对于一个基于网络的应用系统,在客户端持续地向服务端提交作业请求的过程中,若作业响应时间越短,则服务端( )
吞吐量是在给定时间段内系统完成的交易数量。吞吐量越大,说明系统在单位时间内完成的用户或系统请求越多,系统资源利用就越充分。
面向对象中的 ()机制是对现实世界中遗传现象的模拟,通过该机制,基类的属性和方法被遗传给派生类。
本题考查继承的基本概念。继承表示子类可以直接具有父类的方法和属性,如同现实世界中的遗传一样。
关于汇编语言,以下叙述中正确的是 ( ) 。
本题考查程序语言基本知识。
计算机能直接识别或执行的语言是机器语言,其他形式的语言程序都要先翻译成机器语言才能运行。汇编语言是对机器语言的第一层抽象。将0、1序列表示的操作用符号表示,例如,用MOV表示数据传送、ADD表示相加运算等,因此汇编语言需要翻译,实现该翻译任务的软件称为汇编程序(或汇编器)。
对高级语言源程序进行编译时,可发现源程序中的 ( ) 错误。
本题考查编译过程基本知识。
高级语言源程序中的错误分为两类:语法错误和语义错误,其中语义错误又可分为静态语义错误和动态语义错误。语法错误指语言结构上的错误:静态语义错误指编译时就能发现的程序含义上的错误,动态语义错误只有在程序运行时才能表现出来。堆栈溢出、指针异常和数组元素下标越界都是程序运行中才能出现的问题,而遵循先声明后引用原则的程序语言必须先定义变量,然后才能使用,否则编译器会在语法分析阶段指出变量未定义错误。
UML是一种( )。
本题考查UML的基本概念。UML,是统一建模语言,主要用于系统建模。UML可应用于任意的软件系统开发方法,它不是一种程序设计语言。
依据我国著作权法的规定,( )不可转让,不可被替代,不受时效的约束。
著作权法规定:“著作权人可以全部或者部分转让本条第一款第(五)项至第(十七)项规定的权利,并依照约定或者本法有关规定获得报酬。”其中,包括署名权。
在Outlook中,通常借助 ( ) 来传送一个文件。
本题考查的是电子邮件方面的基础知识。
一般邮件就像是普通的书信,附件可以理解为在信封内又有个小信件,用来说明或者提供材料用的,电子表格、网页和数据库等是不能简单用文本形式的邮件来发送的,而且表格、网页和数据库等在邮件服务商提供的信纸界面上是显示不出来的,所以要以Outlook提供附件功能的形式发送。
使用 ( ) 技术,计算机的微处理器可以在完成一条指令前就开始执行下一条指令。
本题考查计算机中流水线概念。
使用流水线技术,计算机的微处理器可以在完成一条指令前就开始执行下一条指令。流水线方式执行指令是将指令流的处理过程划分为取指、译码、取操作数、执行并写回等几个并行处理的过程段。目前,几乎所有的高性能计算机都采用了指令流水线。
在Windows Server 2003操作系统中可以通过安装 ( ) 组件创建FTP站点。
本题主要考查网络操作系统中应用服务器配置相关知识。
IIS是建立Internet/Intranet的基本组件,通过超文本传输协议(HTTP)传输信息,还可配置IIS以提供文件传输协议(FTP)和其他服务。它不同于一般的应用程序,就像驱动程序一样是操作系统的一部分,具有在系统启动时被同时启动的服务功能。InternetExplorer(IE)是由微软公司基于Mosaic开发的浏览器。与Netscape类似,IE内置了一些应用程序,具有浏览、发信和下载软件等多种网络功能。POP3是邮件接收相关协议。DNS是域名系统的缩写,该系统用于命名组织到域层次结构的映射。
在Word编辑状态下,可以把一段文字的格式快速应用到另一段文字上,以提高编排文章的效率,其方法是:单击常用工具栏上的 () 按钮;然后移动鼠标到待格式化的文本开始处, () 。


在Word编辑状态下,可以把一段文字的格式快速应用到另一段文字上,以提高编排文章的效率,其方法是:单击常用工具栏上的 () 按钮;然后移动鼠标到待格式化的文本开始处, () 。

Excel 单列表格( )可以根据“分隔符号”分列成多列表格。如果选中某单元格并输入 2000,回车后此单元格的显示内容为¥2000,那么应将此单元格的格式设置成() 。

本题考查的是计算机操作方面的基础知识。试题(3)的正确选项为B。因为Excel中,将单列表格分列成多列表格的步骤:首先选择要分列的区域,在本题中均为A1~A4单元格。在Excel的菜单栏中选择“数据”→ “分列”命令,出现“文本分列向导”对话框,如图A所示:单击“下一步”按钮,出现如图B所示的对话框,此时选择“分隔符号”为逗号;单击“下一步”按钮,出现如图C所示的对话框;单击“完成”按钮,
得到分列成多列的表格,如图D所示。

本题使用“固定宽度”也可以分列成功,但题中要求使用“分隔符号”的方法,分隔符号要选择单列数据中的表头和具体记录中都使用的统一的分隔符号,在本题中只有B全部使用的逗号,符合使用“分隔符号”进行分列的要求。
需要说明的是,如果在图B中即选择分号,也选择逗号,那么答案C和D也能分列成多列表格。
试题(4)的正确选项为C。因为在Excel中,单元格的格式是可以设置的。选择要改变格式的单元格,选择“格式” → “单元格”命令,出现“单元格格式”对话框,选择对话框的“数字”选项卡可以选择单元格的类型。本题中,如果在分类中选择“数值”,那么在输入2000后不能显示人民币符号¥;应该在分类中选择“货币”,并在货币符号栏选择¥才能满足试题要求。
Excel 单列表格( )可以根据“分隔符号”分列成多列表格。如果选中某单元格并输入 2000,回车后此单元格的显示内容为¥2000,那么应将此单元格的格式设置成() 。
本题考查的是计算机操作方面的基础知识。试题(3)的正确选项为B。因为Excel中,将单列表格分列成多列表格的步骤:首先选择要分列的区域,在本题中均为A1~A4单元格。在Excel的菜单栏中选择“数据”→ “分列”命令,出现“文本分列向导”对话框,如图A所示:单击“下一步”按钮,出现如图B所示的对话框,此时选择“分隔符号”为逗号;单击“下一步”按钮,出现如图C所示的对话框;单击“完成”按钮,
得到分列成多列的表格,如图D所示。

