监测法;⑤遥感调查法等,具体可参见《环境影响评价技术导则—生态影响》(HJ 19—2011)附录A;图件收集和编制要求可见《环境影响评价技术导则—生态影响》(HJ 19—2011)附录A。类比法是一种预测方法。
影响地下水含水层渗透系数K值的因素是( )
渗透系数又称水力传导系数。渗透系数愈大,岩石透水性愈强。渗透系数K是综合反映岩石渗透能力的一个指标。影响渗透系数大小的因素很多,主要取决于介质颗粒的形状、大小、不均匀系数和水的黏滞性等。
某监测点COD标准指数为2.3,表示该点位COD( )。
水质评价方法采用单因子指数评价法。单因子指数评价是将每个水质因子单独进行评价,利用统计及模式计算得出各水质因子的达标率或超标率、超标倍数、水质指数等项结果。水质因子的标准指数≤1时,表明该水质因子在评价水体中的浓度符合水域功能及水环境质量标准的要求。标准指数计算公式为:Si,j=ci,j/cs,i。式中,Si,j表示标准指数;ci,j表示评价因子i在j点的实测统计代表值,mg/L;cs,i表示评价因子i的评价标准限值,mg/L。依据题意,该监测点COD标准指数=c1(该点处COD实测统计代表值)/c2(该点处COD评价标准限值)=2.3因此,c1=2.3c2,该点处COD超标倍数=(c1-c2)/c2=1.3,表示该点位COD超标1.3倍。
野外现场渗水试验的目的是测定( )。
环境水文地质试验是地下水环境现状调查中不可缺少的重要手段,许多水文地质资料皆需通过环境水文地质试验才能获得。其中渗水试验是一种在野外现场测定包气带土层垂向渗透系数的简易方法,在研究地面入渗对地下水的补给时,常需进行此种试验。
关于水库渔业资源调查,说法正确的是( )。
A项,水样用采水器采集,每个采样点应采水样2L。B项,除测定溶解氧的水样外,其他水样不宜灌满。水样灌瓶后,应立即加入固定液。C项,水深10m以上至少应在表层、5m和10m水深层采样。D项,水库渔业资源调查采样点的控制数量见题9解表,则当水库水面面积为1000~5000hm2时,采样点数量应为4~6个。

测定灌木林生物量最精确的方法是( )。
在森林群落中测定生产力的方法,目前虽然有很多,但按照生态系统的要求,仍然是比较粗放的。当前通用的办法有皆伐实测法、平均木法、随机抽样法等。为了精确测定生物量,或用做标准来检查其他测定方法的精确程度,采用皆伐法。林木伐倒之后,测定其各部分的材积,并根据比重或烘干重换算成干重。各株林木干重之和,即为林木的植物生物量。
位于山区基岩地下水单元补给区的Ⅰ类一级评价项目,地下水环境现状调查范围应是( )。
地下水环境现状调查目的是查明天然及人为条件下地下水的形成、赋存和运移特征,地下水水量、水质的变化规律,为地下水环境现状评价、地下水环境影响预测、开发利用与保护、环境水文地质问题的防治提供所需的资料。水文地质单元是指根据水文地质条件的差异性(包括地质结构、岩石性质、含水层和隔水层的产状、分布及其在地表的出露情况、地形地貌、气象和水文因素等)而划分的若干个区域,是一个具有一定边界和统一的补给、径流、排泄条件的地下水分布的区域。
某城市E和ESE风向出现的频率分别为20%和18%,静风频率为45%,新建热电厂选址方案正确的是( )。
连续45°风向,主导风向角风频之和20%+18%>30%,故新建热电场址在城市的西面。也可根据各风向出现的频率、静风频率,可在极坐标中按各风向标出其频率的大小,绘制各季及年平均风向玫瑰图,从而确定主导风向。
大气环境影响评价工作等级为二级的项目使用AERMOD预测模式不需输入的资料有( )。
AERMOD预测模式适用于评价范围≤50km的一级、二级评价项目,对于二级评价项目,其气象观测资料调查主要有:对应的气象观测资料年限要求为近3年内的至少连续一年的常规地面气象观测资料和高空气象探测资料。气象资料调查要求如表所示。

对于二级评价项目,气象观测资料调查对应的气象观测资料年限要求为50km范围内近三年内的至少连续1年的常规地面气象观察资料和高空气象探测资料。
某液氨管道出现10分钟的液氨泄露,其后果计算应采用的模式是( )。
大气环境影响预测推荐模式包括:估算模式、进一步预测模式、大气环境防护距离计算模式。其中估算模式是一种单源预测模式,可计算点源、面源和体源等污染源的最大地面浓度,以及建筑物下洗和薰烟等特殊条件下的最大地面浓度。对于瞬时或短时间事故,可采用变天条件下的多烟团模式。
适用于评价范围大于50km的大气环境影响预测模式是( )。
大气环境影响预测模式包括:ADMS模式、AERMOD模式和CALPUFF模式。其中,ADMS模式、AERMOD模式均适用于评价范围小于等于50km的一级、二级评价项目。CALPUFF模式适用于评价范围大于等于50km的一级评价项目,以及复杂风场下的一级、二级评价项目。
测得某样地共有5种植物,各种植物在样方中的分布情况如表所示,该样地群落的多样性指数为( )

生物多样性通常用香农-威纳指数(Shannon-WienerIndex)表征,则:

式中,H表示样品的信息含量(彼得/个体)=群落的多样性指数;S表示种数;Pi表示样品中属于第i种的个体比例,如样品总个体数为N,第i种个体数为ni,则Pi=ni/N。
某公路建设项目环境影响评价中,根据路由地段野生动物种类、分布、栖息和迁徙的多年调查资料,分析评价公路建设与运行对野生动物的影响,该环评所采用的方法是( )
