设随机变量X的概率密度为
,则有()。
- A.E(X)=0,D(X)=1
- B.E(X)=0,D(X)=2
- C.E(X)=0,D(X)=3
- D.E(X)=1,D(X)=2
正确答案及解析
正确答案
B
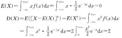
解析

包含此试题的试卷
你可能感兴趣的试题

-
- A.见图A
- B.见图B
- C.见图C
- D.见图D
- 查看答案

-
- A.见图A
- B.见图B
- C.见图C
- D.见图D
- 查看答案

-
- A.见图A
- B.见图B
- C.见图C
- D.见图D
- 查看答案

-
- A.见图A
- B.见图B
- C.见图C
- D.见图D
- 查看答案

-
- A.见图A
- B.见图B
- C.见图C
- D.见图D
- 查看答案