本题使用“固定宽度”也可以分列成功,但题中要求使用“分隔符号”的方法,分隔符号要选择单列数据中的表头和具体记录中都使用的统一的分隔符号,在本题中只有B全部使用的逗号,符合使用“分隔符号”进行分列的要求。
需要说明的是,如果在图B中即选择分号,也选择逗号,那么答案C和D也能分列成多列表格。
试题(4)的正确选项为C。因为在Excel中,单元格的格式是可以设置的。选择要改变格式的单元格,选择“格式” → “单元格”命令,出现“单元格格式”对话框,选择对话框的“数字”选项卡可以选择单元格的类型。本题中,如果在分类中选择“数值”,那么在输入2000后不能显示人民币符号¥;应该在分类中选择“货币”,并在货币符号栏选择¥才能满足试题要求。
将十六进制数9B 转换为八进制数为 ()
本题考查数制转换。
9B16= 10 011 0112= 2338
冯?诺依曼体系结构的计算机有两个主要组成部件:内存和处理器。其中,内存用于存储指令和数据。在大多数高级语言程序中, () 是内存单元的抽象。微处理器中的ALU 可执行算术运算和 () 操作。
本题考查计算机硬件基本知识。
在大多数高级语言程序中,将数据存储在变量中,并用表达式和语句表示对数据的处理。程序语言中的数据类型规定数据的取值范围、表示方式和允许的运算。程序在计算机中运行时,要将程序代码及数据全部放入内存,因此变量是内存单元的抽象。微处理器主要由控制单元(CU)、算逻运算单元(ALU)及寄存器组成,其中ALU可执行算术运算和逻辑运算。
冯?诺依曼体系结构的计算机有两个主要组成部件:内存和处理器。其中,内存用于存储指令和数据。在大多数高级语言程序中, () 是内存单元的抽象。微处理器中的ALU 可执行算术运算和 () 操作。
本题考查计算机硬件基本知识。
在大多数高级语言程序中,将数据存储在变量中,并用表达式和语句表示对数据的处理。程序语言中的数据类型规定数据的取值范围、表示方式和允许的运算。程序在计算机中运行时,要将程序代码及数据全部放入内存,因此变量是内存单元的抽象。微处理器主要由控制单元(CU)、算逻运算单元(ALU)及寄存器组成,其中ALU可执行算术运算和逻辑运算。
已知某字符的编码为“0100101”,若最高位增加一个偶校验位,则其编码变为() 。
本题考查数据编码和校验基础知识。
偶校验是指数据编码(包括校验位)中“1”的个数应该是偶数。因此,若除去校验位,编码中“1”的个数是奇数时,校验位应设置为1;否则,校验位应设置为0。本题“0100101”中有3个“1”,所以最高位增加一个偶校验位后为“10100101”。
在显存中,表示黑白图像的像素点最少需 () 位。
本题考查像素深度的基本知识。像素深度决定图像中每个像素可能有的颜色数,对于黑白图像是确定图像的每个像素可能有的灰度等级。每个像素被量化后将用若干二进制位来表示,一位二进制位只能表示像素的亮或暗,这就是黑白图像或称为二值图像。
设机器码的长度为8,x为带符号纯小数,y 为带符号纯整数,[X]原=11111111,[Y]补= 11111111,则x的十进制真值为 () ,y的十进制真值为 () 。
本题考查数值数据在计算机中的表示。
数值X的原码记为[X]原,根据定义,如果机器字长为n(即采用n个二进制位表示数据),则最高位是符号位,0表示正号,1表示负号,其余的n-1位表示数值的绝对值。因此,[X]原=11111111时,X=-0.1111111,即X =-127/ 128 。
数值Y的补码记作[Y]补,如果机器字长为n,则最高位为符号位,0表示正号,1表示负号,正数的补码与其原码相同,负数的补码则等于其原码数值部分各位取反末位再加1。因此,[Y]补=11111111时,[X]原=10000001,则Y=-0000001,即Y=-1。
设机器码的长度为8,x为带符号纯小数,y 为带符号纯整数,[X]原=11111111,[Y]补= 11111111,则x的十进制真值为 () ,y的十进制真值为 () 。
本题考查数值数据在计算机中的表示。
数值X的原码记为[X]原,根据定义,如果机器字长为n(即采用n个二进制位表示数据),则最高位是符号位,0表示正号,1表示负号,其余的n-1位表示数值的绝对值。因此,[X]原=11111111时,X=-0.1111111,即X =-127/ 128 。
数值Y的补码记作[Y]补,如果机器字长为n,则最高位为符号位,0表示正号,1表示负号,正数的补码与其原码相同,负数的补码则等于其原码数值部分各位取反末位再加1。因此,[Y]补=11111111时,[X]原=10000001,则Y=-0000001,即Y=-1。
微机启动时使用的有关计算机硬件配置的重要参数保存在 () 中。
本题考查计算机方面的基础知识。
Cache是高速缓冲存储器,常用于在高速设备和低速设备之间数据交换时进行速度缓冲。RAM是随机访问存储器,即内存部件,是计算机工作时存放数据和指令的场所,断电后内容不保留。CMOS是一块可读写的RAM芯片,集成在主板上,里面保存着重要的开机参数,而保存是需要电力来维持的,所以每一块主板上都会有一颗纽扣电池,叫CMOS电池。CMOS主要是用来保存当前系统的硬件配置和操作人员对某些参数的设定。微机启动自检时,屏幕上的很多数据就是保存在CMOS芯片里的,要想改变它,必须通过程序把设置好的参数写入CMOS,所以,通常利用BIOS程序来读写。
下图所示的微机主板的①处是 () 插槽,②处是 () 接口。