生态机理分析法是根据建设项目的特点和受其影响的动植物的生物学特征,依照生态学原理分析、预测工程生态影响的方法。A项,类比法是一种比较常见的定性和半定量结合的方法,根据已有的开发建设活动(项目、工程)对生态系统产生的影响来分析或预测拟进行的开发建设活动(项目、工程)可能产生的影响。B项,指数法是利用同度量因素的相对值来表明因素变化状况的方法。D项,系统分析法是指把要解决的问题作为一个系统,对系统要素进行综合分析,找出解决问题的可行方案的咨询方法。本题中建设项目环评所采用的方法是生态机理分析法。
某面积为10.0km2的开发区,建设前森林覆盖率为45%,建设运行后森林覆盖面积为3.5km2。若以植被覆盖率为质量指标,用单因子指数法计算出该区开发前后生态质量变化量为( )。
单因子指数法选定合适的评价标准,采集拟评价项目区的现状资料。可进行生态因子现状评价:例如以同类型立地条件的森林植被覆盖率为标准,可评价项目建设区的植被覆盖现状情况;亦可进行生态因子的预测评价:如以评价区现状植被盖度为评价标准,可评价建设项目建成后植被盖度的变化率。题中已知,建设前森林覆盖率为45%,通过简要计算可知,建设运行后森林覆盖率为35%,以植被覆盖率为质量指标,用单因子指数法计算,得出该区开发后生态质量变化量=45%-3.5/10×100%=10%,即减少10%。
某铁路专用线穿过2类声环境功能区,在居民区测得的夜间等效声级为57dB(A),居民区声环境评价结果正确的是( )。
由《声环境质量标准》可知,2类声环境功能区执行的环境噪声夜间标准值为50dB(A),则居民区环境评价结果=57-50=7dB(A),故所测居民区超标7dB(A)。
将4台水泵,每台A计权声功率级为80dB(A),等效为一个开阔地面的点声源,在只考虑几何发散衰减情况下,距该等效点声源中心10米处的声级为( )dB(A)。
利用查表法计算可知,这四台水泵的等效声源声级为86dB。又此等效声源处于半自由空间,r处的A声级可由公式LA(r)=LWA-20lgr-8求得,则代入数据计算可得:LA(r)=58dB。
某风机圆形排风口的直径为2米,采用点声源模式预测该排风口噪声影响时,预测点距排风口中心的距离至少应是( )。
点声源的定义为,以球面波形式辐射声波的声源,辐射声波的声压幅值与声波传播距离(r)成反比。从理论上可以认为任何形状的声源,只要声波波长远远大于声源几何尺寸,该声源就可视为点声源。在声环境影响评价中,利用上述定义和理论来认定点声源是有一定困难的。简单的近似是,对于单一声源,如声源中心到预测点之间的距离超过声源最大几何尺寸2倍时,该声源可近似为点声源。故该预测点距排风口中心的距离至少为:2×2=4m。
距某点声源1米处的等效声级为80dB(A),在只考虑几何发散衰减情况下,为满足2类声环境功能区昼间限值,距该声源的最小距离应为( )。
通过已知点声源声功率级时的距离发散衰减公式可知,在距离点声源r1至r2处的衰减值:ΔL=20lg(r1/r2),2类声环境功能区昼间限值为60dB,即ΔL=-20dB,已知r1=1m,可求得:r2=10m。
某一给水泵房室内围护结构处声级为85dB(A),已知围护结构的A计权隔声量为20dB(A)。假设水泵房室内为近似扩散声场,室外靠近围护结构处的声级为( )dB(A)。
当声源位于室内,设靠近开口处(或窗户)室内和室外的声级分别为L1和L2。若声源所在室内声场近似扩散声场,且墙的隔声量远大于窗的隔声量,则室内和室外的声级差为:NR=L1-L2=TL+6。式中,TL表示窗户的隔声量,dB;NR表示室内和室外的声级差,或称插入损失,dB。本题中,L1=85dB,TL=20dB,利用上式求得:L2=59dB。
计算烟气出口速度应使用的烟气量是( )。
计算烟气出口速度时,一般应使用标准状态烟气量。
三个声源对某敏感目标的噪声贡献值分别是60dB(A)、60dB(A)、63dB(A),则该敏感目标接收到的声级是( )dB(A)。
利用表分贝和的增值表直接查出不同声级值加和后的增加值,然后计算加和结果。首先,两个60dB声源因声压级差为0,查上表得出增值ΔL为3dB。与另外一个63dB声源叠加,最终敏感目标接收到的声级是66dB。

某季节性生产的榨糖厂,每年旱季生产6个月,按照设计流量条件计算的COD允许排放量为30吨/月,则核定该厂的COD总量指标为( )。
废水排放总量控制指标因子有COD和氨氮。该厂的COD总量指标=每月COD允许排放量×月数=30×6=180(吨/年)。
地下水影响半径(R)表示的是以抽水井为中心至( )处的距离。
地下水影响半径(R)表示的是以抽水井为中心至地下水位降深等于零处的距离。
采用估算模式计算矩形面源影响不需要输入的大气污染源参数是( )。
面源参数包括面源排放速率;排放高度;长度;宽度等。由题24解表矩形面源参数调查清单中可看出,采用估算模式计算矩形面源影响不需要输入的大气污染源参数是烟气出口温度。

某新建项目的大气环境影响评价工作等级为二级,关于环境空气质量现状监测方案内容,说法正确的是( )。
