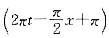
一平面简谐波波动表达式为
,式中x,t分别以cm,s为单位,则x=4cm位置处的质元在t=1s时刻的振动速度v为()。
- A.v=0
- B.v=5cm·s-1
- C.v=-5πcm·s-1
- D.v=-10πcm·s-1
正确答案及解析
正确答案
A
解析
已知波动表达式
,则
,当时x=4cm,t=1s时,v=-50sinπ=0
包含此试题的试卷
你可能感兴趣的试题

-
- A.见图A
- B.见图B
- C.见图C
- D.见图D
- 查看答案

-
- A.见图A
- B.见图B
- C.见图C
- D.见图D
- 查看答案

-
- A.见图A
- B.见图B
- C.见图C
- D.见图D
- 查看答案

-
- A.见图A
- B.见图B
- C.见图C
- D.见图D
- 查看答案

-
- A.见图A
- B.见图B
- C.见图C
- D.见图D
- 查看答案