在下列几项反映国民经济发展的指标中,属于数量指标的是( )。
统计指标按所反映的总体数量特征的性质不同可分为: ①数量指标, 描述总体的绝对数量规模或水平,其特点是数值大小与总体范围大小和包含单位数的多少有直接关系,范围越大,单位数越多,其数值也越大; ②质量指标,描述总体数量的相对程度或一般水平, 其特点是数值大小与总体范围大小和包含单位数的多少无直接关系,它并不随其范围大小和单位数多少而增减。 B、C、D项属于质量指标。
1,4,16,49,121,( )。

道教是我国土生土长的宗教,它兴起于( )。
道教是中国土生土长的宗教,假托道家黄老学,融合民间流传的各种方技、术数、神仙、鬼怪、神话、谶纬等内容,杂取儒家、墨家、阴阳家、养生家、神仙家等多种学说,通过清修养性、积精练气、金丹服食、符篆教科等方法,追求长生成仙。道教兴起于东汉.基本格局则完成于魏晋南北朝,明确以“神仙”作为它的终极关怀。
信用卡的使用体现着银行的一项业务活动,这项业务活动是()。
信用卡是一种非现金交易付款的方式,是简单的信贷服务。我国法律规定的是指由商业银行或者其他金融机构发行的具有消费支付、信用贷款、转账结算、存取现金等全部功能或者部分功能的电子支付卡。A、B、C、D 四个选项中只有C 是正确的。故选C。
“兼听则明,偏信则暗”这句格言出自( )。
“兼听则明,偏信则暗”指要同时听取各方面的意见.才能正确认识事物;只相信单方面的话,必然会犯片面性的错误。出自《资治通鉴》,唐太宗贞观二年:“上问魏征曰:‘人主何为而明,何为而暗?’对曰:‘兼听则明,偏信则暗。’”。
成语“一丝不苟”中的“丝”本意是( )。
“一丝不苟”中的“丝”是量词,指一种计算长度、容量和重量的微小单位。
有限责任公司与股份有限公司的最主要的区别在于()。
四个选项涉及四个知识点:公司的组织机构、公司的责任承担、公司的资本结构、公司的股东人数。《中华人民共和国公司法》第3条规定:“公司是企业法人、有独立的法人财产,享有法人财产权。公司以其全部财产对公司的债务承担责任。有限责任公司的股东以其认缴的出资额为限对公司承担责任:股份有限公司的股东以其认购的股份为限对公司承担责任。”
在我国,下列所得中,可以免纳个人所得税的是()。
《中华人民共和国个人所得税法》第4条规定:“下列各项个人所得,免纳个人所得税:
一、省级人民政府、国务院部委和中国人民解放军军以上单位,以及外国组织、国际组织颁发的科学、教育、技术、文化、卫生、体育、环境保护等方面的奖金;
二、国债和国家发行的金融债券利息;
三、按照国家统一规定发给的补贴、津贴;
四、福利费、抚恤金、救济金;
五、保险赔款;
六、军人的转业费、复员费;
七、按照国家统一规定发给干部、职工的安家费、退职费、退休工资、离休工资、离休生活补助费:
八、依照我国有关法律规定应予免税的各国驻华使馆、领事馆的外交代表、领事官员和其他人员的所得;
九、中国政府参加的国际公约、签订的协议中规定免税的所得;
十、经国务院财政部门批准免税的所得。”
“政府的主要作用是掌舵,而不是划桨”,这一说法是指()。
穿越我国领土距离最长的纬线是()。
理性经济人假设西方经济学理论的逻辑基础,这一理论假设的核心是认为人()。
消费者选择提前消费或者延迟消费,与()无直接关系。
消费者剩余是指消费者为取得一种商品所愿意支付的价格与他取得该商品而支付的实际价格之间的差额。
货币政策的最终目标是稳定物价、充分就业、促进经济增长和平衡国际收支。其中关于充分就业的正确说法是()。
在席卷全球的金融危机期问,中央银行为了对抗经济衰退,刺激国民经济增长,不应该采取的措施是()。
企业支付的产品广告费,应通过()科目核算。
在最新的会计准则(2006)里 ,在损益类科目里没有设营业费用这个科目.而是设了6601销售费用。6601这个科目核算企业销售商品和材料、提供劳务的过程中发生的各种费用,包括保险费、包装费、展览费和广告费、商品维修费、预计产品质量保证损失、运输费、装卸费等以及为销售本企业商品而专设的销售机构(含销售网点、售后服务网点等)的职工薪酬、业务费、折旧费等经营费用。产品广告费用就是上述所讲的公司在提供劳务的过程中发生的广告费,故应在此科目核算,答案为D