本题考查微机主板接口方面的基础知识。在微机主板中①处是CPU插槽,可以将CFU插入该插槽中。②处为RJ-45接口,可以用RJ-45连接线连接相关设备,如集线器、路由器等。
下图所示的微机主板的①处是 () 插槽,②处是 () 接口。

本题考查微机主板接口方面的基础知识。在微机主板中①处是CPU插槽,可以将CFU插入该插槽中。②处为RJ-45接口,可以用RJ-45连接线连接相关设备,如集线器、路由器等。
操作系统的任务是 () 。
本题考查操作系统基本概念。操作系统的任务是管理计算机系统中的软、硬件资源:把源程序转换为目标代码的是编译或汇编程序;负责存取数据库中各种数据的是数据库管理系统:负责文字格式编排和数据计算的是文字处理软件和计算软件。
设初始栈为空,s表示入栈操作,x表示出栈操作,则 () 是合法的操作序列。
本题考查数据结构中栈的基本知识。
栈是操作受限的线性表,其特点是后进先出。应用中可将栈看作一个桶状的容器,当栈中有元素时,栈顶元素先出栈,栈为空时进行出栈操作是不正确的。因此,对于一个关于初始为空的找的操作序列,要求序列中任何一个操作之前,入栈操作的次数要大于等于出栈操作的次数。题目选项中仅操作序列sxsxssxx满足该要求。
在下面的程序代码中,a是全局变量。若以引用调用(call by reference)方式调用函数f,则输出结果为 () ;若以值调用(call by value)方式调用函数f,输出结果为() 。

本题考查函数调用时的参数传递基本知识。
传值调用是指将实际参数的值传递给形式参数,实际参数与形式参数对应的存储单元是相互独立的,实际参数仅为形式参数提供初始值,在被调用函数中对形式参数的修改与实际参数没有关系。题目中,实际参数a的值为5,传值调用时将5传递给形式参数x,a是全局变量,所以函数f中对a和x的引用是两个对象,如下图(a)所示,函数的返回值为36;引用调用时形式参数和实际参数对应的存储单元都是实参的单元,因此函数中对a和x的引用是同一个对象,如下图(b)所示,函数的返回值为64。

在下面程序代码中,a是全局变量。若以引用调用(call by reference)方式调用函数f,则输出结果为 () ;若以值调用(call by value)方式调用函数f,输出结果为() 。

本题考查函数调用时的参数传递基本知识。
传值调用是指将实际参数的值传递给形式参数,实际参数与形式参数对应的存储单元是相互独立的,实际参数仅为形式参数提供初始值,在被调用函数中对形式参数的修改与实际参数没有关系。题目中,实际参数a的值为5,传值调用时将5传递给形式参数x,a是全局变量,所以函数f中对a和x的引用是两个对象,如下图(a)所示,函数的返回值为36;引用调用时形式参数和实际参数对应的存储单元都是实参的单元,因此函数中对a和x的引用是同一个对象,如下图(b)所示,函数的返回值为64。

满二叉树的特点是每层上的结点数都达到最大值,因此对于高度为 h(h>1)的满二叉树,其结点总数为 () 。对非空满二叉树,由根结点开始,按照先根后子树、先左子树后右子树的次序,从 1、2、3、…依次编号,则对于树中编号为 i 的非叶子结点,其右子树的编号为 () (高度为3的满二叉树如下图所示)。

本题考查数据结构中二叉树的基本知识。
满二叉树的第1层(树根)有1个结点,第二层有2个结点,第三层有4个结点,依此类推,第h层有2h-1个结点。将所有层上的结点数相加就是树中的结点总数,即20+21+22+…+2h-1=2h-1。显然对非空满二叉树中的结点按照题目中的方式进行编号,结点i的左子树编号为2i,右子树编号为2i+1。
满二叉树的特点是每层上的结点数都达到最大值,因此对于高度为 h(h>1)的满二叉树,其结点总数为 () 。对非空满二叉树,由根结点开始,按照先根后子树、先左子树后右子树的次序,从 1、2、3、…依次编号,则对于树中编号为 i 的非叶子结点,其右子树的编号为 () (高度为3的满二叉树如下图所示)。

本题考查数据结构中二叉树的基本知识。
满二叉树的第1层(树根)有1个结点,第二层有2个结点,第三层有4个结点,依此类推,第h层有2h-1个结点。将所有层上的结点数相加就是树中的结点总数,即20+21+22+…+2h-1=2h-1。显然对非空满二叉树中的结点按照题目中的方式进行编号,结点i的左子树编号为2i,右子树编号为2i+1。
采用哈希(或散列)技术构造查找表时,需要考虑冲突(碰撞)的处理,冲突是指 () 。
本题考查数据结构中散列查找表基本知识。
哈希(或散列)技术是指将数据元素存入查找表时,根据元素的关键字值使用一个提前设定的散列函数计算出元素的存储位置进行查找。通常情况下,散列函数无法实现绝对均匀的散列处理,即可能将关键字不同的数据元素散列到同一个存储单元,这种情况称为冲突,发生冲突的关键字称为同义词。
数据结构中的树最适合用来表示 () 的情况。
本题考查数据结构中树的基本知识。
树结构中一个数据元素可以有两个或两个以上的直接后继元素。可以用来描述客观世界中广泛存在的层次关系。
树是n(n≥0)个结点的有限集合。当n=0时称为空树。在任一非空树(n>0)中,有且仅有一个称为根的结点;其余结点可分为m(m≥O)个互不相交的有限集T1,T2,…,Tm,其中每个集合又都是一棵树,并且称为根结点的子树。因此,树中数据元素之间具有一对多的逻辑关系。
某循环队列的容量为M,队头指针指向队头元素,队尾指针指向队尾元素之后,如下图所示(M=8),则队列中的元素数目为 () (MOD表示整除取余运算)。

