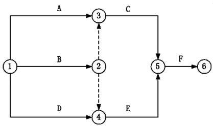
某网络计划如下图,逻辑关系正确的是( )。

- A.AB均完成后进行E
- B.A完成后同时进行CF
- C.E的紧前工作是B
- D.F的紧前工作是DE
正确答案及解析
正确答案
C
解析
本题考查的是双代号网络计划。选项B,A完成后进行C工作。选项C,BD完成后进行E。选项D,F的紧前工作是CE。
你可能感兴趣的试题
承包人已经提交竣工验收报告,发包人拖延验收的,竣工日期()。
-
- A.以合同约定的竣工日期为准
- B.相应顺延
- C.以承包人提交竣工报告之日为准
- D.以实际通过的竣工验收之日为准
- 查看答案
根据《建设工程质量管理条例》,最低保修期限不低于2年的工程有( )。
-
- A.外墙防渗漏
- B.设备安装
- C.给排水管道
- D.防水工程
- E.装修工程
- 查看答案
关于工程量清单计价方式下竣工结算的编制原则,下列说法中正确的是( )。
-
- A.措施项目费按双方确认的工程量乘以已标价工程量清单的综合单价计算
- B.总承包服务费按已标价工程量清单的金额计算,不应调整
- C.暂列金额应减去工程价款调整的金额,余额归承包人
- D.工程实施过程中发承包双方已经确认的工程计量结果和合同价款,应直接进入结算
- 查看答案
把施工所需的各种资源、生产、生活活动场地及各种临时设施合理地布置在施工现场,使整个现场能有组织地进行文明施工,属于施工组织设计中( )的内容。
-
- A.施工部署
- B.施工方案
- C.安全施工专项方案
- D.施工平面图
- 查看答案
(2019年) 根据《建筑施工企业负责人及项目负责人施工现场带班暂行办法》,属于建筑施工企业负责人的是 ( )。
-
- A.实际控制人
- B.副总工程师
- C.主管经营的副总经理
- D.项目经理
- 查看答案