企业支付的产品广告费,应通过()反应。
序时账簿也称日记账,按照经济业务发生的时间顺序逐日逐笔登记。备查账簿是指对一些在序时账簿和分类账簿中不能记载或记载不全的经济业务进行补充登记的账簿.对序时账簿和分类账簿起补充作用。数量金额式账簿是指采用数量和金额双重记录的账簿。原材料账户、库存商品账户等一般采用数量金额式格式。分类账簿,也称分类账。对各项经济业务按它所涉及的经济业务的性质进行分类登记的账簿。在会计核算中,分类账簿是必须设置的主要账簿,它所提供的核算资料是编制会计报表的主要依据。根据反映经济业务的详细程度的不同,又分为总分类账簿和明细分类账簿。
国家外汇收入与外汇储备()。
时期总量指标是反映社会经济现象在一定时期内发展变化过程总量的指标.所以也叫做流量。如:商品销售额、总产值、基本建设投资额等。时点总量指标是反映社会经济现象在一定时点上状况的数量的指标,所以也叫作存量。如:人口数、房屋的居住面积、银行存款和库存商品等。时期指标和时点指标的区别:1.性质相同的时期指标的数值可以累计相加.相加后的数值有实际经济意义;时点指标不能累计相加,相加后的数值无实际意义。2.同类时期指标数值的大小与时期长短有直接关系,它具有时间长度,时间越长,其数值也就越大;时点指标没有这种关系。3.时期指标数值是经常连续登记取得,时点指标一般是间断取得的。
农业基础设施投资主要应由()承担。
农业基础设施特点是投资量大,投资期限长,牵涉面广,投资以后产生的效益不易分割,而且投资的成本及其效益之间的关系不明确,所以不可能由分散的农户独立进行。又由于农业投资盈利率较低,金融机构不可能将大量信用资金投资于农业基础设施,所以农业基础设施主要应由国家财政承担。
西方经济学家将通过发行公债来弥补财政赤字的方法称为()。
西方经济学家将通过发行公债来弥补财政赤字的方法称为赤字债务化。
在面试过程中.为了缓解紧张的气氛,消除应聘者的心理压力,面试开始时,应采用()的提问方式。
()是目前市场上人力资源配置的基本原则。
下列金融机构中属于政策性金融机构的是()。
股指期货合约的标准化是指除()外的所有要素都是统一规定的。
期货合约是指由交易所统一制定的、规定在将来某一特定的时间和地点交割一定数量标的物的标准化合约。
《中国金融期货交易所交易细则》第四条规定,股指期货合约主要条款包括合约标的、合约乘数、报价单位、最小变动价位、合约月份、交易时间、每日价格最大波动限制、最低交易保证金、最后交易日、交割日期、交割方式、交易代码、上市交易所等。
下列资产中,属于企业流动资产的是()。
流动资产是指企业可以在一年或者超过一年的一个营业周期内变现或者运用的资产,是企业资产中必不可少的组成部分。流动资产的内容包括货币资金、短期投资、应收票据、应收账款和存货等。
用于反映国民经济发展速度、比例关系等方面的统计指标,都属于()。
His sister left home in 1998,and()since.
The children all turned()the famous actress as she entered the classroom.
Everybody was touched()words after they heard her moving story.
Some plants are very()to light;they perfer the shade.
The author was required to submit an()of about 200 words together with his research paper.
The vision of that big black car hitting the sidewalk a few feet from us will never be()from my memory.