本题考查数据结构中队列的础知识。
队列是仅在表头删除元素、在表尾插入元素的操作受限的线性表,其特点是先入先出。应用中可以将队列看作容器。队列采用顺序存储结构(一维数组,顺序队列)时,为了降低运算的复杂度,元素入队时,只需修改队尾指针rear (rear+1→rear);元素出队时,只需修改队头指针front(front+1→front)。由于顺序队列的存储空间是提前设定的,所以队尾指针会有一个上限值,当队尾指针达到其上限时,就不能只通过修改队尾指针来实现新元素的入队操作了。此时,可将顺序队列假想成一个环状结构,称为循环队列。队列容量为M时,队头指针front和队尾指针rear的值循环地在0~M-1之间变化,当rear>front时,队列中元素数目为rear-front;当rear<front时,队列中元素数目为rear–front + M。综上,队列中元素数目为(rear-front+M)MOD M 。
下列关于结构化设计与面向对象设计的叙述中,不正确的是 () 。
本题考查结构化设计与面向对象设计的基本概念。结构化设计是以过程为核心,而面向对象设计则是以对象设计为核心,因为面向对象设计支持封装:将数据及其对应的操作绑定在一起。因此,面向对象设计更容易支持数据结构的修改以及系统的维护。
下面关于类、对象和实例的叙述中,错误的是 () 。
本题考查类、对象和实例之间的关系。类是对象的模板或者说是一组具有共同特征的对象集合。对象是类的实例。
瀑布模型是传统的软件开发过程模型,它强调各阶段的严格性,其主要缺点是 () 。
本题考查软件生存期模型的理解。瀑布模型规定了软件开发各阶段具有严格的先后衔接顺序,如瀑布流水,逐级下落。每阶段在上一阶段的结果基础上进行,并给出本阶段的工作成果。但瀑布模型缺乏灵活性,特别是无法解决软件需求不明确或不准确的问题,而这些问题的存在可能导致开发出的软件不是用户真正需要的。为弥补其不足,后来提出了多种其他模型,如演化模型、螺旋模型和喷泉模型等。
将软件从一种计算机环境转换到另一种环境运行的难易程度是指软件的 () 。在规定的条件下和规定的时间间隔内,按设计要求,软件成功运行的特性称为 () 。
本题考查软件质量的基础知识。软件可靠性指按照设计要求,软件在规定时间间隔内和条件下,能够成功运行的程度,软件可靠性常使用平均失效等待时间和平均失效间隔时间进行定量度量。可移植性指将软件从一种运行环境(包括软件、硬件环境)移植到另外一种运行环境时需要的工作量和难易程度,该特性对于软件可靠性和执行效率存在一定影响。
将软件从一种计算机环境转换到另一种环境运行的难易程度是指软件的 () 。在规定的条件下和规定的时间间隔内,按设计要求,软件成功运行的特性称为 () 。
本题考查软件质量的基础知识。软件可靠性指按照设计要求,软件在规定时间间隔内和条件下,能够成功运行的程度,软件可靠性常使用平均失效等待时间和平均失效间隔时间进行定量度量。可移植性指将软件从一种运行环境(包括软件、硬件环境)移植到另外一种运行环境时需要的工作量和难易程度,该特性对于软件可靠性和执行效率存在一定影响。
软件测试通常采用黑盒测试和白盒测试。其中黑盒测试根据软件的 () 设计测试用例,白盒测试根据软件的 () 设计测试用例。
本题考查软件测试用例设计方法。对软件进行测试之前,需要设计测试用例,常用的用例设计方法是黑盒测试和白盒测试。从逻辑上,任何软件都可以划分为接口部分和内部实现部分,其中接口部分表明了软件具有的功能,内部实现部分说明了软件的内部工作原理和过程。黑盒测试就是将软件看作一个黑盒子,无需考虑其内部结构和特征,仅依据软件的规格说明来设计测试用例并进行测试,来验证软件功能是否符合要求。白盒测试是在了解软件的内部工作过程,设计测试用例并进行测试,来验证每种内部操作是否符合设计规格要求。
软件测试通常采用黑盒测试和白盒测试。其中黑盒测试根据软件 () 设计测试用例,白盒测试根据软件的 () 设计测试用例。
本题考查软件测试用例设计方法。对软件进行测试之前,需要设计测试用例,常用的用例设计方法是黑盒测试和白盒测试。从逻辑上,任何软件都可以划分为接口部分和内部实现部分,其中接口部分表明了软件具有的功能,内部实现部分说明了软件的内部工作原理和过程。黑盒测试就是将软件看作一个黑盒子,无需考虑其内部结构和特征,仅依据软件的规格说明来设计测试用例并进行测试,来验证软件功能是否符合要求。白盒测试是在了解软件的内部工作过程,设计测试用例并进行测试,来验证每种内部操作是否符合设计规格要求。
数据库是在计算机系统中按照一定的数据模型组织、存储和应用的 () 的集合。
本题考查数据库系统方面的基础知识。数据库是在计算机系统中按照一定的数据模型组织、存储和应用的数据的集合,支持数据库各种操作的软件系统叫做数据库管理系统(DBMS)。数据库也是以文件方式存储数据的,但是它是数据的一种更高级的组织形式,在应用程序和数据库之间由DBMS负责数据的存取。
DBMS对数据的处理方式和文件系统不同,它把所有应用程序中使用的数据以及数据间的联系汇集在一起,以便于应用程序查询和使用。数据库系统与文件系统的区别是:数据库对数据的存储是按照同一结构进行的,不同的应用程序都可以直接操作这些数据(即对应用程序的高度独立性)。数据库系统对数据的完整性、唯一性和安全性都提供一套有效的管理手段(即数据的充分共享性)。数据库系统还提供管理和控制数据的各种简单操作命令,使用户编写程序时容易掌握(即操作方便性)。
对于下图所示的Students和SC关系,属性Sno 表示学号,Sname 表示姓名,Sex表示性别,SD 表示专业,Age表示年龄,Cno表示课程号,Grade表示成绩。

