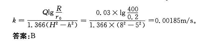
对一维渐变渗流,完全潜水井的含水层厚度H为8m,井的半径r0为0. 2m,抽水时井的涌水量Q为0. 03m3/s,井中水深A为5m,若取影响半径R= 400m,计算渗流系数是为:
- A.0. 0025m/s
- B.0. 0018m/s
- C.0. 018m/s
- D.0. 025m/s
正确答案及解析
正确答案
B
解析


包含此试题的试卷
你可能感兴趣的试题

-
- A.见图A
- B.见图B
- C.见图C
- D.见图D
- 查看答案

-
- A.见图A
- B.见图B
- C.见图C
- D.见图D
- 查看答案

-
- A.见图A
- B.见图B
- C.见图C
- D.见图D
- 查看答案

-
- A.见图A
- B.见图B
- C.见图C
- D.见图D
- 查看答案

-
- A.见图A
- B.见图B
- C.见图C
- D.见图D
- 查看答案