矩阵
的特征值为()。
- A.λ1=λ2=1,λ3=2
- B.λ1=1,λ2=λ3=2
- C.λ1=1,λ2=2,λ3=3
- D.λ1=λ2=1,λ3=3
正确答案及解析
正确答案
A
解析
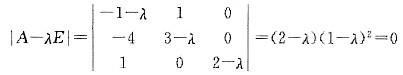
A的特征多项式
特征值为λ1=λ2=1,λ3=2
包含此试题的试卷
你可能感兴趣的试题
设A、B、C为三个事件,则A、B、C中至少有两个发生可表示为:
-
- A.AUBUC
- B.A(BUC)
- C.ABUACUBC <img src='http://tp.mxqe.com/data/36/16864356_0.jpg' alt='电气工程师公共基础,章节练习,电气工程师公共基础' title='电气工程师公共基础,章节练习,电气工程师公共基础'>
- 查看答案

-
- A.见图A
- B.见图B
- C.见图C
- D.见图D
- 查看答案

-
- A.见图A
- B.见图B
- C.见图C
- D.见图D
- 查看答案

-
- A.见图A
- B.见图B
- C.见图C
- D.见图D
- 查看答案

-
- A.见图A
- B.见图B
- C.见图C
- D.见图D
- 查看答案