《环境影响评价技术导则大气环境》(HJ 2.2—2008)中环境空气质量现状监测制度规定:①二级评价项目可取一期不利季节进行监测,必要时应作二期监测,每期监测时间至少取得有季节代表性的有效数据。②监测布点要求,二级项目的监测点应包括评价范围内有代表性的环境空气保护目标,点位不少于6个。③二级评价项目的监测布点原则,以监测期间所处季节的主导风向为轴向,取上风向为0°,至少在约0°、90°、180°、270°方向上各设置1个监测点,主导风向下风向应加密布点。
某炼化一体化项目,炼油、化工生产装置分别布置在两个区块,通过约7km管廊互供物料。该项目大气环境防护距离的确定应( )。
大气环境防护距离计算模式是基于估算模式开发的计算模式,此模式主要用于确定无组织排放源的大气环境防护距离。当无组织源排放多种污染物时,应分别计算,并按计算结果的最大值确定其大气环境防护距离。
景观生态学中,景观由( )构成。
景观生态学对生态质量状况的评判是通过两个方面进行的,一是空间结构分析,二是功能与稳定性分析。景观由斑块、基质和廊道组成,其中基质是景观的背景地块,是景观中一种可以控制环境质量的组分。景观生态学法是通过研究某一区域、一定时段内的生态系统类群的格局、特点、综合资源状况等自然规律,以及人为干预下的演替趋势,揭示人类活动在改变生物与环境方面的作用的方法。
生态影响评价中,关于综合指数法应用的说法,错误的是( )。
综合指数法是从确定同度量因素出发,把不能直接对比的事物变成能够同度量的方法。综合指数法可应用于以下方面:①可用于生态因子单因子质量评价;②可用于生态多因子综合质量评价;③可用于生态系统功能评价。
景观生态学中,被称为基质的斑块具有的特征是( )。
景观由斑块、基质和廊道组成,其中基质是景观的背景地块,是景观中一种可以控制环境质量的组分。因此,基质的判定是空间结构分析的重要内容。判定基质有三个标准,即相对面积大、连通程度高、有动态控制功能。
从土壤剖面采取土壤样品正确的方法是( )。
为了研究土壤基本理化性状,除了研究表土外,还常研究表土以下的各层土壤。剖面土样的采集方法,一般可在主要剖面观察和记载后进行。必须指出,土壤剖面按层次采样时,必须自下而上(这与剖面划分、观察和记载恰好相反)分层采取,先采剖面的底层样品,再采中层样品,最后采上层样品,以免采取上层样品时对下层土壤的混杂污染。为了使样品能明显反映各层次的特点,通常在各层最典型的中部采取(表土层较薄,可自地面向下全层采样),这样可克服层次之间的过渡现象,从而增加样品的典型性或代表性。
下列参数应列入矩形面源污染源清单中的是( )。
要求型。面源调查内容包括:面源位置坐标,以及面源所在位置的海拔高度,面源初始排放高度,各主要污染物正常排放量,排放工况,年排放小时数。
A-P值法计算经济开发区大气环境容量的基本条件是( )。
A-P值法是最简单的大气环境容量估算方法,其特点是不需要知道污染源的布局、排放量和排放方式,就可以粗略地估算指定区域的大气环境容量,对决策和提出区域总量控制指标有一定的参考价值,适用于开发区规划阶段的环境条件的分析。A-P值法计算经济开发区大气环境容量的基本条件是明确区域环境功能区划及目标。利用A-P值法估算环境容量需要掌握以下基本资料:①开发区范围和面积;②区域环境功能分区;③第i个功能区的面积si;④第i个功能区的污染物控制浓度(标准浓度限值)ci;⑤第i个功能区的污染物背景浓度cib;⑥第i个功能区的环境质量保护目标ci0。
某项目对含1%氯化钠的工艺水溶液进行纳滤浓缩除盐,已知除盐水的收率为60%,浓母液含氯化钠为2.4%,则稀溶液含氯化钠浓度为( )。
单位产品的物耗是指生产单位产品消耗的主要原料和辅料的量,也就是原辅材料消耗定额,也可用产品收率、转化率等工艺指标反映物耗水平。设原工艺水溶液的质量为m,纳滤后浓母液的质量为m1,根据物料衡算列方程:

解得:x=0.07%。
城市生活污水二级处理厂,在排放前常采取消毒处理,最经济的消毒处理方法是( )。
是否需要消毒以及消毒程度应根据废水性质、排放标准或再生水要求确定。为避免或减少消毒时产生的二次污染物,最好采用紫外线或二氧化氯消毒,也可用液氯消毒。在设备投资和运行费用方面,臭氧≈紫外线>二氧化氯>液氯,故最经济的消毒处理方法是二氧化氯法。臭氧消毒适用于污水的深度处理(如脱色、除臭等)。在臭氧消毒之前,应增设去除水中SS和COD的预处理设施(如砂滤、膜滤等)。
某化工厂废水特点为氨氮、氟化物浓度高,BOD5/COD为0.25,COD浓度为2000mg/L,以下污水处理方法中最合理的是( )。
气提过程可去除废水中的氨氮,氨的气提过程需要先将二级处理出水的pH值提高到11以上,使铵离子NH4+转化为氨(NH3),随后对出水进行激烈曝气,以气提方式将氨从水中去除,再将pH值调到合适值。混凝法可用于污(废)水的预处理、中间处理或最终处理,可去除废水中胶体及悬浮污染物,适用于废水的破乳、除油和污泥浓缩。本题中的氟化物需要用混凝法沉淀去除。好氧生物处理宜用于进水BOD5/COD≥0.3的废水。厌氧生物处理宜用于高浓度、难生物降解有机废水和污泥等的处理。本题中,BOD5/COD为0.25,COD浓度为2000mg/L,因此需采用厌氧-耗氧生化法。
根据项目外排污水的污染因子进行河道水质预测因子排序,其排序指数ISE的可能值有( )。
