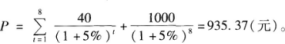
某半年付息一次的债券票面额为1000元,票面利率8%,必要收益率为10%,期限为4年,如果按复利计息、复利贴现,其内在价值为( )元。
- A.926.40
- B.927.90
- C.935.37
- D.968.52
正确答案及解析
正确答案
C
解析

包含此试题的试卷
你可能感兴趣的试题
货币政策的目的是在同一时期内同时实现经济增长、充分就业、物价稳定和国际收支平衡这四大目标。?(?)
- 查看答案
某企业为了扩展业务规模,要求员工集资入股,后该企业集资200万元,未及时分红被他人告发,该企业的行为()。
-
- A.构成非法吸收公众存款罪
- B.不构成犯罪
- C.集资诈骗罪
- D.擅自发行企业债券罪
- 查看答案
建立垂直化的组织运作机制中,垂直管理线路应为()。
-
- A.董事会风险执行委员会→总行风险管理委员会→总行风险管理部→分行风险管理委员会→基层行风险管理部
- B.董事会风险执行委员会→总行风险管理委员会→总行风险管理部→分行风险管理部→基层行风险管理部
- C.总行风险管理委员会→董事会风险执行委员会→总行风险管理部→分行风险管理部→基层行风险管理部
- D.董事会风险执行委员会→总行风险管理部→总行风险管理委员会→分行风险管理部→基层行风险管理部
- 查看答案
根据《商业银业董事履职评价办法(试行)》,下列关于董事履职评价应用的说法,正确的有( )。
-
- A.被评为基本称职的董事,董事会和监事会应当组织会谈
- B.被评为不称职的董事,监事会应当将评价结果通知董事本人,并组织培训,帮助董事提高履职能力
- C.监事会应当将评价结果通知董事本人,根据评价结果提出工作建议或处理意见
- D.被评为不称职的董事,商业银行应当给予内部处分,提出限期改进要求
- E.商业银行应当将董事履职评价结果报告银行业监督管理机构
- 查看答案
下列关于合同成立条件的表述,错误的是( )。
-
- A.合同的订立无需具备要约和承诺阶段
- B.双方当事人订立合同必须依法进行
- C.当事人必须就合同的主要条款协商一致
- D.承诺生效时合同成立
- 查看答案