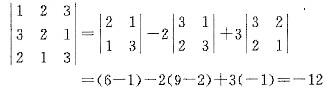
行列式
=()。
- A.7
- B.-7
- C.12
- D.-12
正确答案及解析
正确答案
D
解析
将行列式按第一行展开
包含此试题的试卷
你可能感兴趣的试题
设A、B、C为三个事件,则A、B、C中至少有两个发生可表示为:
-
- A.AUBUC
- B.A(BUC)
- C.ABUACUBC <img src='http://tp.mxqe.com/data/830/13984487_0.jpg' alt='军队文职数学1,专项练习,军队文职招聘《数学1》高数' title='军队文职数学1,专项练习,军队文职招聘《数学1》高数'>
- 查看答案

-
- A.见图A
- B.见图B
- C.见图C
- D.见图D
- 查看答案

-
- A.见图A
- B.见图B
- C.见图C
- D.见图D
- 查看答案

-
- A.见图A
- B.见图B
- C.见图C
- D.见图D
- 查看答案

-
- A.见图A
- B.见图B
- C.见图C
- D.见图D
- 查看答案