水质预测因子选取的数目应既能说明问题又不过多,一般应少于水环境现状调查的水质因子数目。对于河流水体,可按下式将水质参数排序后从中选取:ISE=cpiQpi/(csi-chi)Qhi。式中,cpi为水污染物i的排放浓度,mg/L;Qpi为含水污染物i的废水排放量,m3/s;csi为水污染物i的地表水水质标准,mg/L;chi为评价河段水污染物i的浓度,mg/L;Qhi为评价河段的流量,m3/s。ISE值是负值或者越大,说明拟建项目排污对该项水质因子的污染影响越大。A项,排序指数ISE不为0。
用一维稳态水质模型预测河流中的氨氮浓度分布,需要的基础数据包括( )。
预测河流中暗淡浓度需要河流的水的流速,通过河流过水断面面积可以得知湿周、水力半径,求出水流流速。对于溶解态污染物,当污染物在河流横向方向上达到完全混合后,描述污染物的输移、转化的微分方程为:

式中,A表示河流横断面面积;Q表示河流流量;c表示水质组分浓度;DL表示综合的纵向离散系数;SL表示直接的点源或非点源强度;SB表示上游区域进入的源强;SK表示动力学转化率,正为源,负为汇。
设定条件:稳态,忽略纵向离散作用,一阶动力学反应速率K,河流无侧旁入流,河流横断面面积为常数,上游来流量Qu,上游来流水质浓度cu,污水排放流量Qe,污染物排放浓度ce,则上述微分方程的解为:
c=c0·exp[-Kx/(86400u)]
式中,c0表示初始浓度,mg/L,计算式为c0=(cuQu+ceQe)/(Qu+Qe),K表示一阶动力学反应速度,1/d;u表示河流流速,m/s;x表示沿河流方向距离,m;c表示位于污染源(排放口)下游x处的水质浓度,mg/L。
影响项目场地潜水含水层易污性的因素有( )。
影响项目场地潜水含水层易污性的因素有:①地表水与地下水的联系程度;②项目场地包气带介质。A项,当污染源分布于流动系统的补给区时,随着时间延续,污染物质将沿流线从补给区向排泄区逐渐扩展,最终可波及整个流动系统,即使将污染源移走,在污染物质最终由排泄区泄出之前,污染影响也将持续存在。污染源分布于排泄区,污染影响的范围比较局限,污染源一旦排除,地下水很快便可净化。B项,潜水含水层到处都可以接受补给,污染的危险性取决于包气带的岩性与厚度。包气带中的细小颗粒可以滤去或吸附某些污染物质。
下列能运用解析法进行地下水环境影响预测评价的条件有( )。
应用地下水流解析法可以给出在各种参数值的情况下渗流区中任意一点上的水位(水头)值。但这种方法有很大的局限性,只适用于含水层几何形状规则、方程式简单、边界条件单一的情况。由于实际情况要复杂得多,例如,介质结构要求均质;边界条件假定是无限或直线或简单的几何形状,而自然界常是不规则的边界;在开采条件下,补给条件会随时间变化,而解析法的公式则难以反映,只能简化为均匀、连续的补给等。
生态影响型项目影响源识别的内容有( )。
生态影响型建设项目除了主要产生生态影响外,同样会有不同程度的污染影响,其影响源识别主要从工程自身的影响特点出发,识别可能带来生态影响或污染影响的来源,包括工程行为和污染源。生态影响型项目影响源识别的内容有工程行为识别、污染源识别、重点工程识别和原有工程识别。
以下不属于危险废物的有( )。
危险废物泛指除放射性废物以外,具有毒性、易燃性、反应性、腐蚀性、爆炸性、传染性因而可能对人类的生活环境产生危害的废物。《中华人民共和国固体废物污染环境防治法》中规定,危险废物是指列入国家危险废物名录或者根据国家规定的危险废物鉴别标准和鉴别方法认定的具有危险特性的固体废物。列入《国家危险废物名录》(环保部、国家发展改革委令2008年第1号)的危险废物共分为49类。A项,电镀厂污泥含有重金属,具有毒性、属于危险废物。
某平原城市拟在已运行五年以上的老填埋场附近新建一座规模及条件相同的新填埋场,与老填埋场相比,新填埋场渗滤液具有的特点包括( )。
一般来说,渗滤液的水质随填埋场使用年限的延长将发生变化。垃圾填埋场渗滤液通常可根据填埋场“年龄”分为两大类:①“年轻”填埋场(填埋时间在5年以下)渗滤液的水质特点是:pH值较低,BOD5及COD浓度较高,色度大,且BOD5/COD的比值较高,同时各类重金属离子浓度也较高(因为较低的pH值);②“年老”的填埋场(填埋时间一般在5年以上)渗滤液的主要水质特点是:pH值接近中性或弱碱性(一般在6~8),BOD5和COD浓度较低,且BOD5/COD的比值较低,而NH4+-N的浓度高,重金属离子浓度则开始下降(因为此阶段pH值开始下降,不利于重金属离子的溶出),渗滤液的可生化性差。
适宜大风量、低浓度有机废气的治理技术方法有( )。
A项,吸附法,适用于低浓度挥发性有机化合物废气的有效分离与去除。B项,膜分离法,适用于较高浓度挥发性有机化合物废气的分离与回收。C项,冷凝法,适用于高浓度的挥发性有机化合物废气回收和处理。D项,低温等离子体法,适用于气体流量大、浓度低的各类挥发性有机化合物废气处理。
下列处理工艺不可用于脱色的有( )。
A项,混凝法可用于污(废)水的预处理、中间处理或最终处理,主要作用是为了去除污水中的胶体及悬浮污染物,无法达到脱色的效果;B项,厌氧水解指在缺氧条件下通过厌氧微生物(包括兼氧微生物)的作用,将废水中的各种复杂有机物分解转化成甲烷和二氧化碳等物质的过程;C项,生物接触氧化适用于低浓度的生活污水和具有可生化性的工业废水处理,主要也是运用微生物的氧化分解作用降低污水中的有机污染物的浓度;D项,臭氧氧化法在水处理中主要是使污染物氧化分解,用于降低BOD、COD,脱色,除臭、除味、杀菌、杀藻,除铁、锰、氰、酚等。
用于去除污水中悬浮物的工艺有( )。
