两相干平面简谐波振幅都是4cm,两波源相距30cm,相位差为π,在两波源连线的中垂线上任意一点P,两列波叠加后合振幅为( )cm。
- A.0
- B.8
- C.16
- D.30
正确答案及解析
正确答案
A
解析
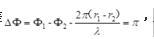
在两波源连线的中垂线上任意一点的波程差:δ=r2-r1=0。当两波在该点的位相差

为π的奇数倍时,合振幅最小,

包含此试题的试卷
你可能感兴趣的试题

-
- A.5.4
- B.5.6
- C.7.4
- D.7.6
- 查看答案

-
- A.F1
- B.F2
- C.F3
- D.F1、F2和F3
- 查看答案

-
- A.<14%
- B.14%~15%
- C.15%~16%
- D.>16%
- 查看答案

-
- A.5.67
- B.3.67
- C.4.55
- D.6.78
- 查看答案

-
- A.111001100.100011001
- B.111001100.10001101
- C.111001100.100011011
- D.111001100.10001111
- 查看答案