a.当用户查询“选了课程 2 的学生数”时,其结果应为 () ;当 Students 和 SC关系进行自然连接时,其结果集的属性列数应为 () 。
b.查询“至少选修了两门课程的每个学生的平均成绩”的SQL语句如下:
SELECT Sno, ()
FROM SC
GROUP BY Sno
() >1;
本题考查的是应试者对关系运算、SQL语言的掌握程度。
试题(59),(60)考查的是关系运算的基础知识。表SC为学生选课表,由于表中有三个不同的学生学号Sno。因此试题(59)的正确答案为A。当Students和SC关系进行自然连接时,其结果集的属性列数为7个。因为自然连接是一种特殊的等值连接,它要求两个关系中进行比较的分量必须是相同的属性组,并且在结果集中将重复属性列去掉,因此结果集的属性列数为7个。
试题(61)正确的答案是C,因为试题要求每个学生的平均成绩,所以使用平均值集函数avg。SQL提供了5个预定义集函数:avg(平均值)、min(最小值)、max(最大值)、sum(求和)及count(计数)。
试题(62)正确的答案是D,因为元组在分组前按照某种方式加上限制,使得不需要的分组为空,应该在GROUP BY子句后面跟一个HAVING子句。即查询至少选修了两门课程的每个学生的乎均成绩的SQL语句如下:
SELECT Sno,AVG(Grade)
FROM SC
GROUP BY Sno
HAVING COUNT (DISTINCT(SNO))>1:
对于下图所示的Students和SC关系,属性Sno 表示学号,Sname 表示姓名,Sex表示性别,SD 表示专业,Age表示年龄,Cno表示课程号,Grade表示成绩。

a.当用户查询“选了课程 2 的学生数”时,其结果应为 () ;当 Students 和 SC关系进行自然连接时,其结果集的属性列数应为 () 。
b.查询“至少选修了两门课程的每个学生的平均成绩”的SQL语句如下:
SELECT Sno, ()
FROM SC
GROUP BY Sno
() >1;
本题考查的是应试者对关系运算、SQL语言的掌握程度。
试题(59),(60)考查的是关系运算的基础知识。表SC为学生选课表,由于表中有三个不同的学生学号Sno。因此试题(59)的正确答案为A。当Students和SC关系进行自然连接时,其结果集的属性列数为7个。因为自然连接是一种特殊的等值连接,它要求两个关系中进行比较的分量必须是相同的属性组,并且在结果集中将重复属性列去掉,因此结果集的属性列数为7个。
试题(61)正确的答案是C,因为试题要求每个学生的平均成绩,所以使用平均值集函数avg。SQL提供了5个预定义集函数:avg(平均值)、min(最小值)、max(最大值)、sum(求和)及count(计数)。
试题(62)正确的答案是D,因为元组在分组前按照某种方式加上限制,使得不需要的分组为空,应该在GROUP BY子句后面跟一个HAVING子句。即查询至少选修了两门课程的每个学生的乎均成绩的SQL语句如下:
SELECT Sno,AVG(Grade)
FROM SC
GROUP BY Sno
HAVING COUNT (DISTINCT(SNO))>1:
对于下图所示的Students和SC关系,属性Sno 表示学号,Sname 表示姓名,Sex表示性别,SD 表示专业,Age表示年龄,Cno表示课程号,Grade表示成绩。

a.当用户查询“选了课程 2 的学生数”时,其结果应为 () ;当 Students 和 SC关系进行自然连接时,其结果集的属性列数应为 () 。
b.查询“至少选修了两门课程的每个学生的平均成绩”的SQL语句如下:
SELECT Sno, ()
FROM SC
GROUP BY Sno
() >1;
本题考查的是应试者对关系运算、SQL语言的掌握程度。
试题(59),(60)考查的是关系运算的基础知识。表SC为学生选课表,由于表中有三个不同的学生学号Sno。因此试题(59)的正确答案为A。当Students和SC关系进行自然连接时,其结果集的属性列数为7个。因为自然连接是一种特殊的等值连接,它要求两个关系中进行比较的分量必须是相同的属性组,并且在结果集中将重复属性列去掉,因此结果集的属性列数为7个。
试题(61)正确的答案是C,因为试题要求每个学生的平均成绩,所以使用平均值集函数avg。SQL提供了5个预定义集函数:avg(平均值)、min(最小值)、max(最大值)、sum(求和)及count(计数)。
试题(62)正确的答案是D,因为元组在分组前按照某种方式加上限制,使得不需要的分组为空,应该在GROUP BY子句后面跟一个HAVING子句。即查询至少选修了两门课程的每个学生的乎均成绩的SQL语句如下:
SELECT Sno,AVG(Grade)
FROM SC
GROUP BY Sno
HAVING COUNT (DISTINCT(SNO))>1:
对于下图所示的Students和SC关系,属性Sno 表示学号,Sname 表示姓名,Sex表示性别,SD 表示专业,Age表示年龄,Cno表示课程号,Grade表示成绩。

a.当用户查询“选了课程 2 的学生数”时,其结果应为 () ;当 Students 和 SC关系进行自然连接时,其结果集的属性列数应为 () 。
b.查询“至少选修了两门课程的每个学生的平均成绩”的SQL语句如下:
SELECT Sno, ()
FROM SC
GROUP BY Sno
() >1;
本题考查的是应试者对关系运算、SQL语言的掌握程度。
试题(59),(60)考查的是关系运算的基础知识。表SC为学生选课表,由于表中有三个不同的学生学号Sno。因此试题(59)的正确答案为A。当Students和SC关系进行自然连接时,其结果集的属性列数为7个。因为自然连接是一种特殊的等值连接,它要求两个关系中进行比较的分量必须是相同的属性组,并且在结果集中将重复属性列去掉,因此结果集的属性列数为7个。
试题(61)正确的答案是C,因为试题要求每个学生的平均成绩,所以使用平均值集函数avg。SQL提供了5个预定义集函数:avg(平均值)、min(最小值)、max(最大值)、sum(求和)及count(计数)。
试题(62)正确的答案是D,因为元组在分组前按照某种方式加上限制,使得不需要的分组为空,应该在GROUP BY子句后面跟一个HAVING子句。即查询至少选修了两门课程的每个学生的乎均成绩的SQL语句如下:
SELECT Sno,AVG(Grade)
FROM SC
GROUP BY Sno
HAVING COUNT (DISTINCT(SNO))>1:
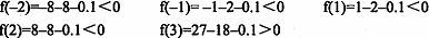
为了用二分法求函数 f(x)=x3-2x2-0.1 的根(方程 f(x)=0 的解),可以选择初始区间() 。也就是说,通过对该区间逐次分半可以逐步求出该函数的一个根的近似值。
为了用二分法求函数f(x)的根(方程f(x)=0的解),首先需要确定初始区间[x1, x2],使f(x1)f(x2)≤0。其原理是:只要连续函数f(x)在某区间的两端点上符号相反,则在该区间内必存在一个根。也就是说,从负值连续变到正值必然会经过零值;从正值连续变到负值也必然要经过0值。

