设某城市垃圾元素组成分析结果如下:碳13.6%(其中含有机碳10.4%、无机碳3.2%),氢8.5%,氧14.8%,氯0.4%,硫0.3%,水分36.7%,灰分25.5%。根据其元素组成估算该废物的高位热值和低位热值( )。
- A.高位热值为3723.5kcal/kg,低位热值为3068.7kcal/kg
- B.高位热值为2723.5kcal/kg,低位热值为2068.7kcal/kg
- C.高位热值为2723.5kcal/kg.低位热值为3068.7kcal/kg
- D.高位热值为3723.5kcal/kg,低位热值为2068.7kcal/kg
正确答案及解析
正确答案
B
解析
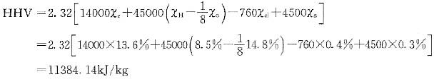
带入公式有:
(1)

又1cal=4.18J,故HHV=(11384.14kJ/kg)/4.18=2723.5kcal/kg
(2)LHV=HHV=2420[ωH2O+9(ωH-ωcl/35.5]
=11384.14-2420[36.7%+9(8.5%-0.4%/35.5)]=2068.7kcal/kg
您可能感兴趣的试题
你可能感兴趣的试题
设A、B、C为三个事件,则A、B、C中至少有两个发生可表示为:
-
- A.AUBUC
- B.A(BUC)
- C.ABUACUBC <img src='http://tp.mxqe.com/data/830/13984487_0.jpg' alt='军队文职数学1,专项练习,军队文职招聘《数学1》高数' title='军队文职数学1,专项练习,军队文职招聘《数学1》高数'>
- 查看答案

-
- A.见图A
- B.见图B
- C.见图C
- D.见图D
- 查看答案

-
- A.见图A
- B.见图B
- C.见图C
- D.见图D
- 查看答案

-
- A.见图A
- B.见图B
- C.见图C
- D.见图D
- 查看答案

-
- A.见图A
- B.见图B
- C.见图C
- D.见图D
- 查看答案