一级处理通常被认为是一个沉淀过程,主要是通过物理处理法中的各种处理单元如沉降或气浮来去除废水中悬浮状态的固体、呈分层或乳化状态的油类污染物。砂滤可去除水中SS和COD。气浮适用于去除水中密度小于1kg/L的悬浮物、油类和脂肪,可用于污(废)水处理,也可用于污泥浓缩。离子交换适用于原水脱盐净化,回收工业废水中有价金属离子、阴离子化工原料等。常用的离子交换剂包括磺化煤和离子交换树脂。
某污水处理工程采用罗茨鼓风机曝气,为降低罗茨风机及其风管辐射至厂界的噪声,可以采用的方法有( )。
降低噪声的常用工程措施大致包括隔声、吸声、消声、隔振等几种,需要针对不同发声对象综合考虑使用。具体的工程措施有:①采取隔振、隔声措施。如对设备加装减振垫、隔声罩,将某些设备传动的硬连接改为软连接等。②对由空气柱振动引发的空气动力性噪声的治理,一般采用安装消声器的措施。③对某些用电设备产生的电磁噪声,一般是尽量使设备安装远离人群,一是保障电磁安全,二是利用距离衰减降低噪声。④针对环境保护目标采取的环境噪声污染防治技术工程措施,主要是以隔声、吸声为主的屏蔽性措施,以使保护目标免受噪声影响。由空气柱振动引发的空气动力性噪声的治理,一般采用安装消声器的措施。该措施效果是增加阻尼,改变声波振动幅度、振动频率,当声波通过消声器后减弱能量,达到减低噪声的目的。
地下水评价Ⅰ类新建项目,需要调查的环境水文地质问题有( )。
环境水文地质问题调查的主要内容包括:①地下水污染调查;②土壤污染调查;③场地环境调查。
下列属于AERMOD预测模式需要输入的点源参数的是( )。
AERMOD属于大气推荐模式中的进一步预测模式,适用的污染源包括点源、面源、体源。对于各级项目,点源调查内容均为排气筒底部中心坐标、排气筒底部的海拔高度(m)、排气筒几何高度(m)及排气筒出口内径(m)、烟气出口速度(m/s)、排气筒出口处烟气温度(K)、各主要污染物正常排放量(g/s)、排放工况、年排放小时数(h)、毒性较大物质的非正常排放量(g/s)、排放工况、年排放小时数(h)。
Ⅰ类新建项目地下水环境现状调查中,地下水天然露头监测资料可帮助确定( )。
地下水露头的调查是整个地下水环境地面调查的核心,是认识和寻找地下水直接可靠的方法。地下水的天然露头包括泉、地下水溢出带、某些沼泽湿地、岩溶区的暗河出口及岩溶洞穴等。通过对泉水出露条件和补给水源的分析,可帮助确定区内的含水层层位;根据地下水天然露头的出露标高,可确定地下水的埋藏条件;地下水天然露头的流量、涌势、水质及其动态,在很大程度上代表着含水层(带)的富水性、水质和动态变化规律,并在一定程度上反映出地下水是承压水还是潜水;据地下水天然露头水的出露条件,还可判别某些地质或水文地质条件,如断层、侵入体接触带或某种构造界面的存在,或区内存在多个地下水系统等。
下列景观斑块优势度(DO)、密度(Rd)、频率(Rf)和景观比例(LP)的计算公式正确的有( )。
基质的判定多借用传统生态学中计算植被重要值的方法。决定某一斑块类型在景观中的优势,又称优势度值(DO)。优势度值由密度(Rd)、频率(Rf)和景观比例(Lp)三个参数计算得出。具体数学表达式如下:
Rd=(斑块i的数目/斑块总数)×100%;Rf=(斑块i出现的样方数/总样方数)×100%;
Lp=(斑块i的面积/样地总面积)×100%;DO=0.5×[0.5×(Rd+Rf)+Lp]×100%。
关于湖库水体垂向分层的正确说法有( )。
要求型。湖泊、水库水温受湖面以上气象条件(主要是气温与风)、湖泊、水库容积和水深以及湖、库盆形态等因素的影响,呈现出具有时间与空间的变化规律,比较明显的季节性变化与垂直变化(D)。一般容积大、水深深的湖泊、水库,水温常呈垂向分层(A)型。对于容积和水深都比较小的湖泊,由于水能充分自由混合,往往不存在垂向分层的问题(B)。C选项错误,由于是垂向分层,面积的大小与湖库水体垂向分层无关。
为了解某石油炼化改扩建项目的地下水环境现状,评价区内的调查内容有( )。
要求型。导则8.3.1,地下水水文地质条件调查的主要内容包括:①气象、水文、土壤和植被状况。⑥地下水水位、水质、水温、地下水化学类型。等10条。
根据地形图上绘制的地下水等水位线图可确定( )。
要求型。等水位线图主要用途:确定地下水流向(A);计算地下水的水力坡度(B);确定潜水与地表水之间的关系;确定潜水的埋藏深度(D);确定泉或沼泽的位置;推断给水层的岩性或厚度的变化:在地形坡度变化不大的情况下,若等水位线由密变疏,表明含水层透水性变好或含水层变厚(C);相反,则说明含水层透水性变差或厚度变小;确定富水带位置。多选少+原文。
在测定绿色植物的总生产量时,需要用到的参数有( )。
在测定绿色植物的生产量时,多采用样地调查收割法,主要内容包括:①地上部分生产量;②地下部分生产量;③枯死凋落量;④被动物采食量。收割法最大的局限性是不能计算因草食性动物所吃掉的物质,更无法计算绿色植物用于自身代谢、生长和发育所耗费的物质。实际上所测量的部分是现在生物量,即测定当时绿色植物有机物质的数量。假如把呼吸的损失量和其他方面的损失(如草食动物吃掉的量)加进去修正收获量,才可估测出总生产量或总生产力。
建设项目的环境经济损益分析中,费用效益分析应在财务现金流量表基础上增加( )。
费用效益分析除了考虑厂商自身对某一项目方案的直接支出和收入外,还要考虑该项目引起的间接的、未发生实际支付的效益和费用,如环境成本和环境效益。