计算机能直接执行的程序是()。
在表示存储器的容量时,1M的准确含义是()。
管理和控制计算机系统软硬件资源的软件是()。
操作系统是方便用户、管理和控制计算机软硬件资源的系统软件(或程序集合)。
Microsoft的IE是一种()。
假设有下列二叉树

对此二叉树后序遍历的结果为:()。
在计算机系统中,英文缩写的“I/O”字母是指:()。
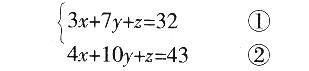
甲买了3支签字笔,7支圆珠笔和1支铅笔共花了32元,乙买了4支同样的签字笔.l0支圆珠笔和1支铅笔共花了43元,如果同样的签字笔、圆珠笔、铅笔各买一支,共用多少钱?()。
设签字笔、圆珠笔、铅笔的价格分别为x、y、z,得方程组:
本方程组为典型的不定方程组。可以利用特解思想,令系数较大的y=0,然后求解,得到x=11、z=-1,所以x+y+z=10,本题选D
某高校对一些学生进行问卷调查。在接受调查的学生中,准备参加注册会计师考试的有63人,准备参加英语六级考试的有89人,准备参加计算机考试的有47人,三种考试都准备参加的有24人,准备选择两种考试都参加的有46人,不参加其中任何一种考试的共15人。问接受调查的学生共有多少人?()。
接受调查总人数为参加考试人数与未参加考试人数之和,未参加考试者共15人,参加考试人数通过观察文氏图(如右图
)可知:为参加单科考试人数之和减去参加两科考试人数与2倍的参加三科考试人数之和。单科考试人数相加的B、C、D部分各多加了一次,A部分多加两次,故应减掉两倍的参加三科考试的人数。即:(63+89+47)-(24×2+46)+15=120。
在标准正态分布曲线下,正、负1个标准差范围内的面积占曲线下总面积的()。
根据正态分布的性质,画出表标正态分布图(如下图
),通过观察,在正态分布的正、负1个标准差范围内面积大于二分之一,故此题选D
现有一列数据,它们是4,4,5,3,5,5,2.这列数据的平均数、众数和全距依次是()。
本题旨在考查考生对描述统计中集中量数知识点的掌握情况。平均数是用以度量连续变量次数分布集中趋势最常用的集中量数.其计算公式就是将所有的数据相加,再用数据的个数去除数据的总和。众数是指次数分布中出现次数最多的那个数的数值。全距又称两极差,是把一组数据按从小到大的顺序排序,用最大值减去最小值,是说明离散程度的最简单的统计量。故本题正确答案是B
对于任意两个随机事件A与B,其对立的充分条件为()。
以可见光波的长短为序,人类感觉到的颜色依次为()。
1666年英国科学家牛顿发现,太阳光经过三棱镜折射,投射到白色屏幕上,会现出一条美丽的光谱,依次为红、橙、黄、绿、蓝、靛、紫七色。光是能量的一种形式,是一种电磁辐射能。我们肉眼所能看的光线,称之为可见光。此外光波的长短产生色相的区别,即红色光的波长最长,紫色光的波长最短。
在马斯洛的需求层次理论中,属于成长性需要的是()。
马斯洛提出了著名的需求层次理论,认为人的基本需要从低级到高级依次是生理需要、安全需要、归属与爱的需要、尊重的需要和自我实现的需要。但随着对自我实现的人的研究的深入,马斯洛也在不断完善其需要理论,马斯洛认为存在两种需要,一是匮乏性需要,二是成长性需要。匮乏性需要是指生理需要、安全需要、爱和归属需要、尊重需要。成长性需要主要指自我实现需要。
夏日雷雨过后,人们会感到空气特别清新,其主要原因是()。
“细雨成阴近夕阳,湖边飞阁照寒塘。黄花应笑吴山客,每岁登高在异乡。”这首诗中包含着我国民间的传统节令,这个节令是()。
以下各古代思想家中,提出“兼爱”、“非攻”等主张的是()。
墨子名翟,他是一位政治家、哲学思想家,也是发明家、科学家。在政治上他提出“兼爱”、“非攻”、“尚贤”等主张,哲学思想上他又是中国古代逻辑思想开拓者之一。
我国社会主义法治理念具有丰富内涵。其中属于社会主义法治核心内容的是()。