所以,在区间[2, 3]中必然存在f(x)的一个根,[2, 3]可以作为二分法求f(x)之根的初始区间。
设任意多面体的顶点数为 V,边数为 E,面数为 F。请根据实例判断并选出正确反映这三者之间关系的公式() 。
任意多面体的顶点数、边数与面数具有确定的关系(欧拉定理),但不要求大家记住这种公式。本题要求考生从给出的4个关系式中舍弃不正确者,选出正确的公式。人们通常用举例的方法排除不正确者,选出正确者。
例如,正方体属于六面体,有8个点、12条边、6个面,即V=8,E=12,F=6。对于该例,上述关系式中B与D成立,因此,可以排除选项A与C。
再例如,正四面体有4个顶点、6条边、四个面,即V=4,E=6,F=4。对于该例,上述关系式中只有B、C成立,因此,可以排除选项A与D。
根据上述两例,排除了选项A、C、D,于是选出了正确答案B。
在TCP/IP 传输层的段(segment)中,采用() 来区分不同的应用进程。
在TCP/IP传输层的段中,采用端口号来区分不同的应用进程。这是因为端口的作用就是让传输层的各种应用进程都能将其数据通过端口向下交付给传输层,以及让传输层知道应当将其报文段的数据向上通过端口交付给应用层相应的进程。
在检测网络故障时使用的ping命令是基于 () 协议实现的。
本题考查的是ICMP协议。
由于IP协议并不是一个可靠的协议,它不保证数据被送达,所以保证数据送达的工作应该由其他的模块来完成。其中一个重要的模块就是ICMP(网络控制报文)协议。
当传送IP数据包发生错误。如主机不可达,路由不可达等,ICMP协议将会把错误信息封包,然后传送给主机。给主机一个处理错误的机会,这就是为什么说建立在IP层以上的协议是可能做到安全的原因。
ICMP数据包由8位的错误类型,8位的代码和16位的校验和组成。而前16位就组成了ICMP所要传递的信息。
Ping命令是ICMP最著名的应用。
某主机的IP 地址为10.100.100.01/20,其子网掩码是 () 。
主机地址10.100.100.01/20需要20位子网掩码,其二进制形式为:
11111111.11111111.11110000.00000000=255.255.240.0
因特网最高层域名分为机构性域名和地理性域名两大类,目前主要有14种机构性域名,其中() 是教育机构域名。
本题考查的是电子邮件处理方面的基础知识。最高层域名分为两大类:机构性域名和地理性域名。目前共有14种机构性域名:COM(盈利性的商业实体)、EDU(教育机构或设施)、GOV(非军事性政府或组织)、INT(国际性机构)、MIL(军事机构或设施)、NET(网络资源或组织)、ORG(非盈利性组织机构)、FIRM(商业或公司)、STORE(商场)、WEB(和WWW有关的实体)、ARTS(文化娱乐)、ARC(消遣性娱乐)、INFU(信息服务)和NOM(个人)。
在软件开发中使用函数库可 () 。
本题考查软件开发基础知识。目前绝大多数程序设计语言都支持函数机制,例如C语言提供了基本的I/O操作、数学运算等函数,并将这些常用函数以函数库形式提供给软件开发者。在应用软件开发中也可以将系统常用操作定义为函数,并打包成函数库,这样做的目的主要是为提高软件的可重用性,并降低程序各部分之间的耦合度,从而使得这些函数库可在多个软件中重复使用。
图像文件格式可以分为静态格式和动态格式, () 属于动态图像文件格式。
本题考查图像文件格式方面的基础知识。
· BMP文件(.BMP): BMP图像文件是Windows操作系统采用的图像文件格式,在Windows环境下运行的所有图像处理软件几乎都支持BMP图像文件格式。BMP采用位映射存储格式,除了图像深度可选以外,一般不采用其他任何压缩,所以占用的存储空间较大。BMP文件的图像深度可选1、4、8及24位,有黑白、16色、256色和真彩色之分。
· PNG文件:PNG文件是作为G1F的替代品开发的,它能够避免使用GIF文件所遇到的常见问题。它从GIF那里继承了许多特征,增加了一些GIF文件所没有的特性。用来存储灰度图像时,灰度图像的深度可达16位,存储彩色图像时,彩色图像的深度可达48位。在压缩数据时,它采用了一种LZ77算法派生无损压缩算法。
· WMF文件(.WMF):WMF文件只在Windows中使用,它保存的不是点阵信息,而是函数调用信息。它将图像保存为一系列GDI(图形设备接口)的函数调用,在恢复时,应用程序执行源文件(即执行一个个函数调用)在输出设备上画出图像。WMF文件具有设备无关性,文件结构好,但是解码复杂,其效率比较低。
· AVI文件(.AVI ):是Microsoft公司开发的一种符合RIFF文件规范的数字音频与视频文件格式,Windows95/98、OS/2等多数操作系统直接支持。AVI格式允许视频和音频交错在一起同步播放,支持256色和RLE压缩。AVI文件未限定压缩标准。只是作为控制界面上的标准,不具有兼容性,用不同压缩算法生成的AVI文件,必须使用相同的解压缩算法才能播放出来。
() 图像通过使用彩色查找表来获得图像颜色。
本题考查真彩色和伪彩色方面的基本概念。真彩色一般是指组成一幅彩色图像的每个像素值中,有R、G、B三个基色分量,每个基色分量直接决定显示设备的基色强度,这样产生的彩色称为真彩色。在生成图像时,对图像中不同色彩进行采样,可产生包含各种颜色的颜色表,称为彩色查找表。描述图像每个像素的颜色也可以不由每个基色分量的数值直接决定,而是把像素值作为彩色查找表的表项入口地址,去找出相应的R、G、B强度值所产生的彩色。用这种方法描述的像素颜色称为伪彩色。彩色查找表是一个事先做好的表,表的入口地址也称为索引号。使用查找表得到的数值显示的彩色不是图像本身真正的颜色,它没有完全反映原图的彩色,所以称为伪彩色。
图形是用一系列计算机指令来描述和记录的一幅图的内容,即通过指令描述构成一幅图的所有直线、曲线、圆、圆弧和矩形等图元的位置、维数和形状,也可以用更为复杂的形式表示图像中的曲面、光照和材质等效果。矢量图法实质上是用数学的方式来描述一幅图形图像,在处理图形图像时根据图元对应的数学表达式进行编辑和处理。在屏幕上显示一幅图形图像时,首先要解释这些指令,然后将描述图形图像的指令转换成屏幕上显示的形状和颜色。编辑矢量图的软件通常称为绘图软件,如适于绘制机械图、电路图的AutoCAD软件等。矢量图形主要用子表示线框型的图画、工程制图和美术字等。
计算机 () 感染可执行文件。一旦直接或间接执行了被该病毒感染的程序,该病毒会按照编制者的意图对系统进行破坏。
本题考查计算机安全方面的基础知识。计算机文件型病毒感染可执行文件。一旦直接或间接执行了被该病毒感染的程序,该病毒会按照编制者的意图对系统进行破坏。
为防止攻击者通过 Windows XP 系统中正在运行的Telnet服务登录到用户的计算机,可以对Windows XP中Telnet服务进行如下设置: () 。
本题考查计算机安全方面的基础知识。Windows KP系统服务中Telnet服务如果配置为“自动”,则每当Windows XP启动时,系统会自动启动Telnet服务;把Tenet服务配置为“手动”,则每当Windows XP启动时,系统不会自动启动Telnet服务,但是如果系统当前已经运行了Telnet服务,系统也不会自动关闭Telnet服务。因此答案为D。
甲委托乙开发一应用软件,若双方没有订立任何书面合同,那么该软件著作权应由 () 。
本题考查软件著作权方面的基础知识。
接受他人委托开发的软件,其著作权的归属由委托人与受托人签订书面合同约定:无书面合同或者合同未作明确约定的,其著作权由受托人享有。
若进程 P1 正在运行,操作系统强行撤下 P1 所占用的 CPU,让具有更高优先级的进程P2运行,此时P1进程处于 () 状态。
本题考查操作系统进程管理方面的基础知识。进程一般有三种基本状态:运行、就绪和阻塞。其中运行状态表示当一个进程在处理机上运行时,则称该进程处于运行状态。显然对于单处理机系统,处于运行状态的进程只有一个。
就绪状态表示一个进程获得了除处理机外的一切所需资源,一旦得到处理机即可运行,则称此进程处于就绪状态。
阻塞状态也称等待或睡眠状态,一个进程正在等待某一事件发生(例如请求I/O而等待I/O完成等)而暂时停止运行,这时即使把处理机分配给进程也无法运行,故称该进程处于阻塞状态。
综上所述,若进程P1正在运行,操作系统强行撤下PI进程所占用的CPU,让具有更高优先级的进程P2运行,此时P1进程处于就绪状态。
某页式存储管理系统中的地址结构如下图所示,则 () 。