某坝后式水电站的竣工环保验收调查内容应包括( )。
建设项目竣工环境保护验收监测与调查主要包括下述内容:①检查建设项目环境管理制度的执行和落实情况,各项环保设施或工程的实际建设、管理、运行状况以及各项环保治理措施的落实情况;②监测分析评价治理设施处理效果或治理工程的环境效益;③监测分析建设项目废水、废气、固体废物等排放达标情况和噪声达标情况;④监测必要的环境保护敏感点的环境质量;⑤监测统计国家规定的总量控制污染物排放指标的达标情况;⑥调查分析评价生态保护以及环境敏感目标保护措施情况。
某铅酸蓄电池厂竣工环境保护验收通过的条件应包括( )。
建设项目竣工环境保护验收监测与调查的重点包括:①检查建设项目环境管理制度的执行和落实情况,各项环保设施或工程的实际建设、管理、运行状况以及各项环保治理措施的落实情况;②监测分析评价治理设施处理效果或治理工程的环境效益;③监测分析建设项目废水、废气、固体废物等排放达标情况和噪声达标情况;④监测必要的环境保护敏感点的环境质量;⑤监测统计国家规定的总量控制污染物排放指标的达标情况;⑥调查分析评价生态保护以及环境敏感目标保护措施情况。
采用类比法进行建设项目生态影响预测与评价时,关于类比对象的选择标准,说法正确的有( )
生态影响预测与评价的方法有生态机理分析法、指数法与综合指数法、类比法、生产力评价法等。类比法中类比对象的选择标准是:①生态背景的相同,即区域具有一致性;②类比的项目性质相同,项目的工程性质、工艺流程、规模相当;③类比项目已经建成,并对生态产生了实际的影响,而且所产生的影响已基本全部显现,注意不要根据性质相同的拟建设项目的生态影响评价进行类比。
将如图所示的四台水泵近似为位于中心位置的等效点声源的条件有( )。

将某一分区等效为点声源的条件是:①分区内声源有大致相同的强度和离地面的高度、到预测点有相同的传播条件;②等效点声源到预测点的距离(d)应大于声源最大尺寸(Hmax)2倍(d>2Hmax),如距离较小(d≤2Hmax),总声源必须进一步划分为更小的区。
有限长线声源的长度为l0,已知在线声源垂直平分线上距声源r0处的声级为l0(r0),按r0、r和l0之间的不同关系,计算垂直平分线上距声源r处的声级的公式可近似为( )。
有限长线声源的远场、中场和近场的三个近似计算公式如下。设线声源长为l0,单位长度线声源辐射的声功率级为Lw。在线声源垂直平分线上距声源r处的声级为:

或

①当r>l0且r0>l0时,上式近似简化为:Lp(r)=Lp(r0)-20lg(r/r0)。即在有限长线声源的远场,有限长线声源可当做点声源处理。
②当r<l0/3且r0<l0/3时,上式可近似简化为:Lp(r)=Lp(r0)-10lg(r/r0)。即在近场区,有限长线声源可当做无限长线声源处理。
③当l0/3<r<l0,且l0/3<r0<l0时,可以作近似计算:Lp(r)=Lp(r0)-15lg(r/r0)。
某水泵生产企业声环境影响评价应重点分析的内容有( )。
水泵生产企业作为工矿企业,除声环境影响评价基本要求和方法,还应着重分析说明以下问题:①按厂区周围敏感目标所处的环境功能区类别评价噪声影响的范围和程度,说明受影响人口情况;②分析主要影响的噪声源,说明厂界和功能区超标原因;③评价厂区总图布置和控制噪声措施方案的合理性与可行性,提出必要的替代方案;④明确必须增加的噪声控制措施及其降噪效果。
公路建设项目声环境现状调查的内容应包括评价范围内的( )。
公路、铁路为线路型工程,其声环境影响评价需着重分析、说明以下问题:①针对项目建设期和不同运行阶段,评价沿线评价范围内各敏感目标(包括城镇、学校、医院、集中生活区等),按标准要求预测声级的达标及超标状况,并分析受影响人口的分布情况。②对工程沿线两侧的城镇规划中受到噪声影响的范围绘制等声级曲线,明确合理的噪声控制距离和规划建设控制要求。③结合工程选线和建设方案布局,评述其合理性和可行性,必要时提出环境替代方案。④对提出的各种噪声防治措施需进行经济技术论证,在多方案比选后规定应采取的措施并说明措施降噪效果。即公路建设项目声环境现状调查的内容应包括评价范围内的现有噪声源、环境敏感目标、环境噪声背景值。
与声波大气吸收衰减系数有关的主要因素有( )。
空气吸收引起的衰减按式Aatm=a(r-r0)/1000计算。式中,a表示温度、湿度和声波频率的函数。
根据《环境影响评价技术导则—声环境》,计算室内声源的室外等效声源的声功率级,需要的主要参数有( )。
等效室外声源声功率级的计算过程如下:①计算出某个声源在某个室内围护结构处(如窗户)的倍频带声压级,然后计算出所有室内声源在围护结构处产生的i倍频带叠加声压级。②在室内近似为扩散声场时,计算出靠近室外围护结构处的声压级。然后计算出所有室内声源在靠近围护结构处产生的总倍频带声压级(按噪声级叠加计算求和),再将室外声级L2和透声面积换算成等效室外声源,计算出等效声源的倍频带声功率级。③按室外声源预测方法计算预测点处的A声级,等效声源的中心位置位于透声面积的中心。室内和室外的声差级公式:L2=L1-(TL+6),Lw2=L2+10lgS,则Lw2=L1-(TL+6)+10lgS,式中L1为室内围护结构处的声级,TL为围护结构的隔声量,S为围护结构的面积。
某开发区规划环评预测的水环境容量不足以支持开发区全部的规划项目,开发区废水排放总量指标的确定应考虑( )。
