把两端铰支的细长压杆改为两端固定且仍是细长杆,其他条件不变,则改变后的压杆的临界力是原来的()。
- A.16倍
- B.8倍
- C.4倍
- D.2倍
正确答案及解析
正确答案
C
解析
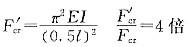
两端铰支
,两端固定
包含此试题的试卷
你可能感兴趣的试题

-
- A.见图A
- B.见图B
- C.见图C
- D.见图D
- 查看答案

-
- A.见图A
- B.见图B
- C.见图C
- D.见图D
- 查看答案

-
- A.见图A
- B.见图B
- C.见图C
- D.见图D
- 查看答案

-
- A.见图A
- B.见图B
- C.见图C
- D.见图D
- 查看答案

-
- A.见图A
- B.见图B
- C.见图C
- D.见图D
- 查看答案