本题考查操作系统页式存储管理方面的基础知识。从图中可见,页内地址的长度12位,2-12=4096,即4K;页号部分的地址长度是20位,220=1048576,即1M。故本题的正确答案为C。
计算机程序=算法+数据结构+程序设计方法+语言工具和环境,其中关于程序设计的叙述,正确的是 () 。
本题考查程序语言基础知识。
程序设计方法学的目标是能设计出可靠、易读而且代价合理的程序。程序设计方法学包括程序理论、研制技术、支援环境、工程规范和自动程序设计等课题,使程序设计更加科学化和工程化。其基本内容是:结构程序设计;程序理论在程序设计技术中的应用,以及规格说明和变换技术。程序理论与程序设计方法学的发展密切相关,它丰富了程序人员的思维方法,促进了程序设计技术的发展。程序设计方法学也与软件工程关系密切,对软件的研制和维护起指导作用。
基本的程序设计方法有过程式程序设计(结构化程序设计)方法、逻辑式程序设计方法、函数式程序设计方法和面向对象程序设计方法等。程序设计语言与程序设计方法不是:对应的关系,例如C++语言是面向对象的程序设计语言,它既支持结构化程序设计又支持面向对象的程序设计。
过程式程序设计的基本特点是详细描述计算的步骤,至20世纪90年代,计算机软件开发过程中主要采用过程式(结构化)程序设计技术。
计算机能直接识别和执行机器语言程序,该语言的基本元素是 () 。
本题考查程序语言基础知识。
现代电子计算机采用二进制表示信息,即机器语言是二进制语言。机器语言程序的特点是程序全部由二进制代码组成,可以直接访问和使用计算机的硬件资源。计算机能直接识别并执行这种程序。
因此,计算机能直接识别和执行的语言符号是由0和1组成的。
若二维数组P[1..5, 0..8]的首地址为base,数组元素按行存储,且每个元素占用1个存储单元,则元素P[3, 3]在该数组空间的地址为 () 。
本题考查数据结构中数组元素的存储知识。
根据定义,二维数组P[1..5, 0..8]中的元素可表示如下:
P[1,0] P[1,1] P[1,2] P[1,3] P[1,4] P[1,5] P[1,6] P[1,7] P[1,8]
P[2, 0] P[2, 1] P[2, 2] P[2, 3] P[2, 4] P[2, 5] P[2, 6] P[2, 7] P[2, 8]
P[3, 0] P[3,1] P[3, 2] P[3,3] P[3, 4] P[3,5] P[3, 6] P[3, 7] P[3,8]
P[4, 0] P[4, 1] P[4, 2] P[4, 3] P[4, 4] P[4, S] P[4, 6] P[4, 7] P[4, 8]
P[5, 0] P[5, 1] P[5,2] P[5, 3] P[5, 4] P[5, 5] P[5, 6] P[5, 7] P[5,8]
数组空间首地址为base,也就是说元素P[1, 0]的存储地址为base,按行存储时,P[3, 3]之前存储了2×9+3个元素,因此P[3, 3]在该数组空间的地址为base+2l。
在数据结构中,结点(数据元素)及结点间的相互关系组成数据的逻辑结构。按逻辑结构的不同,数据结构通常可分为 () 两类。
本题考查数据结构基本知识。在数据结构中,结点(数据元素)及结点间的相互关系组成数据的逻辑结构。按逻辑结构的不同,数据结构通常可分为线性结构和非线性结构两类。
二叉排序树或者是一棵空树,或者是具有如下性质的二叉树:若其左子树非空,则左子树上所有结点的值均小于根结点的值;若其右子树非空,则右子树上所有结点的值均大于根结点的值;其左、右子树本身就是两棵二叉排序树。根据该定义,对一棵非空的二叉排序树进行 () 遍历,可得到一个结点元素的递增序列。
本题考查数据结构中二叉排序树的基本概念和特点。
中序遍历二叉树的操作定义为:若二叉树为空,则进行空操作;否则;
(1)中序遍历根的左子树:
(2)访问根结点;
(3)中序遍历根的右子树。
显然,根据二叉排序树的定义,对一棵非空的二叉排序树进行中序遍历,可得到一个结点元素的递增序列。
对于n个元素的关键字序列{k1,k2,…,kn},若将其按次序对应到一棵具有n个结点的完全二叉树上,使得任意结点都不大于其孩子结点(若存在孩子结点),则称其为小顶堆。根据以上定义, () 是小顶堆。