水环境容量与废水排放总量控制的主要内容有:①选择总量控制指标因子为COD和氨氮;②分析基于环境容量约束的允许排放总量和基于技术经济条件约束的允许排放总量;③对于拟接纳开发区污水的水体,应根据环境功能区划所规定的水质标准要求,选用适当的水质模型分析确定水环境容量;对季节性河流,原则上不要求确定水环境容量;④对于现状水污染物排放实现达标排放,水体无足够的环境容量可资利用的情形,应在制定基于水环境功能的区域水污染控制计划的基础上确定开发区水污染物排放总量;⑤如预测的各项总量值均低于上述基于技术水平约束下的总量控制和基于水环境容量的总量控制指标,可选择最小的指标提出总量控制方案;如预测总量大于上述两类指标中的某一类指标,则需调整规划,降低污染物总量。
某燃气电厂项目,烟气由两根烟囱排放。关于环境空气质量现状监测工作内容,说法正确的有( )。
要求型。导则7.3.1.1,凡项目排放的污染物属于常规污染物的应筛选为监测因子(B正确)。题中并没有告诉评价等级,因此无法判断AC,且C选项本身错误,由导则7.3.2.3,如果是二、三级,时间点也应该是(02:00,08:00,14:00,20:00)而不是题中(C错误);D:导则7.3.2.2,每期监测时间,至少应取得有季节代表性的7天有效数据(D正确)A:一级不少于10个,二级不少于6个,三级2~4个,且根据7.3.2.2,有季节代表性的7天有效数据即可,不需要连续7天,A错误。
拟建于西北地区的煤化工项目,厂址为半固定沙地,在环境影响识别过程中,应识别可能受到不利影响的环境要素有( )。
环境影响识别就是通过系统地检查拟建项目的各项“活动”与各环境要素之间的关系,识别可能的环境影响,包括环境影响因子、影响对象(环境因子)、环境影响程度和环境影响的方式。在环境影响识别中,自然环境要素可划分为地形、地貌、地质、水文、气候、地表水质、空气质量、土壤、森林、草场、陆生生物、水生生物等。社会环境要素可以划分为城市(镇)、土地利用、人口、居民区、交通、文物古迹、风景名胜、自然保护区、健康以及重要的基础设施等。
分析电石法聚氯乙烯建设项目的清洁生产水平,应分析的指标有( )。
清洁生产分析应考虑生产工艺和装备是否先进可靠,资源和能源的选取、利用和消耗是否合理,产品的设计、产品的寿命、产品报废后的处置等是否合理,对在生产过程中排放出来的废物是否做到尽可能地循环利用和综合利用,从而实现从源头消灭环境污染问题。
关于植物样方调查的正确说法有( )。
自然植被经常需进行现场的样方调查,样方调查中首先须确定样地大小,样地大小依据植株大小和密度确定。其次须确定样地数目,样地的面积须包括群落的大部分物种,一般可用物种与面积和关系曲线确定样地数目。样地的排列有系统排列和随机排列两种方式。样方调查中“压线”植物的计量须合理。
在进行陆生野生动物物种调查时,应调查( )。
根据陆生哺乳类物种调查中的踪迹判断法,很难直接观察到野生哺乳类动物实体或不能采集标本时,根据哺乳类活动时留下的踪迹——足印、粪便、体毛、爪印、食痕、睡窝、洞穴等来判定所属物种、个体相对大小、雌雄性别、家域面积大小、大致数量、昼行或夜行、季节性迁移和生境偏好等。呜叫调查法用于长臂猿等的种群调查,每天早晨记录长臂猿的晨鸣时间、位点等,连续监听一周以上记录,据此来推算种群及个体数量。
建有船闸的水坝下游减水河段最小流量设计时必须保证的参数有( )。
建有船闸的水坝下游减水河段最小流量设计时必须保证的参数有:最小生态需水量、正常航运的流量、枯水期多年平均流量。
垃圾填埋场项目可能会产生生态环境问题的阶段有( )。
勘察期的主要工作是形成科学的工程可行性(预)研究报告与环评报告。垃圾填埋场项目可能会造成生态问题的阶段有施工期、运营期、封场期。施工期产生的直接生态影响一般属临时性质,但在一定条件下,其产生的间接影响可能是永久性的。施工期造成的生态环境问题有占用土地,破坏植被,尘土污染,噪声污染等。运营期的生态和污染影响可能会造成区域性的环境问题。主要有渗滤液对地下水的影响,产生的气体排放对大气的影响等。封场期对环境的影响较小,但是填埋场植被恢复过程中,种植于填埋场顶部覆盖土层上的植物可能受到污染。
某高速公路桥跨越的河流为Ⅱ类水体,下列说法错误的有( )。
《关于加强公路规划和建设环境影响评价工作的通知》(环发[2007]184号)规定,为防范危险化学品运输带来的环境风险,对跨越饮用水水源二级保护区、准保护区和二类以上水体的桥梁,在确保安全和技术可行的前提下,应在桥梁上设置桥面径流水收集系统,并在桥梁两侧设置沉淀池,对发生污染事故后的桥面径流进行处理,确保饮用水安全。C项,沉淀池始终是满水状态,如果下暴雨或者发生应急事故,水就会溢出,排入河流会污染水体。D项,桥面雨水经处理后,虽然水质有所改善,但是不一定满足排入到Ⅱ类水体的水质标准的要求。
关于纵向离散系数DL与横向离散系数My说法正确的有( )。
在天然河流中,常用横向混合系数(My)和纵向离散系数(DL)来描述河流的混合特性。在考虑河流的纵向混合时,由于分子扩散、紊动扩散的作用远小于由断面流速分布不均匀而引起的剪切离散,一般可将其忽略。由断面流速分布不均引起的混合过程采用纵向离散系数表征。横向离散系数反映了由于分子扩散、紊动扩散的作用而引起的剪切离散。当平均水深和河流宽度一定时,横向混合系数(My)不变且与流速无关,纵向离散系数(DL)随河流断面平均流速变化而变化,