依法治国,是社会主义法治的核心内容,也是我们党领导人民治理国家的基本方略。
2009年6月10日台湾地区领导人()宣布参选新一届中国国民党主席选举。
2009年12月联合国气候变化会议达成()。
在下列选项中,()是一个算法一般应该具有的基本特征。
以下()是计算机输入设备。
计算机输入设备指的是向计算机输入数据和信息的设备,是计算机与用户或其他设备通信的桥梁。输入设备是用户和计算机系统之间进行信息交换的主要装置之一。键盘、鼠标、摄像头、扫描仪、光笔、手写输入板、游戏杆、语音输入装置(如麦克风)等都属于输入设备。
非物质文化是指各民族人民世代相承、与群众生活密切相关的,通过口头和动作传承的各种文化表现形式和文化空间。根据上述定义,下列属于我国非物质文化遗产的是()。
以下属于医学著作的是()。
《齐民要术》是北魏时期的中国杰出农学家贾思勰所著的一部综合性农书。其他三种均为医学著作。
以人为本是科学发展的本质和核心。以人为本中的“人”是指()。
2007年以来由美国次贷危机引发的金融危机迅速在全球蔓延。在危机面前,人们应该积极主动应对,化“危”为“机”。下列名言中,符合意识能动性原理的是()。
一般性货币政策工具包括()。
货币政策工具分为一般性工具和选择性工具。一般性货币政策工具包括公开市场操作、存款准备金和再贴现;选择性货币政策工具包括贷款规模控制、特种存款、对金融企业窗口指导等。
《新巴赛尔资本协议》的“三大支柱”是指()。
商业银行经营管理过程必须严格遵循()原则。
商业银行的“三性原则”,安全性、流动性、盈利性。
下列各项,属于流动负债的是()。
流动负债指企业在一年内或者超过一年的一个营业周期内需要偿还的债务合计,其中包括短期借款、应付票据、应付账款、预收账款、应付职工薪酬、应交税费和其他应付款等。
下列属于反映企业财务状况的会计要素是()。
反映财务状况的会计要素包括资产、负债、所有者权益。
政府间转移支付的特点是()。
人力资源管理部门的工作包括()。
人民币国际化问题,从理论上讲,具体包括()。
人民币国际化是指人民币能够跨越国界,在境外流通,成为国际上普遍认可的计价、结算及储备货币的过程。
2006年12月22日,中国银监会发布《关于调整放宽农村地区银行业金融机构准入政策更好支持社会主义新农村建设的若干意见》,允许新设立的农村地区银行业金融机构包括()。
目前我国的汇率制度是参考一篮子货币管理的浮动汇率制度。()
正确
题目统计:
本题有人做过
货币政策包括信贷政策、利率政策、外汇政策三部分。()
正确
信贷政策会影响基础货币、货币乘数;利率政策会通过基准利率影响市场利率;汇率政策影响外汇储备、汇率等。
CPU是计算机的核心,它是由控制器和运算器构成的。 ()
正确
冯·诺依曼开创了现代计算机理论,其体系结构沿用至今。 ()
正确
数据库是关系的集合,它具有统一的结构格式并存放于统一的存储介质.可被各个应用程序所共享。 ()
错误
数据库是数据的集合。
用树形结构来表示实体之间联系的模型称为关系模型。 ()
错误
此题是层次模型的概念。
在微型计算机汉字系统中,一个汉字的机内码占的字节数为2。 ()
正确
“仓禀实而知礼节,衣食足而知荣辱”这句话反映了的人的需要具有层次性。 ()
正确
某次测验总分的分布呈负偏态,说明测验整体难度偏难。 ()
错误
应该是难度偏易。
某次抽样调查研究显示,学生每天看电视的时间越多,他们的学习成绩越差。该研究属于相关研究。 ()
正确
国体决定了国家性质,我国的国体是人民民主专政。 ()
正确
科学发展观的根本方法是全面协调发展。 ()
错误
科学发展观的根本方法是统筹兼顾。
社会主义新农村建设的中心环节是生产发展。 ()
正确
2009年8月10日,曾荫权被任命为中华人民共和国澳门特别行政区第三任行政长官。()
错误
应该是崔世安。
北京奥运会开幕式上展示的巨大的“和”字,其蕴含的思想源自道家。 ()
错误