本题考查排序方法中堆排序的基础知识。
对于n个元素的关键字序列{k1,k2,…,kn},当且仅当满足下列关系时称其为堆:
①ki≤k2i且ki≤k2i+1
或者
②ki≥k2i且ki≥k2i+1
其中,1≤i≤[n/2],满足①式称为小顶堆,满足②式称为大顶堆。显然,题目中选项A中25与23和51之间的关系不满足小顶堆的定义;选项B中51与63和25之间、55与23之间的关系不满足小顶堆的定义;选项C的情况与B类似。选项D是小顶堆。
() 不是面向对象程序设计语言。
本题考查面向对象程序设计语言的辨析。Java, C#及Simula都是面向对象的程序设计语言,而XML不是程序设计语言。
软件设计活动中的 () 设计指定各个组件之间的通信方式以及各组件之间如何相互作用。
本题考查软件设计活动内容。从技术观点来看,软件设计活动包括系统结构设计、数据设计和过程设计。系统结构设计需求确定构成整个系统的各组件(模块)结构及关系,其中接口设计需要确定组件之间的接口;数据设计需要确定软件涉及的文件系统结构、数据库模式、子模式,并进行数据完整性、安全性和保护性设计;组件(模块)设计需要确定各组件(模块〕的规定功能应该如何实现。
原型化方法是动态确定软件需求的方法之一,该方法适应于 () 的系统。
本题考查软件生存期模型的理解。原型化方法是一种适应于需求不礁定的软件系统开发方法,指在获得一组软件基本需求说明后,快速分析构造出一个小型的软件系统,满足用户的基本要求,使得用户可在试用原型过程中得到感受和启发,并做出反应和评价;然后开发者根据用户的意见对原型加以改进,获得新的原型版本,再次交由用户试用、评价。通过重复这一过程,逐步减少分析过程的误解,进一步确定需求细节,适应需求的变更,从而可提高最终产品的质量。
软件测试是保证软件质量的关键活动,实施软件测试的可行目标是 ()
本题考查对于软件测试的任务和目标的掌握程度。首先,任何软件都是可能存在错误的,任何测试手段都无法证明软件没有错误或缺陷。其次,对软件进行测试是为了尽可能多地发现软件中的错误和缺陷,来保证软件的质量和可靠性满足要求。
软件开发工期以及所需的开发人数依赖于软件规模以及开发方式。有人对某种开发方式下软件的规模(以千行源代码为单位)、开发工期(月数)以及平均所需的开发人数做了统计,如下表所示:

对于规模为 12.8 千行源代码(KDSI)的软件,利用上表以及线性插值方法,可以估算出,这种开发方式所需的开发工期(月数)及开发人数为 () 。
软件规模12.8位于8~32之间,设其开发工期为x,平均所需开发人数为Y,则列表如下。

根据线性插值方法,对应数据的差应成比例,所以:
(x-8)/(12.8-8)=(14-8)/(32-8) (y-2.7)/(12.8-8)=(6.5-2.7)/(32-8)
x=9.2 y=3.5
因此,该软件的开发工期估计为9.2月,平均所需开发人数为3.5人。
The line of computing jobs waiting to be run on a computer system might be a () .The jobs are serviced in the order of their arrival, that is, the first in is the first out.
计算机系统上等待运行的计算作业队伍可以排成一个队列,按到达的先后顺序进行处理,即先进先出。
The () is a collection of modules serving as interface between hardware and software to provide a software platform.
操作系统是一组程序模块,作为硬件与软件之间的接口,提供了一个软件平台。
C++ fully supports () programming.
C++全面支持面向对象程序设计。
The Internet is an open system, and most information is available to everyone.It is very important to add () to existing system for protecting the secret information.
因特网是一个开放系统,大部分信息可以为每个人所用。因此,在现有系统中增加安全性以保护秘密信息非常重要。
A () system placed between the company network and the outside world may limit outside access to the internal network.
位于公司网络与外界之间的防火墙可以限制外界对内部网络的访问。
您目前分数偏低,基础较薄弱,建议加强练习。