若把牛顿环装置(都是用折射率为1.52的玻璃制成的)由空气搬入折射率为1.33的水中,则干涉条纹( )。
- A.中心暗斑变成亮斑
- B.变疏
- C.变密
- D.间距不变
正确答案及解析
正确答案
C
解析
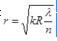
在空气膜的牛顿环中,两反射光分别在光疏到光密媒质界面上反射和在光密到光疏媒质界面上反射,因而存在λ/2的附加光程差,在水膜的牛顿环中也存在λ/2的附加光程差,所以中心仍为暗斑。明环的半径

和暗环的半径

与折射率平方根成反比,所以在水中的牛顿环条纹较密。
包含此试题的试卷
你可能感兴趣的试题

-
- A.5.4
- B.5.6
- C.7.4
- D.7.6
- 查看答案

-
- A.F1
- B.F2
- C.F3
- D.F1、F2和F3
- 查看答案

-
- A.<14%
- B.14%~15%
- C.15%~16%
- D.>16%
- 查看答案

-
- A.5.67
- B.3.67
- C.4.55
- D.6.78
- 查看答案

-
- A.111001100.100011001
- B.111001100.10001101
- C.111001100.100011011
- D.111001100.10001111
- 查看答案