新建化工项目环境风险防范措施包括( )。
环境风险的防范与减缓措施是在环境风险评价的基础上做出的。主要环境风险防范措施为:①选址、总图布置和建筑安全防范措施;②危险化学品贮运安全防范及避难所;③工艺技术设计安全防范措施;④自动控制设计安全防范措施;⑤电气、电讯安全防范措施;⑥消防及火灾报警系统;⑦紧急救援站或有毒气体防护站设计;⑧事故水环境风险防范,须设置事故排水收集(尽可能采用非动力自流方式)和应急储存设施,满足事故状态下收集泄漏物料和污染消防水的需要,防止事故排水进入外环境。建立环境风险信息管理系统的要求,环境风险防范措施纳入环保投资。B项,新建化工项目施工过程中的风险属于安全风险,不属于环境风险。ACD项均为新建化工项目环境风险防范措施。
地下水评价Ⅰ类改扩建项目,地下水环境现状监测点位布设的依据有( )。
地下水环境现状监测主要通过对地下水水位、水质的动态监测,了解和查明地下水水流与地下水化学组分的空间分布现状和发展趋势,为地下水环境现状评价和环境影响预测提供基础资料。对于I类建设项目,应同时监测地下水水位、水质。地下水环境现状监测井点采用控制性布点与功能性布点相结合的布设原则。监测井点应主要布设在建设项目场地、周围环境敏感点、地下水污染源、主要现状环境水文地质问题以及对于确定边界有控制意义的点位。根据建设项目污染源的特点及具体的环境水文地址条件有针对性的开展勘察实验,进行地下水环境影响评价。对于Ⅰ类和Ⅲ类改、扩建项目,当现有监测井不能满足监测位置和监测深度要求时,应布设新的地下水现状监测井。
2012年开展某燃煤电厂项目环评,大气影响环境评价工作等级为二级。关于大气影响预测评价的说法,正确的有( )。
A项,预测因子应根据评价因子而定,选取有环境空气质量标准的评价因子作为预测因子,预测因子还应该有二氧化氮;D项,对环境空气敏感区的环境影响分析,应考虑其预测值和同点位处的现状背景值的最大值的叠加影响;对最大地面浓度点的环境影响分析可考虑预测值和所有现状背景值的平均值的叠加影响。
某煤制烯烃项目,以下工程投资可全部列入环保投资的有( )。
环保项目投资主要包括:废气治理、废水治理、噪声治理、固体废物治理、厂区绿化等。故上述工程投资可列入环保投资的有厂区绿化、污水处理厂、高架火炬系统。
某喷漆厂采用“水帘+干式过滤+活性炭吸附+蓄热式热力焚烧”处理喷漆废气,废气处理单元产生的各类固废中属于危险废物的有( )。
根据《国家危险废物名录》规定的危险废物有:涂料染料废物中非定性行业,使用油漆,有机溶剂进行喷漆上漆过程中产生的燃料和涂料废物;其他废物中非定性行业,无机化工生产过程中产生的废活性炭;废过滤材料表面含有油漆,所以也是危险废物。ABC三项,漆渣、废过滤、废活性炭材料都属于危险废物。
某电镀企业包括除油、镀铬、镀锌、镀铜等生产线,铬酸雾经收集、碱洗吸收后排放,则需要单独收集处理的含第一类污染物的废水有( )。
第一类污染物最高允许排放浓度如表所示。

铬为第一污染物,BD两项,镀铬废水、铬酸雾吸收废水属于含铬的第一类污染废水。
在风险识别中,有毒有害物质放散起因有( )。
环境风险评价的基本内容包括风险调查、环境风险潜势初判、风险识别、风险事故情形分析、风险预测与评价、环境风险管理等。风险调查包括环境敏感目标的调查和建设项目风险源的调查;环境风险潜势需要结合环境敏感程度(E)分级和危险物质及工艺系统危险性(P)分级来综合判断;风险识别包括物质危险性识别、生产系统危险性识别,以及危险物质向环境转移的途径识别;风险事故情形分析包括事故情形的设定和事故源项的分析,事故情形需要包括危险物质泄漏,以及火灾、爆炸等引发的伴生/次生污染物排放情形;风险预测与评价包括有毒有害物质在大气、地表水、地下水中的运移扩散;环境风险管理包括针对大气、水和地下水的风险防范措施,并且编制突发环境事件应急预案。
南方某硫铁矿山露天开采后,因氧化和雨水侵蚀形成的弱酸性地表径流,造成矿区迹地土壤贫瘠,土层很薄,下列生态恢复措施正确的有( )。
A项,水土流失生物措施的实施中,最为关键的是土地整治和表层土壤的覆盖问题。BC两项,一般而言,土壤肥沃、土层较厚的土地可(应)种植乔木;土壤贫瘠、土层甚薄的地方,则只能(应)种草本植物或灌木。D项,考虑土地生产力的恢复和培植。整治后的土地往往由于缺乏表土或表土比较瘠薄,生产力很低,需要不断培肥,提高其生产力,增加新建植被稳定性,因而可以利用城市污泥、河泥、湖泥、锯末或农业废弃秸秆等,增加土壤有机质。
某装置尾气废气量为5000m3/h,氯化氢浓度为1000mg/m3,下列处理方法适宜的有( )。
吸收和吸附等物理化学方法在资源回收利用和卤化物深度处理上工艺技术相对成熟,优先使用物理化学方法处理卤化物气体。吸收法治理含氯或氯化氢废气时,适合采用碱液吸收法。垃圾焚烧尾气中的含氯废气适合采用碱液或碳酸钠溶液吸收处理。
工业建设项目对附近景观和文物的影响方式主要有( )。
工业建设过程中,会产生很多工业固体废弃物,如水泥、黏土、砖块等;建设过程中,会涉及到挖土,打桩等对景观和文物产生的震动影响;建设项目过程中,会产生污水,尘土等,污水可能含有酸或碱性的腐蚀性物质,会对景观和文物产生腐蚀的影响。D项,游人污损不属于工业建设项目对景观和文物的影响方式。
您目前分数偏低,基础较薄弱,建议加强练习。