和谐是儒家思想追求的最高境界和最终目标。儒家思想强调矛盾的统一与均衡,和而不同,求同存异。
“金砖四国”是指中国、澳大利亚、俄罗斯、印度四国。 ()
错误
“金砖四国”来源于英文BRICS一词,是指巴西(Brazil)、俄国(Russi-a)、印度(India)和中国(China)四国,因这四个国家的英文名称首字母组合而成的“BRIC”一词,其发音与英文中的“砖块”(bricks)一词非常相似,故被称为“金砖四国”。
世界上唯一不变的是变,这句论断的含义是:世界上只有变,没有不变。 ()
错误
本题考查的知识点是对唯物辩证法关于发展、变化的理解和确认。世界上没有永恒存在着的事物,一切事物都是运动、变化和发展的。换句话说,世界上唯一不变的是变化,即“变是绝对的。不变是相对的”。
“四书五经中”的“四书”指的是:《诗经》、《孟子》、《孝经》、《尔雅》。 ()
错误
四书五经是四书和五经的合称,是中国儒家经典的书籍。四书指的是《论语》、《孟子》、《大学》和《中庸》;而五经指的是《诗经》、《尚书》、《礼记》、《周易》和《春秋》,简称为“诗、书、礼、易、春秋”。在之前,还有一本《乐经》,合称“诗、书、礼、乐、易、春秋”,这六本书也被称做“六经”。
《捕蛇者说》作者柳宗元、《陋室铭》作者刘禹锡和《石壕吏》作者杜甫,都是唐朝人。 ()
正确
我们日常生活中的手机、车载导航系统等经常用到GPS,GPS的全称是全球通讯系统。()
错误
GPS是全球定位系统。
某股份公司因破产进行清算,公司财产在支付完破产费用后.其偿付的优先顺序依次是优先股股东、债权人、普通股股东。 ()
错误
正确顺序应该是债权人、优先股股东、普通股股东。
第二次世界大战以后,建立了以黄金为核心的布雷顿森林体系。 ()
错误
布雷顿森林货币体系(Bretton Woods svstern)是指战后以美元为中心的国际货币体系。关税总协定作为1944年布雷顿森林会议的补充,连同布雷顿森林会议通过的各项协定,统称为“布雷顿森林体系”,即以外汇自由化、资本自由化和贸易自由化为主要内容的多边经济制度,构成资本主义集团的核心内容,是按照美国制定的原则。实现美国经济霸权的体制。
现行《宪法》规定,自治区的自治条例和单行条例的审批权属于全国人民代表大会。 ()
错误
《宪法》第116条规定:“民族自治地方的人民代表大会有权依照当地民族的政治、经济和文化的特点,制定自治条例和单行条例。自治区的自治条例和单行条例,报全国人民代表大会常务委员会批准后生效。自治州、自治县的自治条例和单行条例.报省或者自治区的人民代表大会常务委员会批准后生效,并报全国人民代表大会常务委员会备案。”
企业的半年报、季报和月报统称为中期报告。 ()
正确
按编报期间不同,财务会计报告可分为年报、半年报、季报和月报。半年报、季报和月报统称为中期报告(即短于1年的财务会计报告)。
法律主体一定是会计主体,但会计主体不一定是法律主体。 ()
正确
收入减去费用,并经过调整后,才等于利润。 ()
正确
证券的风险性是指实际收益与预期收益的背离,或者说是证券收益的不确定性。()
正确
政府存款属于中国人民银行的资产业务。 ()
错误
政府存款属于中国人民银行的负债业务。
垄断是市场失灵的一种表现。 ()
正确
人际关系管理理论把人看作是复杂人。 ()
错误
人际关系管理理论基于这样一种假设,即社会是由一群群无组织的个人所组成的;他们在思想上、行动上力争获得个人利益,追求最大限度的经济收入,即“经济人”。
“只有糟糕的将军,没有糟糕的士兵”这句话最确切地体现了管理职能的组织职能。 ()
错误
题干体现的是领导职能。
根据我国税收法律规定,城镇土地使用税实行从量计征。 ()
正确
根据《合同法》的规定,显失公平的合同属于无效合同。 ()
错误
显失公平的合同是可撤销合同。
由若干个统计指标组成的一个统计指标群,就是统计指标体系。 ()
错误
