关于热力学温度的意义,有下列几种说法:
(1)气体的温度是分子的平均平动动能的量度
(2)气体的温度是大量气体分子热运动的集体表现,具有统计意义
(3)温度的高低反映物质内部分子运动剧烈程度的不同
(4)从微观上分析,气体的温度表示每个气体分子的冷热程度
以上说法其中正确的是()。
- A.(1)(2)(4)
- B.(1)(2)(3)
- C.(2)(3)(4)
- D.(1)(3)(4)
正确答案及解析
正确答案
B
解析
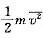
由能量公式
可知,理想气体的热力学温度T是气体分子平均平动动能
的度量,是大量气体分子热运动的集体表现,具有统计意义,也是物质内部大量分子热运动剧烈程度的度量,对个别分子要说它有温度是没有意义的
包含此试题的试卷
你可能感兴趣的试题
设A、B、C为三个事件,则A、B、C中至少有两个发生可表示为:
-
- A.AUBUC
- B.A(BUC)
- C.ABUACUBC <img src='http://tp.mxqe.com/data/831/13985307_0.jpg' alt='军队文职数学2,专项练习,军队文职招聘《数学2》高数' title='军队文职数学2,专项练习,军队文职招聘《数学2》高数'>
- 查看答案

-
- A.见图A
- B.见图B
- C.见图C
- D.见图D
- 查看答案

-
- A.见图A
- B.见图B
- C.见图C
- D.见图D
- 查看答案

-
- A.见图A
- B.见图B
- C.见图C
- D.见图D
- 查看答案

-
- A.见图A
- B.见图B
- C.见图C
- D.见图D
- 查看答案