关于以下两种说法:
①资产组合的预期收益率就是组成该组合的各种资产的预期收益率的加权平均数:②资产组合的风险由组合中的每个证券的标准差进行加权平均而得到。
?下列选项正确的是()。?
- A.仅①正确
- B.仅②正确
- C.①和②都正确
- D.①和②都不正确
正确答案及解析
正确答案
A
解析
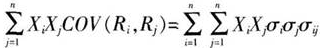
假设有n种证券,资产组合的预期收益率就是组成该组合的各种资产的预期收益率的加权平均数,权数是投资于各种证券的资金占总投资额的比例。
用公式表示为:

而n个证券组合的风险资产组合的风险(用标准差表示)的计算就不能简单地把组合中的每个证券的标准差进行加权平均而得到,其计算公式为:


包含此试题的试卷
你可能感兴趣的试题
货币政策的目的是在同一时期内同时实现经济增长、充分就业、物价稳定和国际收支平衡这四大目标。?(?)
- 查看答案
根据《商业银业董事履职评价办法(试行)》,下列关于董事履职评价应用的说法,正确的有( )。
-
- A.被评为基本称职的董事,董事会和监事会应当组织会谈
- B.被评为不称职的董事,监事会应当将评价结果通知董事本人,并组织培训,帮助董事提高履职能力
- C.监事会应当将评价结果通知董事本人,根据评价结果提出工作建议或处理意见
- D.被评为不称职的董事,商业银行应当给予内部处分,提出限期改进要求
- E.商业银行应当将董事履职评价结果报告银行业监督管理机构
- 查看答案
下列关于合同成立条件的表述,错误的是( )。
-
- A.合同的订立无需具备要约和承诺阶段
- B.双方当事人订立合同必须依法进行
- C.当事人必须就合同的主要条款协商一致
- D.承诺生效时合同成立
- 查看答案
看涨期权指期权买入方在规定的期限内享有按照一定的价格向交易对手______某种基础资产的权利,但不负担必须______的义务。( )
-
- A.购入;买进
- B.售出;买进
- C.售出;卖出
- D.购入;售出
- 查看答案
利率风险按照来源的不同,可分为( )。
-
- A.收益率曲线风险
- B.基准风险
- C.期权性风险
- D.交易性风险
- E.重新定价风险
- 查看答案