一定量的理想气体贮于容器中,则该气体分子热运动的平均自由程
仅决定于()。
- A.压强P
- B.体积V
- C.温度T
- D.分子的平均碰撞频率
正确答案及解析
正确答案
B
解析
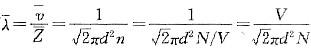
因
,按题意,一定量的理想气体在容器中,其总分子数N不会改变,所以仅取决于体积V,故选(B)
包含此试题的试卷
你可能感兴趣的试题

-
- A.见图A
- B.见图B
- C.见图C
- D.见图D
- 查看答案

-
- A.见图A
- B.见图B
- C.见图C
- D.见图D
- 查看答案

-
- A.见图A
- B.见图B
- C.见图C
- D.见图D
- 查看答案

-
- A.见图A
- B.见图B
- C.见图C
- D.见图D
- 查看答案

-
- A.见图A
- B.见图B
- C.见图C
- D.见图D
- 查看答案