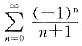
幂级数
的收敛域为()。
- A.(-1,1)
- B.[-1,1]
- C.[-1,1)
- D.(-1,1]
正确答案及解析
正确答案
C
解析
收敛半径
,当x=1,级数
发散,当x=-1,级数
,由莱布尼兹定理知它收敛,因而收敛域为[-1,1)
包含此试题的试卷
你可能感兴趣的试题

-
- A.见图A
- B.见图B
- C.见图C
- D.见图D
- 查看答案

-
- A.见图A
- B.见图B
- C.见图C
- D.见图D
- 查看答案

-
- A.见图A
- B.见图B
- C.见图C
- D.见图D
- 查看答案

-
- A.见图A
- B.见图B
- C.见图C
- D.见图D
- 查看答案

-
- A.见图A
- B.见图B
- C.见图C
- D.见图D
- 查看答案