统计指标体系是根据统计任务的需要,能够全面反映统计对象数量特征和数量关系,互相联系的一套指标。不同的统计指标所反映的内容不同,根据其内容的不同统计指标可分为基础指标和特征指标。
某工厂报告期与基期相比较,某产品产量增加5%,单位产品成本下降了5%,那么,生产费用是增加。 ()
错误
生产费用=产品产量×单位产品成本,所以:生产费用指数=产品产量指数×单位产品成本指数=(1+产品产量增长率)×(1+单位产品成本增长率)=(1+5%)×[1+(-5%)]=99.75%,说明生产费用报告期比基期减少了。
当我国发生通货膨胀时,人民币相对于股票、房产等其他资产来说是较好的储藏手段。 ()
错误
当年国债还本付息额占当年财政收入的比率称为财政偿债率。 ()
正确
汽车保险不属于财产保险。 ()
错误
汽车保险是财产保险的一种。
我国当前对银行业的监管主要是由中国人民银行负责。 ()
错误
我国当前对银行业的监管主要是由银行业监督管理委员会负责。
任何会计期间,企业所有账户借方发生额合计必然等于贷方发生额合计。 ()
正确
材料:
我国大学生的创业,始于1997年。当时国内大学生发现发达国家的大学毕业生中有不少人选择自己创业,于是引入这个新概念。清华大学于1998年率先举行大学生创业计划大赛,随后,首届“挑战杯”全国大学生创业计划竞赛于1999年举办;清华大学还于2000年允许大学生休学创业,由此渐渐掀起大学生创业高潮,不少高校在校内办创业讲座、搞创业计划大赛。但是,教育部2004年的一项报告透露,全国97家开张比较早的学生企业。赢利的仅占7%,学生创办的公司,5年内仅有30%能够生存下去。2005年的另一统计则表明.创业企业失败率高达70%以上,大学生创业成功率只有2%~3%,远低于一般企业。以上各项调查.可能由于种种原因存在误差,但反映出一个共同事实:大学生创业成功率低。
为支持大学生创业,各级政府及相关部门纷纷出台优惠政策,大学生自主创业可享受到税费减免、贷款贴息、政策培训,甚至无偿使用办公场地等政策,受到广大高校毕业生的欢迎.
共青团中央:建立“青年就业创业见习基地”4083个,提供见习岗位121646个:与银监会合作,提供农村小额贷款,以创业带动就业;与团省委合作全面建立促进青年就业创业基地,解决创业资金瓶颈问题。
上海:投资5000万元,设立“大学生创业投资接力基金”。该项基金将像“接力棒”一样对大学生创业企业进行扶持,帮助企业快速成长。
福建:建立10个高校毕业生创业培训基地,扶持100个高校毕业生创业项目。为1000名有创业意向的高校毕业生提供系统的创业辅导,组织1万名高校毕业生参加创业培训。
青岛:拨款1000万元,设立“青岛市高校毕业生创业扶持基金”。
云南:每年将安排1亿元资金支持自主创业。
重庆:大学生创业可贷款100万元,小额贷款政府全贴息。
在各级政府支持大学生创业的优惠扶持政策的推动下,各地出现了多种形式的创业案例:吉林省辽源市的东北袜业纺织工业园最近出台了一个“零投资”的创业计划,为大学生开办袜厂提供场地、资金和设备,有创业就以分期付款的方式偿还投资。这一计划吸引了很多大学生参与,但也有大学生表示,做袜子、卖袜子没有多少知识含量,属于大材小用,自己不会去干。
彭良柱大学毕业后,回乡创业当上“猪倌”。3年时间,他的猪场初具规模。如今资产已达到400多万。他说“大学生有知识,接受新事物快,只要放下架子到基层吃苦,总会有回报”。
请结合上述资料谈谈怎样才能提高大学生自主创业的成功率。
第一,各级政府及相关部门要积极出台优惠政策,如税费减免、贷款贴息、政策培训等,支持大学生创业。
第二,加大财政投入,安排创业专项基金,全面建立促进青年就业创业基地,解决大学生创业资金瓶颈问题。
第三,积极对大学生进行创业技能培训,开展各种创业经验交流会,提高大学生创业技能和素质。
第四,加强宣传教育,帮助大学生转变观念,鼓励大学生到基层锻炼,从实践中学习创业本领。
您目前分数偏低,基础较薄弱,建议加强练习。